电脑桌面
添加小米粒文库到电脑桌面
安装后可以在桌面快捷访问

答案概率统计测验卷VIP专享VIP免费

答案概率统计测验卷_第1页
1/14
答案概率统计测验卷_第2页
2/14
答案概率统计测验卷_第3页
3/14
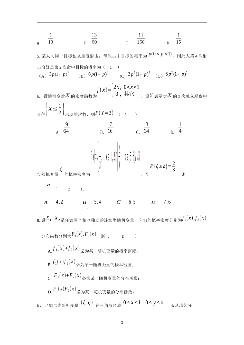
2013-2014(2)《概率论与数理统计》练习题一、填空题1.以A、B、C的运算及关系来表示事件;2.设事件A,B为两随机事件,且P(A)=12,P(A|B)=13,P(B|A)=16,则P(¯A¯B)=____1/3______。3.设事件A,B相互独立,A,C互不相容,且则概率.(提示:4.三人独立的破译一个密码,他们能译出密码的概率分别为1/5、1/4、1/3,此密码能被译出的概率是=_______0.6___________.5.设随机变量ξ服从[0,5]上的均匀分布,方程4x2+4ξx+ξ+2=0有实根的概率=__3/5_6.设随机变量X服从泊松分布,且P(X=1)=P(X=2),则P(X=4)=23e−2。7.设二维随机变量(X,Y)的概率密度为f(x,y)={6x,0,0≤x≤y≤1其它则P(X+Y≤1)=______1/4___________.8.随机变量X与Y相互独立,且均服从区间[0,3]上的均匀分布,则P(max{X,Y}≤1)=19。9.在区间(0,1)中随机地取两个数,则这两个数之差的绝对值小于12的概率为34。10.掷硬币次,正面出现次数的数学期望为n/2.-1-11.某型号螺丝钉的重量是相互独立同分布的随机变量,其期望是1两,标准差是0.1两.则100个该型号螺丝钉重量不超过10.2斤的概率近似为Φ(2)(答案用标准正态分布函数表示).12.设,,则=1.13.设随机变量X和Y的相关系数为0.5,EX=EY=0,EX2=EY2=2,则E(X+Y)2=____6________。14.设随机变量X的方差为2,则根据切比雪夫不等式有估计P{|X−E(X)|≥2}≤____12__15.设为来自二项分布总体的样本,分别为样本均值和样本方差,记统计量,则_______.二、选择题1.袋中有3个白球2个红球,从中无放回地取3次,每次取1个球,则恰有两次取得白球的概率为(C)ABCD2.设A和B任意两个概率不为零的不相容事件,则下列结论中肯定正确的是(D)ABCD3.对于任意二事件A和B,则(B)A.若AB≠φ,则A、B一定独立;B.若AB≠φ,则A、B有可能独立;C.若AB=φ,则A、B一定独立;D.若AB=φ,则A、B一定不独立4.某仓库有同样规格的产品8箱,甲,乙,丙3个厂各生产3箱,2箱和3箱。甲,乙,丙3个厂的次品率分别为。现从8箱中任取1箱,再从取得的1箱中任取1件,则取得次品的概率是(C)-2-ABCD5.某人向同一目标独立重复射击,每次击中目标的概率为,则此人第4次射击恰好是第2次命中目标的概率为(C)(A)(B)(C)(D)6.设随机变量X的密度函数为f(x)={2x,0,0√D(X)]=(C).A.2B.C.D.111.已知,则随着的减小,将(D)A.单调减小B.单调增加C.无法判断D.保持不变12.设随机变量相互独立,且均服从区间上的均匀分布,,则(B)A.59B.19C.47D.4913.设二维随机变量(X,Y)的概率分布为YX0100.4a1b0.1则=(B).A.0.2B.0.9C.0.5D.0.6-4-14.设随机变量X和Y都服从标准正态分布,则(C)(A)X+Y服从正态分布.(B)X2+Y2服从2分布.(C)X2和Y2都服从2分布.(C)X2/Y2服从F分布.15.设随机变量X~t(n)(n>1),求Y=1X2的分布.则(C)(A)Y~χ2(n).(B)Y~χ2(n−1).(C)Y~F(n,1)(D)Y~F(1,n)16.设为来自总体X的样本,且,下列关于总体均值的估计中,其中最有效的是:(C)17.设一批零件的长度服从正态分布N(μ,σ2),现从中随机抽取16个零件,测样本均值为¯x=20(cm),样本标准差s=1(cm),则μ的置信度为0.90的置信区间是(C)(A)(20−14t0.05(16),20+14t0.05(16))(B)(20−14t0.1(16),20+14t...

1、当您付费下载文档后,您只拥有了使用权限,并不意味着购买了版权,文档只能用于自身使用,不得用于其他商业用途(如 [转卖]进行直接盈利或[编辑后售卖]进行间接盈利)。
2、本站所有内容均由合作方或网友上传,本站不对文档的完整性、权威性及其观点立场正确性做任何保证或承诺!文档内容仅供研究参考,付费前请自行鉴别。
3、如文档内容存在违规,或者侵犯商业秘密、侵犯著作权等,请点击“违规举报”。

碎片内容

答案概率统计测验卷

确认删除?
VIP
微信客服
  • 扫码咨询
会员Q群
  • 会员专属群点击这里加入QQ群
客服邮箱
回到顶部