电脑桌面
添加小米粒文库到电脑桌面
安装后可以在桌面快捷访问

2016届高三文科导数练习简单题含问题详解适合中等生训练VIP专享VIP免费

2016届高三文科导数练习简单题含问题详解适合中等生训练_第1页
1/8
2016届高三文科导数练习简单题含问题详解适合中等生训练_第2页
2/8
2016届高三文科导数练习简单题含问题详解适合中等生训练_第3页
3/8
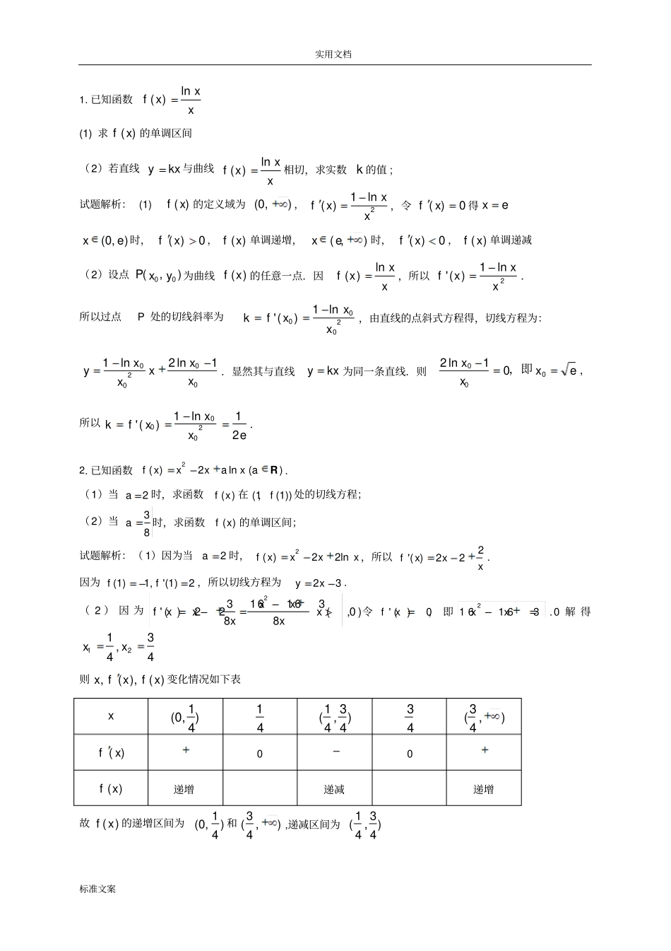
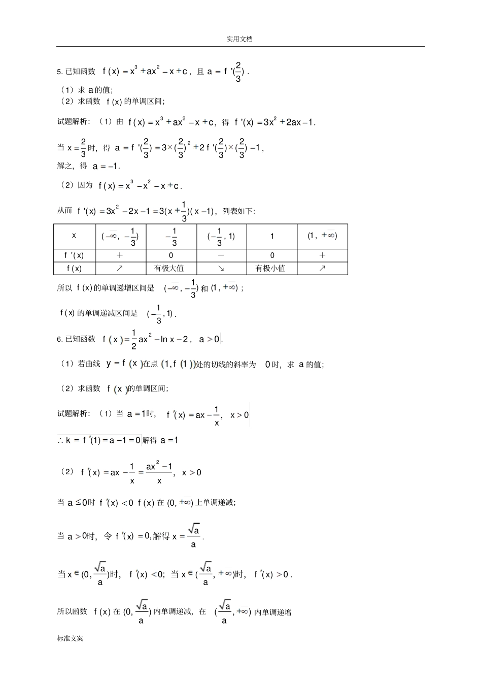
实用文档标准文案1.已知函数ln()xfxx(1)求()fx的单调区间(2)若直线ykx与曲线ln()xfxx相切,求实数k的值;试题解析:(1)()fx的定义域为(0,),21ln()xfxx,令()0fx得xe(0,)xe时,()0fx,()fx单调递增,(,)xe时,()0fx,()fx单调递减(2)设点),(P00yx为曲线)(xf的任意一点.因ln()xfxx,所以2ln1)('xxxf.所以过点P处的切线斜率为2000ln1)('xxxfk,由直线的点斜式方程得,切线方程为:002001ln2ln1xxxxxy.显然其与直线kxy为同一条直线.则exxx00001ln2,即,所以2000ln1)('xxxfke21.2.已知函数2()2ln()fxxxaxaR.(1)当2a时,求函数()fx在(1(1))f,处的切线方程;(2)当38a时,求函数()fx的单调区间;试题解析:(1)因为当2a时,2()22lnfxxxx,所以2'()22fxxx.因为(1)1,'(1)2ff,所以切线方程为23yx.(2)因为2316163'()22(0)88xxfxxxxx,令'()0fx,即2161630xx.解得1213,44xx则,(),()xfxfx变化情况如下表x1(0,)41413(,)44343(,)4()fx00()fx递增递减递增故()fx的递增区间为1(0,)4和3(,)4,递减区间为13(,)44实用文档标准文案3.已知函数221()()ln2fxaxxxaxx.()aR.(1)当0a时,求曲线()yfx在(,())efe处的切线方程(2.718...e);(2)当1a时,求函数()fx的单调区间.试题解析:解:(1)当0a时,()lnfxxxx,'()lnfxx,所以()0fe,'()1fe,所以曲线()yfx在(e,(e))f处的切线方程为yxe.(2)函数()fx的定义域为(0,)21'()()(21)ln1(21)lnfxxxxxxxxx,令()0fx得112xx或x1(0,)2121(,1)21(1,)()fx00()fx递增递减极小值递增所以()fx在1(0,)2和(1,)上单调递增,在1(,1)2上递减.4.已知函数22ln2xfxxae(其中Ra,无理数2.71828e).当xe时,函数fx有极大值12.(1)求实数a的值;(2)求函数fx的单调区间;试题解析:解:(1)由题知221()ln22efeeae,解得0a(2)由题可知函数()fx的定义域为(0,),又22'2221()()()xexexexfxxeexex由2()()0exexex得0xe;2()()0exexex得xe;故函数()fx单调增区间为(0,)e,单调减区间为(,)e实用文档标准文案5.已知函数32()fxxaxxc,且2'()3af.(1)求a的值;(2)求函数)(xf的单调区间;试题解析:(1)由32()fxxaxxc,得2'()321fxxax.当32x时,得22222'()3()2'()()13333aff,解之,得1a.(2)因为32()fxxxxc.从而21'()3213()(1)3fxxxxx,列表如下:x)31,(31)1,31(1),1()('xf+0-0+)(xf↗有极大值↘有极小值↗所以)(xf的单调递增区间是)31,(和),1(;)(xf的单调递减区间是)1,31(.6.已知函数21ln22fxaxx,0a.(1)若曲线yfx在点1,1f处的切线的斜率为0时,求a的值;(2)求函数fx的单调区间;试题解析:(1)当1a时,1()0fxaxxx,(1)10kfa解得1a(2)211()0axfxaxxxx,当0a时()0fx()fx在(0,)上单调递减;当0()0,aafxxa时,令解得.(0)()0()()0aaxfxxfxaa当,时,;当,时,.所以函数()fx在(0,)aa内单调递减,在(,)aa内单调递增实用文档标准文案7.设函数21()ln2fxxaxbx(1)当12ab时,求函数()fx的单调区间;(2)令21()()(03)2aFxfxaxbxxx其图象上任意一点00,Pxy处切线的斜率12k恒成立,求实数a的取值范围;试题解析:(1)依题意,知()fx的定义域为(0,).(1分)当12ab时,211()ln42fxxxx,111(2)(1)()222xxfxxxx.令()0fx,解得1x.当01x时,()0fx,此时()fx单调递增;当1x时,()0fx,此时()fx单调递减.所以函数()fx的单调增区间(0,1),函数f(x)的单调减区间(1,).(2)()ln,0,3aFxxxx,所以00201()2xakFxx,在区间0,3上恒成立,所以200max1(),0,32axxxa≥(﹣x02+x0)当01x时,20012xx取得最大值12.所以12a.8.已知函数()ln(1)1mfxxx.(1)当函数()fx在点(0,(0))f处的切线与直线410yx垂直时,求实数m的值;(2)若0x时,()1fx恒成立,求实数m的取值范围.试题解析:(1)21()11mfxxx,∴函数()fx在点(0,(0))f处的切线的斜率(0)1kfm, 函数()fx在点(0,(0))f处的切线与直线410yx垂直,14,5mm;实用文档标准文案(2)依题意不等式ln(1)11mxx在0x时恒成立,即1(1)ln(1)mxxx在0x时恒成立.令()1(1)ln(1)gxxxx(0x),则()1ln(1)1ln(1)gxxx,∴0x时,()0gx,∴函数()gx在[0,)时为减函数,所以()(0)1gxg,1m即实数m的取值范围是[1,).9.已知函数21()2l...

1、当您付费下载文档后,您只拥有了使用权限,并不意味着购买了版权,文档只能用于自身使用,不得用于其他商业用途(如 [转卖]进行直接盈利或[编辑后售卖]进行间接盈利)。
2、本站所有内容均由合作方或网友上传,本站不对文档的完整性、权威性及其观点立场正确性做任何保证或承诺!文档内容仅供研究参考,付费前请自行鉴别。
3、如文档内容存在违规,或者侵犯商业秘密、侵犯著作权等,请点击“违规举报”。

碎片内容

2016届高三文科导数练习简单题含问题详解适合中等生训练

确认删除?
VIP
微信客服
  • 扫码咨询
会员Q群
  • 会员专属群点击这里加入QQ群
客服邮箱
回到顶部