电脑桌面
添加小米粒文库到电脑桌面
安装后可以在桌面快捷访问

2.4平面向量的数量积(3)VIP免费

2.4平面向量的数量积(3)_第1页
1/3
2.4平面向量的数量积(3)_第2页
2/3
2.4平面向量的数量积(3)_第3页
3/3
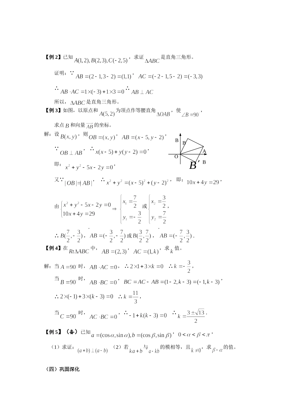
2.4平面向量的数量积(3)一、教学目标:1、知识与技能要求学生掌握平面向量数量积的坐标表示,掌握向量垂直的坐标表示的等价条件。2、过程与方法在教师的引导下,学生根据已有知识完成新知的探索。在问题的解决过程中理解掌握新知。3、情感、态度与价值观培养学生根据已有知识探索发现并应用新知的能力。二、教学重、难点重点:平面向量数量积的坐标表示及由其推出的重要公式;难点:向量数量积坐标表示在处理有关长度、角度、垂直问题中的应用。三、学法与教学用具学法:自主、引导、发现教具:多媒体等四、教学设想(一)创设情境问题:设,=??.请同学们根据已有知识探索发现。(二)探究新知1.向量数量积的坐标表示:设,则,∴.从而得向量数量积的坐标表示公式:.2.长度、夹角、垂直的坐标表示:①长度:;②两点间的距离公式:若,则;③夹角:;④垂直的等价条件:∵,即(注意与向量共线的坐标表示的区别)(三)学以致用【例1】设,求和.解:.【例2】已知,求证是直角三角形。证明:∵,∴∴所以,是直角三角形。【例3】如图,以原点和为顶点作等腰直角,使,求点和向量的坐标。解:设,则,,∵,∴,即:,又∵,∴,即:,由或,∴,或,.【例4】在中,,,求值。解:当时,,∴∴,当时,,,∴∴,当时,,∴∴.【例5】(备)已知,,(1)求证:(2)若与的模相等,且,求的值。(四)巩固深化AOBBBB课本P80练习8,P81习题6,8,9,10(五)课堂小结1.两向量数量积的坐标表示;2.长度、夹角、垂直的坐标表示;3.应用(六)布置作业《课课练》+《导学大课堂》思考题:已知向量=(,1),=,(1)证明:⊥;(2)若存在不同时为零的实数k和t,使=+(t2-3),=-k+t,且⊥,求函数关系式k=f(t).

1、当您付费下载文档后,您只拥有了使用权限,并不意味着购买了版权,文档只能用于自身使用,不得用于其他商业用途(如 [转卖]进行直接盈利或[编辑后售卖]进行间接盈利)。
2、本站所有内容均由合作方或网友上传,本站不对文档的完整性、权威性及其观点立场正确性做任何保证或承诺!文档内容仅供研究参考,付费前请自行鉴别。
3、如文档内容存在违规,或者侵犯商业秘密、侵犯著作权等,请点击“违规举报”。

碎片内容

2.4平面向量的数量积(3)

中小学教育精品资料+ 关注
实名认证
内容提供者

中小学教育资料,优质文档创作者

相关文档

确认删除?
VIP
微信客服
  • 扫码咨询
会员Q群
  • 会员专属群点击这里加入QQ群
客服邮箱
回到顶部