电脑桌面
添加小米粒文库到电脑桌面
安装后可以在桌面快捷访问

2013年高考化学主干核心知识一轮复习 专题十一 无机框图推断教案 新人教版VIP免费

2013年高考化学主干核心知识一轮复习 专题十一 无机框图推断教案 新人教版_第1页
1/9
2013年高考化学主干核心知识一轮复习 专题十一 无机框图推断教案 新人教版_第2页
2/9
2013年高考化学主干核心知识一轮复习 专题十一 无机框图推断教案 新人教版_第3页
3/9
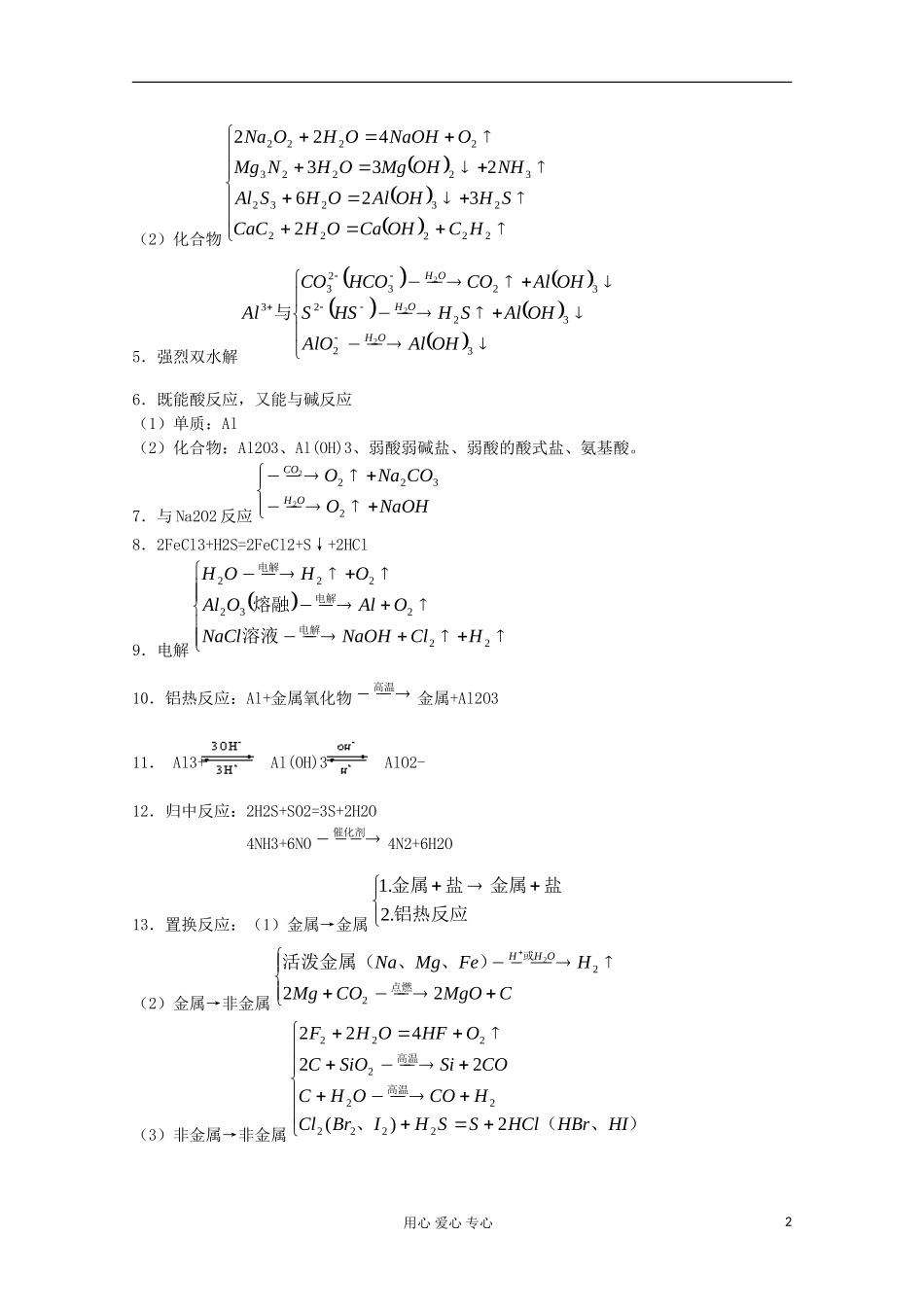
2013年高考化学主干核心知识一轮复习教案:专题十一无机框图推断(人教版)【命题趋向】无机框图推断是对常见元素的单质及其重要化合物相互关系的考查,它融元素化合物、基本理论、计算于一体。侧重考查学生思维的能力和综合应用的能力,在历届高考中具有较好的区分度和选拔能力。一般氯、硫、氧、氮、碳、钠、镁、铝、铁元素及化合物之间的转化是这类题的热点。解决这类考题,首先要读懂题意和图意,找准突破口(题眼),从自己的记忆中搜寻出典型的反应,事物或模型,然后大胆推测,只要符合框图关系的答案都是正确的。由于框图推断较好地考查了学生的直接思维品质,在高考中继续出现是理所当然。“无机框图题”题眼归纳:一、特征反应1.与碱反应产生气体(1)232222222232222HSiONaOHNaOHSiHNaAlOOHNaOHAlHSiAlOH、单质(2)铵盐:OHNHNH234碱2.与酸反应产生气体(1)2222222222342342342NOSOSOSCONOCOSOCNONOSOHHNOSOHHNOSOHHNOSOHHCl、、、非金属、金属单质浓浓浓浓浓(2)2323222323SOHSOSOSHHSSCOHCOCOHHH化合物3.Na2S2O3与酸反应既产生沉淀又产生气体:S2O32-+2H+=S↓+SO2↑+H2O4.与水反应产生气体(1)单质22222422222OHFOHFHNaOHOHNa用心爱心专心1(2)化合物22222232323222322222326233422HCOHCaOHCaCSHOHAlOHSAlNHOHMgOHNMgONaOHOHONa5.强烈双水解32322323233222OHAlAlOOHAlSHHSSOHAlCOHCOCOAlOHOHOH与6.既能酸反应,又能与碱反应(1)单质:Al(2)化合物:Al2O3、Al(OH)3、弱酸弱碱盐、弱酸的酸式盐、氨基酸。7.与Na2O2反应NaOHOCONaOOHCO2322228.2FeCl3+H2S=2FeCl2+S↓+2HCl9.电解22232222HClNaOHNaClOAlOAlOHOH电解电解电解溶液熔融10.铝热反应:Al+金属氧化物高温金属+Al2O311.Al3+Al(OH)3AlO2-12.归中反应:2H2S+SO2=3S+2H2O4NH3+6NO催化剂4N2+6H2O13.置换反应:(1)金属→金属铝热反应盐金属盐金属.2.1(2)金属→非金属CMgOCOMgHFeMgNaOHH22222点燃或)、、活泼金属((3)非金属→非金属)、(、高温高温HIHBrHClSSHIBrClHCOOHCCOSiSiOCOHFOHF2)(224222222222222用心爱心专心2(4)非金属→金属222COCOHH金属金属氧化物金属金属氧化物高温高温14.三角转化:15.受热分解产生2种或3种气体的反应:(1)铵盐SHNHSNHHSNHOHSONHSONHHSONHOHCONHCONHHCONH232442233243422332434])[(])[(])[((2)硝酸盐223222322242)(2ONOAgAgNOONOCuONOCu16.特征网络:(1))(222酸或碱DCBAOHOO①323222HNONONONHOHOO(气体)②42322222SOHSOSOSHOHOO(气体)③322222COHCOCOCOHOO(固体)④NaOHONaONaNaOHOO222222(固体)(2)A—CB气体气体强碱强酸A为弱酸的铵盐:(NH4)2CO3或NH4HCO3;(NH4)2S或NH4HS;(NH4)2SO3或NH4HSO3用心爱心专心3(3)无机框图中常用到催化剂的反应:322223322222223236454222232222NHHNOHNOONHSOOSOOOHOHOKClKClOMnOMnO催化剂,催化剂,催化剂,,二、特征现象1.焰色反...

1、当您付费下载文档后,您只拥有了使用权限,并不意味着购买了版权,文档只能用于自身使用,不得用于其他商业用途(如 [转卖]进行直接盈利或[编辑后售卖]进行间接盈利)。
2、本站所有内容均由合作方或网友上传,本站不对文档的完整性、权威性及其观点立场正确性做任何保证或承诺!文档内容仅供研究参考,付费前请自行鉴别。
3、如文档内容存在违规,或者侵犯商业秘密、侵犯著作权等,请点击“违规举报”。

碎片内容

2013年高考化学主干核心知识一轮复习 专题十一 无机框图推断教案 新人教版

您可能关注的文档

确认删除?
VIP
微信客服
  • 扫码咨询
会员Q群
  • 会员专属群点击这里加入QQ群
客服邮箱
回到顶部