电脑桌面
添加小米粒文库到电脑桌面
安装后可以在桌面快捷访问

2018全国高考的数学解析汇报几何大的题目总汇编答案VIP免费

2018全国高考的数学解析汇报几何大的题目总汇编答案_第1页
1/13
2018全国高考的数学解析汇报几何大的题目总汇编答案_第2页
2/13
2018全国高考的数学解析汇报几何大的题目总汇编答案_第3页
3/13
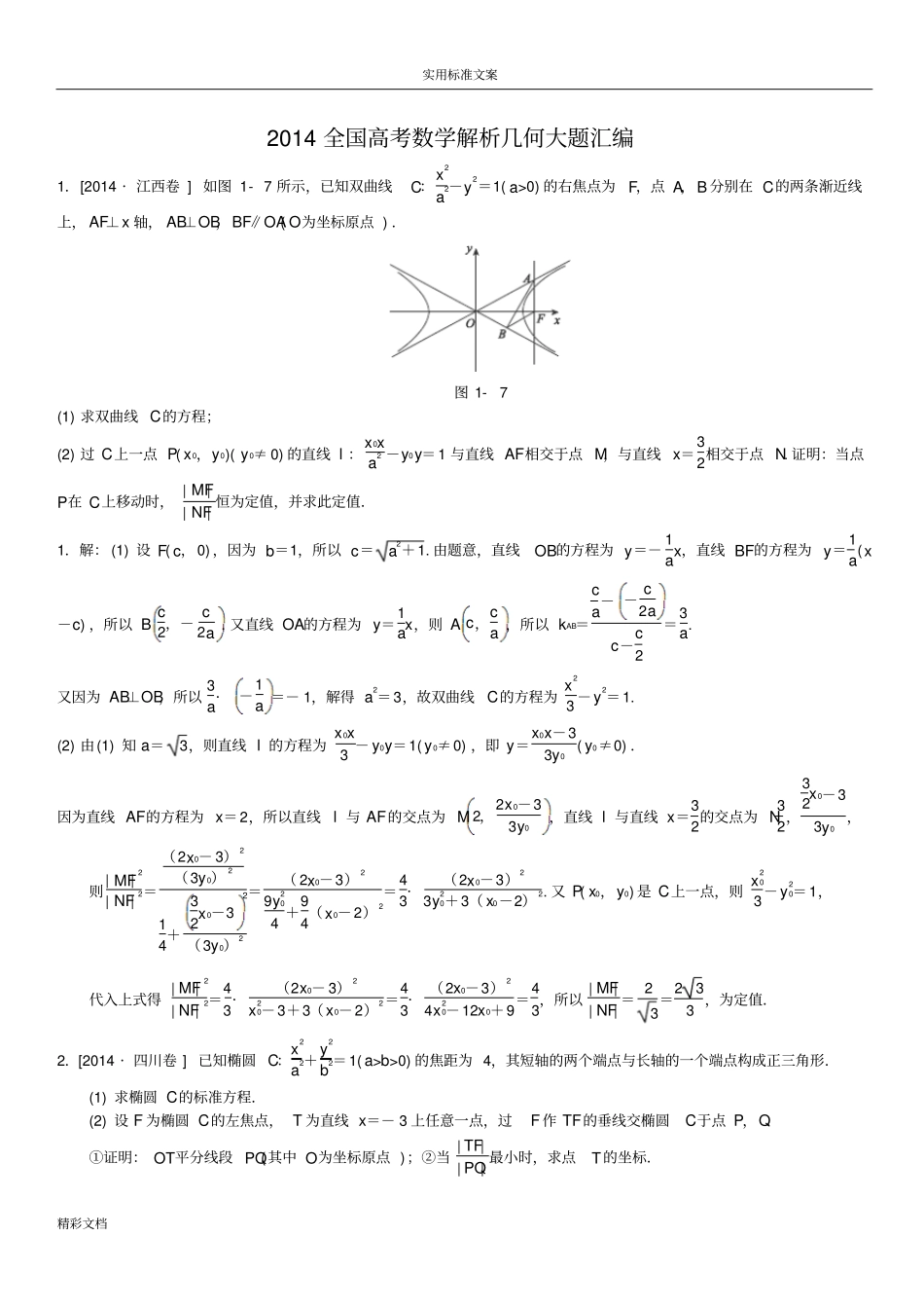
实用标准文案精彩文档2014全国高考数学解析几何大题汇编1.[2014·江西卷]如图1-7所示,已知双曲线C:x2a2-y2=1(a>0)的右焦点为F,点A,B分别在C的两条渐近线上,AF⊥x轴,AB⊥OB,BF∥OA(O为坐标原点).图1-7(1)求双曲线C的方程;(2)过C上一点P(x0,y0)(y0≠0)的直线l:x0xa2-y0y=1与直线AF相交于点M,与直线x=32相交于点N.证明:当点P在C上移动时,|MF||NF|恒为定值,并求此定值.1.解:(1)设F(c,0),因为b=1,所以c=a2+1.由题意,直线OB的方程为y=-1ax,直线BF的方程为y=1a(x-c),所以Bc2,-c2a.又直线OA的方程为y=1ax,则Ac,ca,所以kAB=ca--c2ac-c2=3a.又因为AB⊥OB,所以3a·-1a=-1,解得a2=3,故双曲线C的方程为x23-y2=1.(2)由(1)知a=3,则直线l的方程为x0x3-y0y=1(y0≠0),即y=x0x-33y0(y0≠0).因为直线AF的方程为x=2,所以直线l与AF的交点为M2,2x0-33y0,直线l与直线x=32的交点为N32,32x0-33y0,则|MF|2|NF|2=(2x0-3)2(3y0)214+32x0-32(3y0)2=(2x0-3)29y204+94(x0-2)2=43·(2x0-3)23y20+3(x0-2)2.又P(x0,y0)是C上一点,则x203-y20=1,代入上式得|MF|2|NF|2=43·(2x0-3)2x20-3+3(x0-2)2=43·(2x0-3)24x20-12x0+9=43,所以|MF||NF|=23=233,为定值.2.[2014·四川卷]已知椭圆C:x2a2+y2b2=1(a>b>0)的焦距为4,其短轴的两个端点与长轴的一个端点构成正三角形.(1)求椭圆C的标准方程.(2)设F为椭圆C的左焦点,T为直线x=-3上任意一点,过F作TF的垂线交椭圆C于点P,Q.①证明:OT平分线段PQ(其中O为坐标原点);②当|TF||PQ|最小时,求点T的坐标.实用标准文案精彩文档2.解:(1)由已知可得a2+b2=2b,2c=2a2-b2=4,解得a2=6,b2=2,所以椭圆C的标准方程是x26+y22=1.(2)①证明:由(1)可得,F的坐标是(-2,0),设T点的坐标为(-3,m),则直线TF的斜率kTF=m-0-3-(-2)=-m.当m≠0时,直线PQ的斜率kPQ=1m.直线PQ的方程是x=my-2.当m=0时,直线PQ的方程是x=-2,也符合x=my-2的形式.设P(x1,y1),Q(x2,y2),将直线PQ的方程与椭圆C的方程联立,得x=my-2,x26+y22=1.消去x,得(m2+3)y2-4my-2=0,其判别式Δ=16m2+8(m2+3)>0.所以y1+y2=4mm2+3,y1y2=-2m2+3,x1+x2=m(y1+y2)-4=-12m2+3.设M为PQ的中点,则M点的坐标为-6m2+3,2mm2+3.所以直线OM的斜率kOM=-m3,又直线OT的斜率kOT=-m3,所以点M在直线OT上,因此OT平分线段PQ.②由①可得,|TF|=m2+1,|PQ|=(x1-x2)2+(y1-y2)2=(m2+1)[(y1+y2)2-4y1y2]=(m2+1)4mm2+32-4·-2m2+3=24(m2+1)m2+3.所以|TF||PQ|=124·(m2+3)2m2+1=124m2+1+4m2+1+4≥124(4+4)=33.当且仅当m2+1=4m2+1,即m=±1时,等号成立,此时|TF||PQ|取得最小值.故当|TF||PQ|最小时,T点的坐标是(-3,1)或(-3,-1).3.[2014·全国卷]已知抛物线C:y2=2px(p>0)的焦点为F,直线y=4与y轴的交点为P,与C的交点为Q,且|QF|=54|PQ|.(1)求C的方程;(2)过F的直线l与C相交于A,B两点,若AB的垂直平分线l′与C相交于M,N两点,且A,M,B,N四点在同一圆上,求l的方程.3.解:(1)设Q(x0,4),代入y2=2px,得x0=8p,所以|PQ|=8p,|QF|=p2+x0=p2+8p.由题设得p2+8p=54×8p,解得p=-2(舍去)或p=2,所以C的方程为y2=4x.(2)依题意知l与坐标轴不垂直,故可设l的方程为x=my+1(m≠0).代入y2=4x,得y2-4my-4=0.设A(x1,y1),B(x2,y2),则y1+y2=4m,y1y2=-4.故线段的AB的中点为D(2m2+1,2m),|AB|=m2+1|y1-y2|=4(m2+1).又直线l′的斜率为-m,所以l′的方程为x=-1my+2m2+3.将上式代入y2=4x,并整理得y2+4my-4(2m2+3)=0.设M(x3,y3),N(x4,y4),则y3+y4=-4m,y3y4=-4(2m2+3).故线段MN的中点为E2m2+2m2+3,-2m,|MN|=1+1m2|y3-y4|=4(m2+1)2m2+1m2.实用标准文案精彩文档由于线段MN垂直平分线段AB,故A,M,B,N四点在同一圆上等价于|AE|=|BE|=12|MN|,从而14|AB|2+|DE|2=14|MN|2,即4(m2+1)2+2m+2m2+2m2+22=4(m2...

1、当您付费下载文档后,您只拥有了使用权限,并不意味着购买了版权,文档只能用于自身使用,不得用于其他商业用途(如 [转卖]进行直接盈利或[编辑后售卖]进行间接盈利)。
2、本站所有内容均由合作方或网友上传,本站不对文档的完整性、权威性及其观点立场正确性做任何保证或承诺!文档内容仅供研究参考,付费前请自行鉴别。
3、如文档内容存在违规,或者侵犯商业秘密、侵犯著作权等,请点击“违规举报”。

碎片内容

2018全国高考的数学解析汇报几何大的题目总汇编答案

确认删除?
VIP
微信客服
  • 扫码咨询
会员Q群
  • 会员专属群点击这里加入QQ群
客服邮箱
回到顶部