电脑桌面
添加小米粒文库到电脑桌面
安装后可以在桌面快捷访问

理论力学课后题答案VIP专享VIP免费

理论力学课后题答案_第1页
1/10
理论力学课后题答案_第2页
2/10
理论力学课后题答案_第3页
3/10
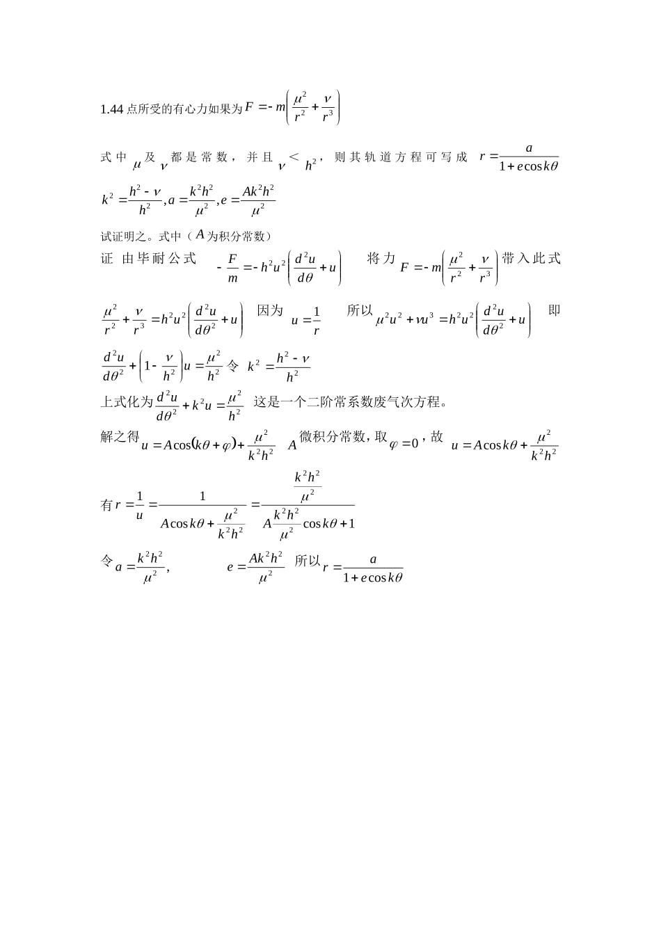
1.1沿水平方向前进的枪弹,通过某一距离s的时间为t1,而通过下一等距离s的时间为2t.试证明枪弹的减速度(假定是常数)为由题可知示意图如题1.1.1图:SS2t1t题1.1.1图设开始计时的时刻速度为0v,由题可知枪弹作匀减速运动设减速度大小为a.则有:221210211021221ttattvsattvs由以上两式得11021attsv再由此式得2121122ttttttsa1.26一弹性绳上端固定,下端悬有m及m两质点。设a为绳的固有长度,b为加m后的伸长,c为加m后的伸长。今将m任其脱离而下坠,试证质点m在任一瞬时离上端O的距离为解以绳顶端为坐标原点.建立如题1.26.1图所示坐标系.题1.26.1图设绳的弹性系数为k,则有kbmg①当m脱离下坠前,m与m系统平衡.当m脱离下坠前,m在拉力T作用下上升,之后作简运.运动微分方程为ymaykmg②联立①②得bbagybgy③0ybgy齐次方程通解tbgAtbgAYsincos211非齐次方程③的特解baY0所以③的通解batbgAtbgAYsincos211代入初始条件:0t时,,cbay得0,21AcA;故有batbgcycos即为m在任一时刻离上端O的距离.OmmT1.39一质点受一与距离23次方成反比的引力作用在一直线上运动。试证此质点自无穷远到达a时的速率和自a静止出发到达4a时的速率相同。证质点受一与距离23次方成反比的力的作用。设此力为为一常数kkrrF23①又因为drvdvmddtdrdrdvmdtdvmrF即mvdvdrrFmvdvdrkr23②当质点从无穷远处到达a时,对②式两边分别积分:vavdvmdrkr0232124amkv当质点从a静止出发到达4a时,对②式两边分别积分:vaadvmdrkr0423得2124amkv所以质点自无穷远到达a时的速率和自a静止出发到达4a时的速率相同。1.43如质点受有心力作用而作双纽线...证由毕耐公式ududuhmF222质点所受有心力做双纽线2cos22ar运动故2cos11aru232cos12sin1addu2sin22cos2sin232cos2cos21252322adud252212cos2sin32cos21a故ududumhF22222cos12cos2sin32cos22cos12522132amh2tan12cos322332amh27322cos3amh2722323aramh7243rhma1.44点所受的有心力如果为322rrmF式中及都是常数,并且<2h,则其轨道方程可写成kearcos1222222222,,hAkehkahhk试证明之。式中(A为积分常数)证由毕耐公式ududuhmF222将力322rrmF带入此式ududuhrr2222322因为ru1所以ududuhuu2222322即222221huhdud令222hhk上式化为22222hukdud这是一个二阶常系数废气次方程。解之得222coshkkAuA微积分常数,取0,故222coshkkAu有1coscos11222222222khkAhkhkkAur令222222,hAkehka所以kearcos13.10解如题3.10.1图。一均质圆盘,半径为a,放在粗糙水平桌上,绕通过其中心的竖直轴转动,开始时的角速度为0。已知圆盘与桌面的摩擦系数为,问经过多少时间后盘将静止?解:z轴过O点垂直纸面向外。均质圆盘的密度为。设盘沿顺时针转动,则沿z的方向有zzMdtdI即zzMI①I为转盘绕z轴的转动惯量:221maI(m为盘的质量),z②(为盘转动的角频率,负号因为规定顺时针转动)3200232agdrdrgMaz=232ammag③由①②③得ag34又因为,00故tagt340所以,0t得gat4303.11通风机的转动部分以初角速0绕其轴转动。空气阻力矩与角速成正比,比例常数为k。如转动部分对其轴的转动惯量为I,问经过多少时间后,其转动的角速减为初角速的一半...

1、当您付费下载文档后,您只拥有了使用权限,并不意味着购买了版权,文档只能用于自身使用,不得用于其他商业用途(如 [转卖]进行直接盈利或[编辑后售卖]进行间接盈利)。
2、本站所有内容均由合作方或网友上传,本站不对文档的完整性、权威性及其观点立场正确性做任何保证或承诺!文档内容仅供研究参考,付费前请自行鉴别。
3、如文档内容存在违规,或者侵犯商业秘密、侵犯著作权等,请点击“违规举报”。

碎片内容

理论力学课后题答案

确认删除?
VIP
微信客服
  • 扫码咨询
会员Q群
  • 会员专属群点击这里加入QQ群
客服邮箱
回到顶部