电脑桌面
添加小米粒文库到电脑桌面
安装后可以在桌面快捷访问

二次根式测试1VIP免费

二次根式测试1_第1页
1/4
二次根式测试1_第2页
2/4
二次根式测试1_第3页
3/4
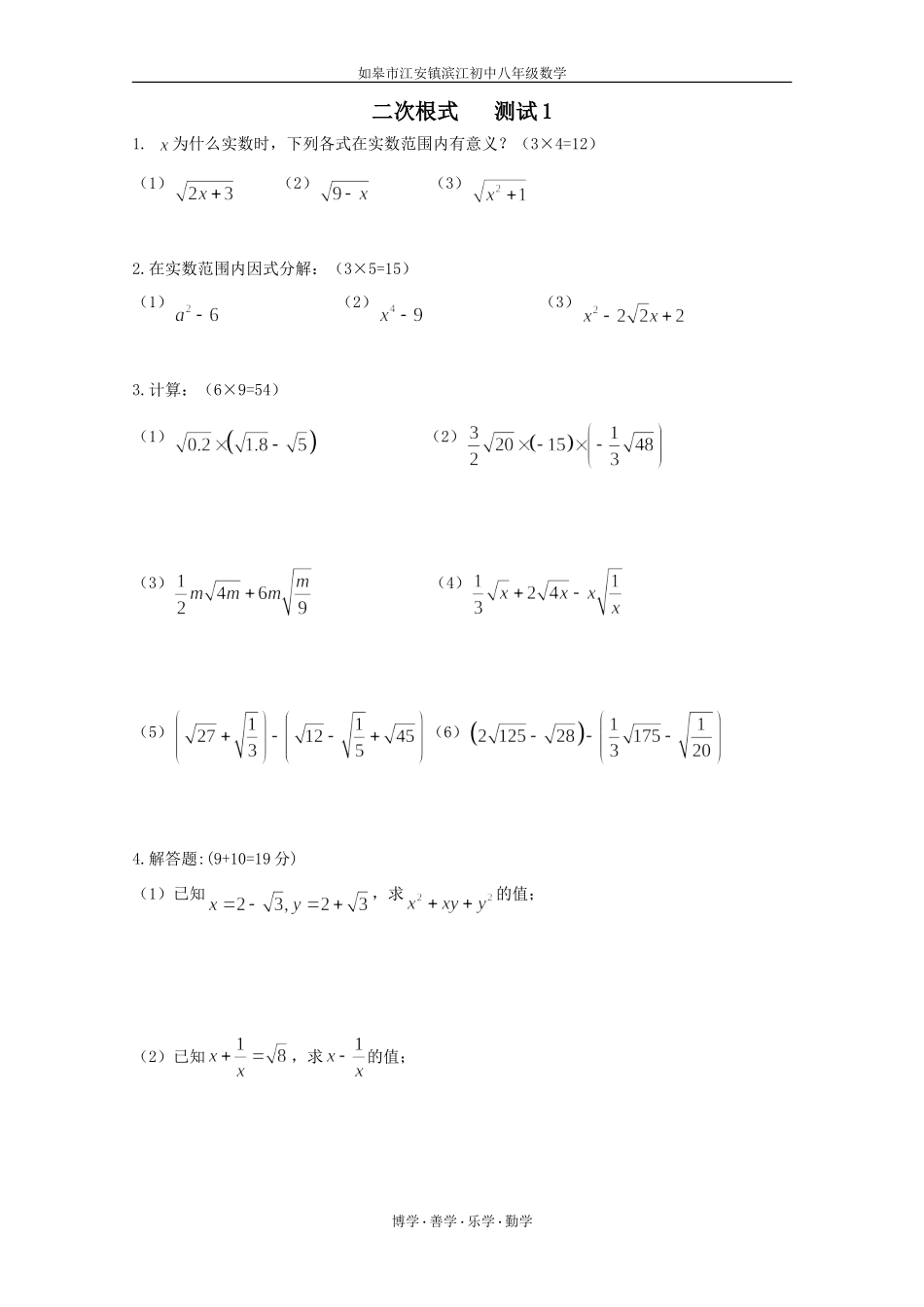
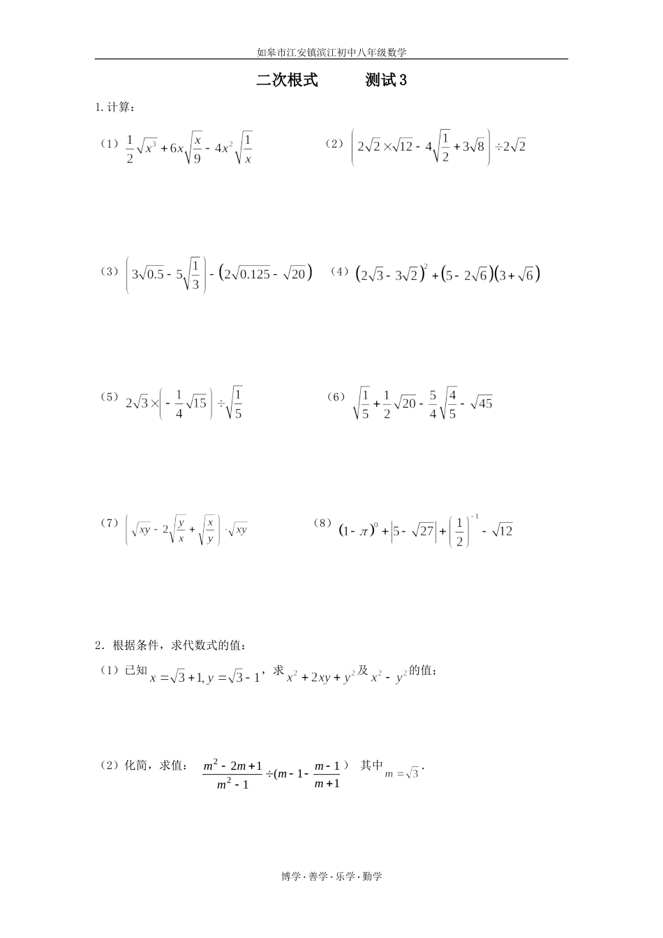
如皋市江安镇滨江初中八年级数学二次根式测试11.为什么实数时,下列各式在实数范围内有意义?(3×4=12)(1)(2)(3)2.在实数范围内因式分解:(3×5=15)(1)(2)(3)3.计算:(6×9=54)(1)(2)(3)(4)(5)(6)4.解答题:(9+10=19分)(1)已知,求的值;(2)已知,求的值;博学·善学·乐学·勤学如皋市江安镇滨江初中八年级数学二次根式测试21.为什么实数时,下列各式在实数范围内有意义?(4分×4=16分)(1)(2)(3)(4)2.在实数范围内因式分解:(5分×3=15分)(1)(2)(3)3.计算:(9分×6=54分)(1)(2)(3)(4)(5)(6)4.求下列各式的值:(5分+10分=15分)(1)已知,求的值;(2)先化简再求值121112222aaaaaa其中a=31;博学·善学·乐学·勤学如皋市江安镇滨江初中八年级数学二次根式测试31.计算:(1)(2)(3)(4)(5)(6)(7)(8)2.根据条件,求代数式的值:(1)已知,求及的值;(2)化简,求值:111(11222mmmmmm)其中.博学·善学·乐学·勤学如皋市江安镇滨江初中八年级数学二次根式测试41.为什么实数时,下列各式在实数范围内有意义?(1)(2)(3)2.化去下列各式分母中的根号.(1)(2)(3)(4)(5)3.计算:(1)(2)(3)(4)(5)(6)4.先化简,再求值:其中.5.已知,求的值.博学·善学·乐学·勤学

1、当您付费下载文档后,您只拥有了使用权限,并不意味着购买了版权,文档只能用于自身使用,不得用于其他商业用途(如 [转卖]进行直接盈利或[编辑后售卖]进行间接盈利)。
2、本站所有内容均由合作方或网友上传,本站不对文档的完整性、权威性及其观点立场正确性做任何保证或承诺!文档内容仅供研究参考,付费前请自行鉴别。
3、如文档内容存在违规,或者侵犯商业秘密、侵犯著作权等,请点击“违规举报”。

碎片内容

二次根式测试1

中小学文库+ 关注
实名认证
内容提供者

精品资料应用尽有

相关文档

确认删除?
VIP
微信客服
  • 扫码咨询
会员Q群
  • 会员专属群点击这里加入QQ群
客服邮箱
回到顶部