电脑桌面
添加小米粒文库到电脑桌面
安装后可以在桌面快捷访问

XXXX临沂职位报名统计表VIP免费

XXXX临沂职位报名统计表_第1页
1/13
XXXX临沂职位报名统计表_第2页
2/13
XXXX临沂职位报名统计表_第3页
3/13
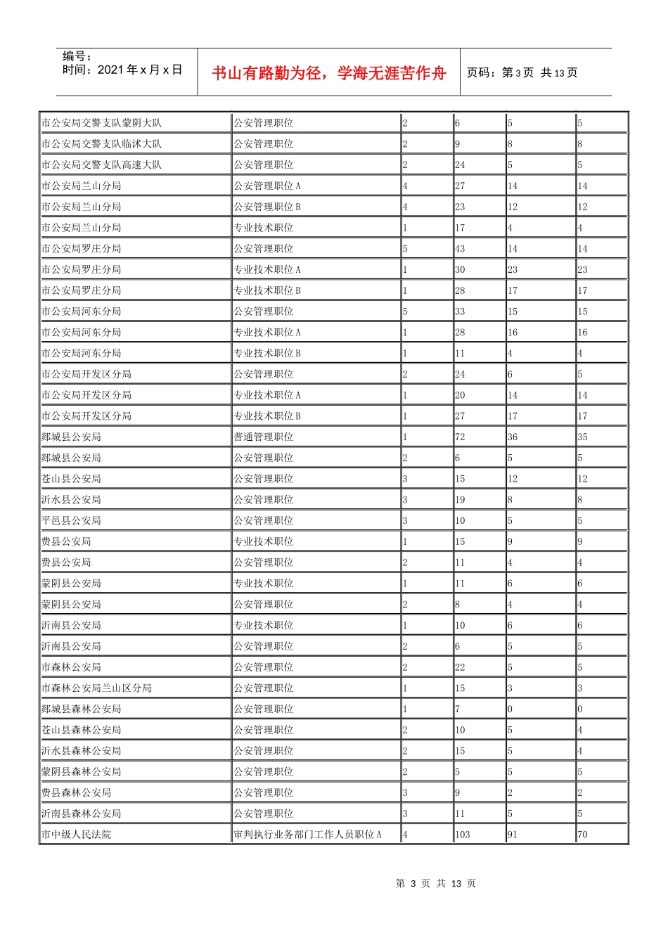
第1页共13页编号:时间:2021年x月x日书山有路勤为径,学海无涯苦作舟页码:第1页共13页2011年度临沂市招录公务员报名情况统计表截至:2011-4-27:38:14招考单位招考职位招录人数报考人数审核通过人数交费人数市机构编制委员会办公室专业技术职位A14366市机构编制委员会办公室专业技术职位B1221817市政府办公室专业技术职位A1722724市政府办公室专业技术职位B1423125市政府法制办公室普通管理职位1161313市文化广电新闻出版局专业技术职位1320201174市旅游局专业技术职位13699市科学技术局专业技术职位A1503625市科学技术局专业技术职位B1190168136市安监局专业技术职位A113711194市安监局专业技术职位B1987267市民政局专业技术职位1755948市财政局专业技术职位3579518435市环保局兰山分局普通管理职位11386市审计局专业技术职位2443027市体育局普通管理职位1733市外侨办普通管理职位1211313市城市管理局专业技术职位1139116106市统计局普通管理职位1877市统计局专业技术职位2413367289市交通运输局专业技术职位A1605346市交通运输局专业技术职位B1474440市卫生局专业技术职位1582217市林业局专业技术职位2412724市国土资源局(分局)专业技术职位A1403123市国土资源局(分局)专业技术职位B1685947市国土资源局(分局)专业技术职位C1402623市住房和城乡建设委员会专业技术职位1947770市住房和城乡建设委员会普通管理职位2483230市农业委员会普通管理职位1743第2页共13页第1页共13页编号:时间:2021年x月x日书山有路勤为径,学海无涯苦作舟页码:第2页共13页市人防办专业技术职位1169122110市文化市场管理执法局专业技术职位A1221716市文化市场管理执法局专业技术职位B1453835市人口和计划生育委员会专业技术职位1686256市水利局专业技术职位1282418市房产和住房保障局专业技术职位A1945648市房产和住房保障局专业技术职位B1242020市规划局专业技术职位A113511093市规划局专业技术职位B1523028市规划局专业技术职位C1604338市教育局专业技术职位1171143122市民族宗教事务局普通管理职位1433临沂高新技术产业开发区管委会专业技术职位1856656临沂高新技术产业开发区管委会普通管理职位11466市公安局特警支队公安管理职位A5241919市公安局特警支队公安管理职位B5461717市公安局特警支队公安管理职位C5321615市公安局特警支队专业技术职位A1201616市公安局特警支队专业技术职位B1211111市公安局特警支队专业技术职位C1744市公安局特警支队特警职位21238383市看守所公安管理职位A5311515市看守所公安管理职位B4381312市看守所专业技术职位A1644市看守所专业技术职位B1281817市看守所专业技术职位C1433市公安局交警支队公安管理职位11666市公安局交警支队专业技术职位1271616市公安局交警支队郯城大队公安管理职位2755市公安局交警支队苍山大队公安管理职位2855市公安局交警支队莒南大队公安管理职位2955市公安局交警支队沂水大队公安管理职位21176市公安局交警支队沂南大队公安管理职位21233市公安局交警支队平邑大队公安管理职位2733市公安局交警支队费县大队公安管理职位21866第3页共13页第2页共13页编号:时间:2021年x月x日书山有路勤为径,学海无涯苦作舟页码:第3页共13页市公安局交警支队蒙阴大队公安管理职位2655市公安局交警支队临沭大队公安管理职位2988市公安局交警支队高速大队公安管理职位22455市公安局兰山分局公安管理职位A4271414市公安局兰山分局公安管理职位B4231212市公安局兰山分局专业技术职位11744市公安局罗庄分局公安管理职位5431414市公安局罗庄分局专业技术职位A1302323市公安局罗庄分局专业技术职位B1281717市公安局河东分局公安管理职位5331515市公安局河东分局专业技术职位A1281616市公安局河东分局专业技术职位B11144市公安局开发区分局公安管理职位22465市公安局开发区分局专业技术职位A1201414市公安局开发区分局专业技术职位B1271717郯城县公安局普通管理职位1723635郯城县公安局公安管理职位2655苍山县公安局公安管理职位3151212沂水县公安局公安管理职位31988平邑县公安局公安管理职位31055费县公安局专业技术职位11599费县公安局公安管理职位2114...

1、当您付费下载文档后,您只拥有了使用权限,并不意味着购买了版权,文档只能用于自身使用,不得用于其他商业用途(如 [转卖]进行直接盈利或[编辑后售卖]进行间接盈利)。
2、本站所有内容均由合作方或网友上传,本站不对文档的完整性、权威性及其观点立场正确性做任何保证或承诺!文档内容仅供研究参考,付费前请自行鉴别。
3、如文档内容存在违规,或者侵犯商业秘密、侵犯著作权等,请点击“违规举报”。

碎片内容

XXXX临沂职位报名统计表

精品中小学文档+ 关注
实名认证
内容提供者

精品资料,值得下载

确认删除?
VIP
微信客服
  • 扫码咨询
会员Q群
  • 会员专属群点击这里加入QQ群
客服邮箱
回到顶部