电脑桌面
添加小米粒文库到电脑桌面
安装后可以在桌面快捷访问

北京四中高考数学总复习 二次函数与幂函数基础巩固练习VIP免费

北京四中高考数学总复习 二次函数与幂函数基础巩固练习_第1页
1/3
北京四中高考数学总复习 二次函数与幂函数基础巩固练习_第2页
2/3
北京四中高考数学总复习 二次函数与幂函数基础巩固练习_第3页
3/3
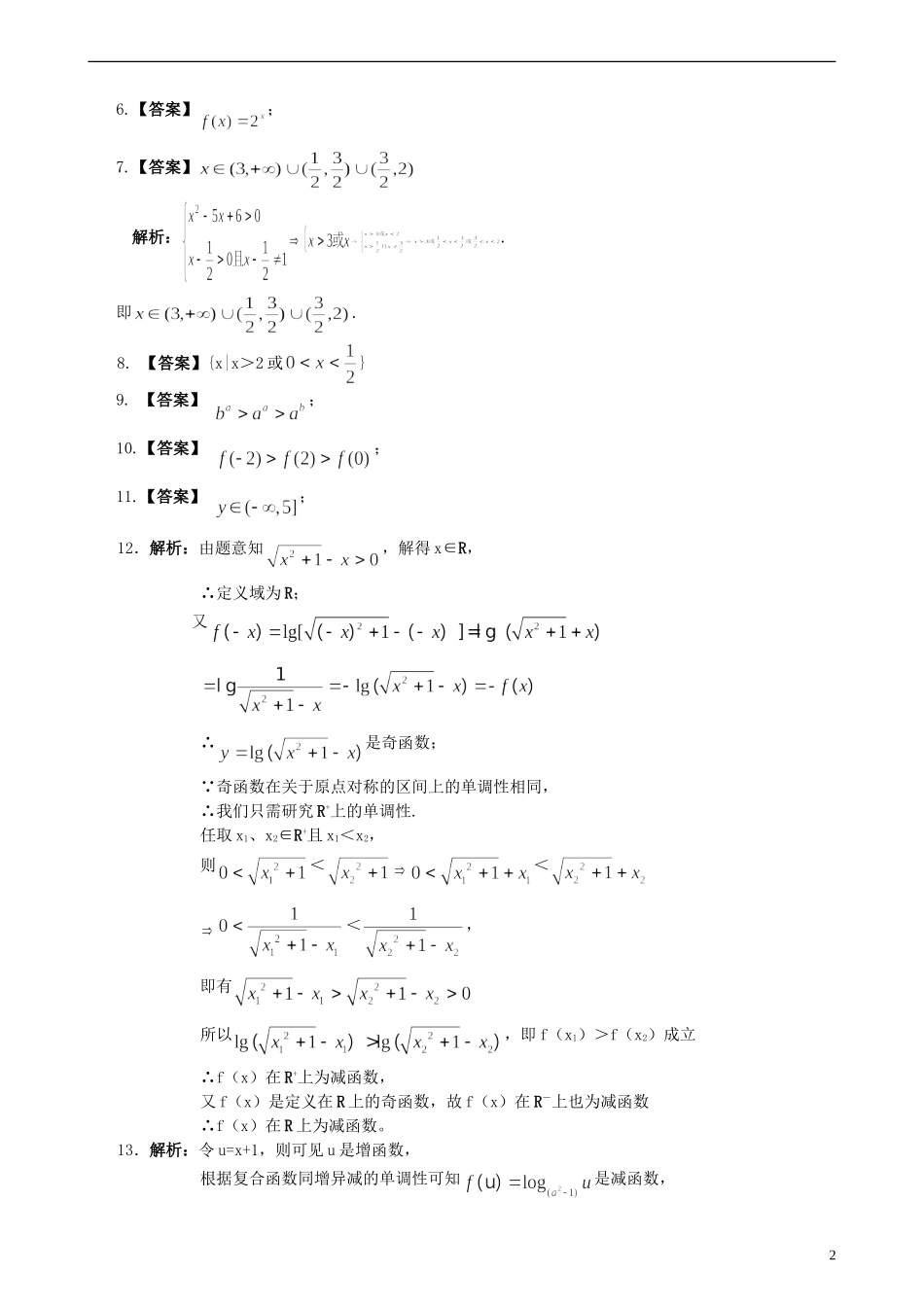
北京四中高考数学总复习二次函数与幂函数基础巩固练习1.().A、B、C、D、2.下列函数中,在其定义域内既是奇函数又是减函数的是()A.B.C.D.3.若函数在上是减函数,则实数的取值范围是()。A、B、C、D、4.三个数的大小顺序是()A、B、C、D、5.若,,且,则()。A、B、2或-2C、-2D、26.函数的图像与函数的图像关于直线对称,则的表达式为;7.函数的定义域;8.已知定义域为R的偶函数f(x)在[0,+∞)上是增函数且,则不等式f(log4x)>0的解集是_____________.9.已知,判断、、之间的大小关系.10.已知函数,对任意都有,试判断、、的大小顺序。11.求函数的值域。12.已知函数,求其定义域,并判断其奇偶性、单调性.13.若函数是减函数,求实数a的取值范围.14.设,请判断f(x)的单调性.15.已知9x-10·3x+9≤0,求函数的最大值和最小值.【参考答案与解析】1.C;2.A;3.C;4.D;5.D16.【答案】;7.【答案】解析:.即.8.【答案】{x|x>2或}9.【答案】;10.【答案】;11.【答案】;12.解析:由题意知,解得x∈R,∴定义域为R;又∴是奇函数;∵奇函数在关于原点对称的区间上的单调性相同,∴我们只需研究R+上的单调性.任取x1、x2∈R+且x1<x2,则<<<,即有所以,即f(x1)>f(x2)成立∴f(x)在R+上为减函数,又f(x)是定义在R上的奇函数,故f(x)在R-上也为减函数∴f(x)在R上为减函数。13.解析:令u=x+1,则可见u是增函数,根据复合函数同增异减的单调性可知是减函数,2所以0<a2-1<1,解得。14.解析:令,可知g(x)在定义域(-∞,-2)、(-2,+∞)上是单调递减的;令,定义域为(-1,1),在这个定义域内是单调递减的;所以是单调递减的所以在(-1,1)内是单调递减函数.15.解析:由9x-10·3x+9≤0得(3x-1)(3x-9)≤0,解得1≤3x≤9.∴0≤x≤2.令,则,.当即时,;当即时,.3

1、当您付费下载文档后,您只拥有了使用权限,并不意味着购买了版权,文档只能用于自身使用,不得用于其他商业用途(如 [转卖]进行直接盈利或[编辑后售卖]进行间接盈利)。
2、本站所有内容均由合作方或网友上传,本站不对文档的完整性、权威性及其观点立场正确性做任何保证或承诺!文档内容仅供研究参考,付费前请自行鉴别。
3、如文档内容存在违规,或者侵犯商业秘密、侵犯著作权等,请点击“违规举报”。

碎片内容

北京四中高考数学总复习 二次函数与幂函数基础巩固练习

您可能关注的文档

确认删除?
VIP
微信客服
  • 扫码咨询
会员Q群
  • 会员专属群点击这里加入QQ群
客服邮箱
回到顶部