电脑桌面
添加小米粒文库到电脑桌面
安装后可以在桌面快捷访问

图书管理系统E-R图、数据流、关系模式VIP免费

图书管理系统E-R图、数据流、关系模式_第1页
1/9
图书管理系统E-R图、数据流、关系模式_第2页
2/9
图书管理系统E-R图、数据流、关系模式_第3页
3/9
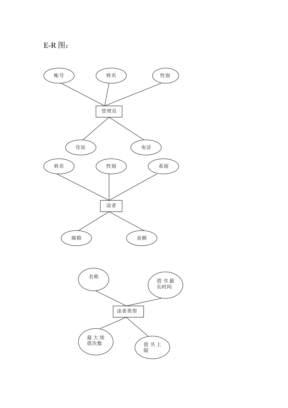
E-R图:管理员帐号姓名性别电话住址读者姓名性别系别邮箱余额读者类型名称借书上限借书最长时间最大续借次数某类书ISBN书名作者主题分类出版日期在馆数量库存量价格页数书条形码阅览室编号位置名称书架编号图书类型编号名称数据流图:管理员读者书某类书图书类型管理读者类型拥有借阅归还属于拥有书架位于位于图书状态借出日期归还日期借出日期实际归还日期续借次数欠费阅览室读者检查办证管理员验证信息验证信息失败读者档案读者验证资格还书读者档案图书档案已验证信息无资格信息已借出档案读者验证信息还书缴纳欠费已借出档案读者档案还书档案图书档案已验证信息超期信息缴纳欠费信息未缴纳费用信息关系模式:管理员(管理员账号,姓名,性别,电话,住址)账号信息(账号,密码,账号类型)读者(读者账号,读者类型,是否可用,姓名,性别,系别,班级,邮箱,余额)读者类型(读者类型,借书上限,借书最大时间,最大续借次数)书籍(条形码,ISBN,书籍状态,书架编号,损坏程度)某类书籍(ISBN,书名,作者,主题,出版社,页数,价格,书籍类型编号,出版日期,库存量,在馆数量)书籍类型(书籍类型编号,书籍类型)书架(书架编号,条形码,阅览室编号)阅览室(阅览室编号,阅览室名称,阅览室位置)读者借阅表(读者账号,条形码,借出日期,续借次数)读者归还表(读者账号,条形码,借出日期,实际归还日期,续借次数)数据库字段定义说明:(可根据这个编写数据项)管理员表(Administrator)名称别名数据类型取值范围默认值说明是否为空读者验证信息还书缴纳欠费已借出档案读者档案还书档案图书档案已验证信息超期信息缴纳欠费信息未缴纳费用信息管理员账号AdminChar(15)主键姓名ANameChar(8)性别ASexChar(2)男或女不为空电话APhoneChar(11)不为空住址AAddressText不为空账号信息表(UserMessage)名称别名数据类型取值范围默认值说明是否为空账号UserNameChar(15)主键密码PassWordChar(20)不为空账号类型UserTypeChar(6)不为空读者信息表(Reader)名称别名数据类型取值范围默认值说明是否为空读者账号ReaderAccountChar(15)主键,外键,参考账号信息表读者类型ReaderTypeChar(4)“学生”“老师”外键,参考账号信息表不为空姓名ReaderNameChar(8)不为空性别ReaderSexChar(2)“男”“女”系别ReaderSdeptChar(10)不为空班级ReaderClassChar(10)邮箱ReaderEmailChar(20)不为空是否可用AvailableChar(1)“0”,”1”0“0”为可用余额ReaderMonSmallint读者类型(ReaderType)名称别名数据类型取值范围默认值说明是否为空读者类型ReaderTypeChar(4)“学生”“老师”外键,主键借书上限MaxBorNumTinyint0-106不为空借书最长时间MaxTimeTinyint2单位是月不为空最大续借次数MaxCountTinyint0-22不为空书籍(Book)名称别名数据类型取值范围默认值说明是否为空条形码BookNumChar(20)主键ISBNChar(20)外键,参考某类书籍表不为空书架编号ShelfNumChar(20)外键,参考书架表不为空书籍状态BookStateChar(6)"在馆","不在馆""在馆"不为空书籍损坏程度BookDamageTinyint0~400为无损坏,1为轻微损坏,2为中度损坏,3为严重损坏,4为无法使用某类书籍(ReaderType)名称别名数据类型取值范围默认值说明是否为空ISBNChar(20)主键书名BookNameText不为空作者AuthorChar(20)不为空主题BookKeyChar(10)不为空出版社BookEditText不为空页数PageNumSmallint不为空价格PriceSmallMoney不为空书籍类型编号BookTypeChar(20)外键,参考书籍类型表不为空出版日期PublishTimeDataTime不为空库存量BookNumInt0不为空在馆数量BookINInt0不为空书籍类型(ReaderType)名称别名数据类型取值范围默认值说明是否为空书籍类型编号BookTypeChar(20)主键书籍类型名称TypeNameText阅览室(Room)名称别名数据类型取值范围默认值说明是否为空阅览室编号RoomNumChar(20)主键阅览室名称RoomNameText阅览室位置RoomLocaText书架(Shelf)名称别名数据类型取值范围默认值说明是否为空书架编号ShelfNumChar(20)主键条形码BookNumChar(20)外键阅览室编号RoomNumChar(20)外...

1、当您付费下载文档后,您只拥有了使用权限,并不意味着购买了版权,文档只能用于自身使用,不得用于其他商业用途(如 [转卖]进行直接盈利或[编辑后售卖]进行间接盈利)。
2、本站所有内容均由合作方或网友上传,本站不对文档的完整性、权威性及其观点立场正确性做任何保证或承诺!文档内容仅供研究参考,付费前请自行鉴别。
3、如文档内容存在违规,或者侵犯商业秘密、侵犯著作权等,请点击“违规举报”。

碎片内容

图书管理系统E-R图、数据流、关系模式

您可能关注的文档

确认删除?
VIP
微信客服
  • 扫码咨询
会员Q群
  • 会员专属群点击这里加入QQ群
客服邮箱
回到顶部