电脑桌面
添加小米粒文库到电脑桌面
安装后可以在桌面快捷访问

浙江大学附中2013届高三数学一轮复习单元训练 三角函数 新人教A版 VIP免费

浙江大学附中2013届高三数学一轮复习单元训练 三角函数 新人教A版 _第1页
1/6
浙江大学附中2013届高三数学一轮复习单元训练 三角函数 新人教A版 _第2页
2/6
浙江大学附中2013届高三数学一轮复习单元训练 三角函数 新人教A版 _第3页
3/6
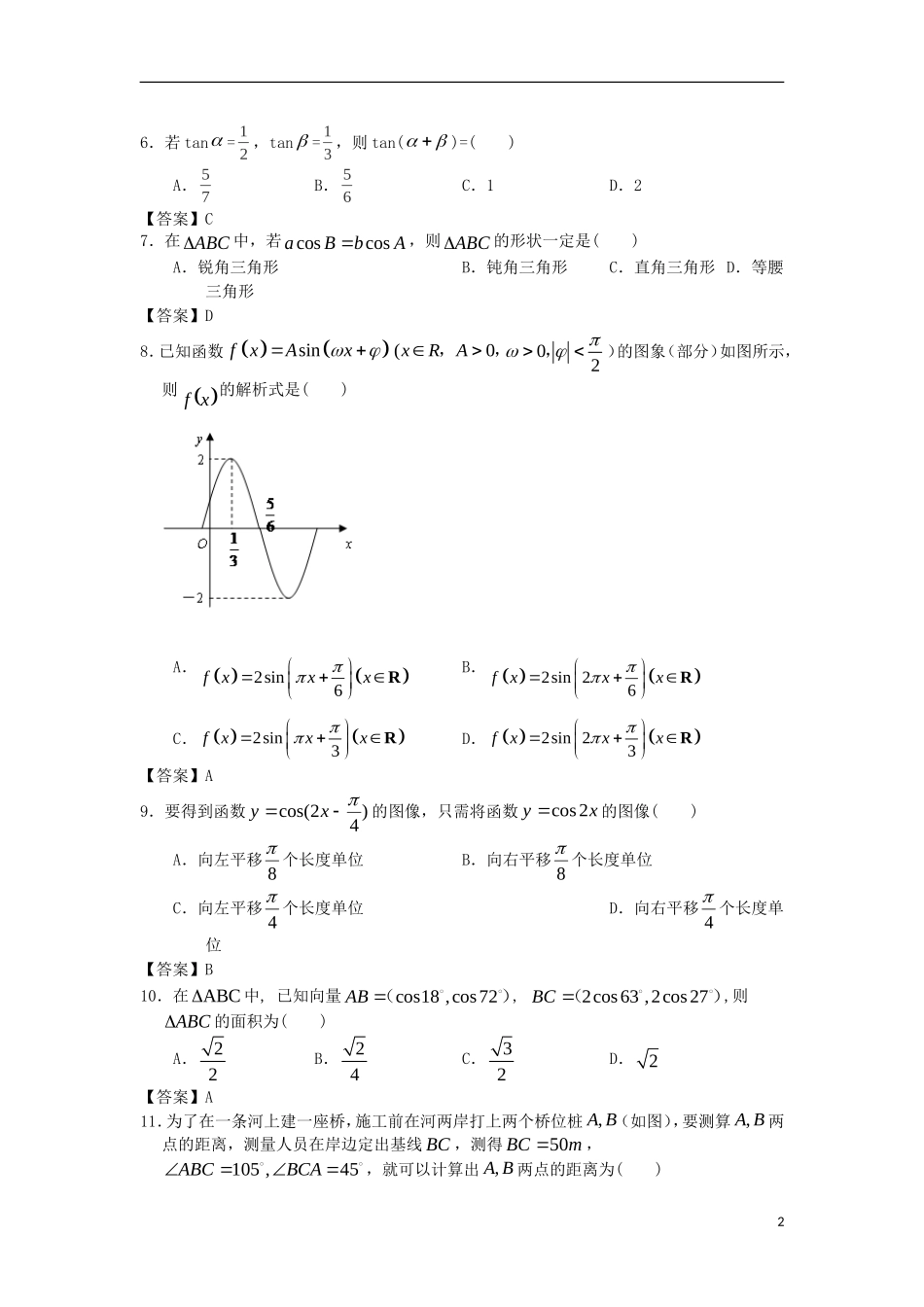
浙江大学附中2013届高三数学一轮复习单元训练:三角函数本试卷分第Ⅰ卷(选择题)和第Ⅱ卷(非选择题)两部分.满分150分.考试时间120分钟.第Ⅰ卷(选择题共60分)一、选择题(本大题共12个小题,每小题5分,共60分,在每小题给出的四个选项中,只有一项是符合题目要求的)1.如图,在一幢20m高的楼顶测得对面一塔吊顶部的仰角为60°,塔基的俯角为45°,那么该塔吊的高是()A.20313mB.2013mC.1026mD.2026m【答案】B2.已知32cossin,则cottan()A.95B.95C.518D.518【答案】D3.已知函数sin(6)4yx的图象上各点的横坐标伸长到原来的3倍,再向右平移8个单位,得到的函数的一个对称中心是()A.(0)16,B.(0)9,C.(0)4,D.(0)2,【答案】D4.5cos()6的值是()A.32B.12C.32D.12【答案】C5.将函数sin()3yx的图像上所有点的横坐标伸长到原来的2倍(纵坐标不变),再将所得图像向左平移3个单位,则所得函数图像对应的解析式为()A.1sin()26yxB.1sin()23yxC.1sin2yxD.sin(2)6yx【答案】A16.若tan=21,tan=31,则tan()=()A.75B.65C.1D.2【答案】C7.在ABC中,若coscosaBbA,则ABC的形状一定是()A.锐角三角形B.钝角三角形C.直角三角形D.等腰三角形【答案】D8.已知函数sinfxAx(0xRA,,02,)的图象(部分)如图所示,则xf的解析式是()A.2sin6fxxxRB.2sin26fxxxRC.2sin3fxxxRD.2sin23fxxxR【答案】A9.要得到函数)42cos(xy的图像,只需将函数xy2cos的图像()A.向左平移8个长度单位B.向右平移8个长度单位C.向左平移4个长度单位D.向右平移4个长度单位【答案】B10.在ABC中,已知向量cos18,cos72AB�(),2cos63,2cos27BC�(),则ABC的面积为()A.22B.24C.32D.2【答案】A11.为了在一条河上建一座桥,施工前在河两岸打上两个桥位桩,AB(如图),要测算,AB两点的距离,测量人员在岸边定出基线BC,测得50BCm,105,45ABCBCA,就可以计算出,AB两点的距离为()2A.502mB.503mC.252mD.2522m【答案】A12.已知锐角的终边上一点P(sin40,1cos40),则等于()A.010B.020C.070D.080【答案】C第Ⅱ卷(非选择题共90分)二、填空题(本大题共4个小题,每小题5分,共20分,把正确答案填在题中横线上)13.0tan390【答案】3314.函数fxxxx()cossincos223的最小正周期是.【答案】15.一船以每小时15km的速度向东航行,船在A处看到一个灯塔B在北偏东060,行驶h4后,船到达C处,看到这个灯塔在北偏东015,这时船与灯塔距离为km.【答案】23016.已知扇形的圆心角为2(定值),半径为R(定值),分别按图一、二作扇形的内接矩形,若按图一作出的矩形面积的最大值为2tan2R,则按图二作出的矩形面积的最大值为.图二图一2α2α3【答案】21tan2R三、解答题(本大题共6个小题,共70分,解答应写出文字说明,证明过程或演算步骤)17.已知角的终边经过点(3,4)P.(1)求sin()cos()tan()的值;(2)求))cos(2)23(cos()2sin(的值.【答案】由角的终边过点(3,4)P知:2244sin5(3)4,2233cos5(3)4,44tan33,(1)sin()cos()sincostan()tan=4343()/()55320,(2)))cos(2)23(cos()2sin(=)cos2(sincos…11分=24336()2()55525。18.已知函数2()23sincos2sin333xxxfx.(Ⅰ)求函数()fx的值域;(Ⅱ)在△ABC中,角,,ABC所对的边分别为,,abc,若()1fC,且2bac,求sinA的值【答案】(1)22()3sincos133xxfx22sin()136x xR,∴21sin()136x∴232sin()1136x∴函数()fx的值域为[3,1](2)2()2sin()1136CfC,...

1、当您付费下载文档后,您只拥有了使用权限,并不意味着购买了版权,文档只能用于自身使用,不得用于其他商业用途(如 [转卖]进行直接盈利或[编辑后售卖]进行间接盈利)。
2、本站所有内容均由合作方或网友上传,本站不对文档的完整性、权威性及其观点立场正确性做任何保证或承诺!文档内容仅供研究参考,付费前请自行鉴别。
3、如文档内容存在违规,或者侵犯商业秘密、侵犯著作权等,请点击“违规举报”。

碎片内容

浙江大学附中2013届高三数学一轮复习单元训练 三角函数 新人教A版

您可能关注的文档

精品中小学资料+ 关注
实名认证
内容提供者

精品文档

确认删除?
VIP
微信客服
  • 扫码咨询
会员Q群
  • 会员专属群点击这里加入QQ群
客服邮箱
回到顶部