电脑桌面
添加小米粒文库到电脑桌面
安装后可以在桌面快捷访问

有机化学作业VIP免费

有机化学作业_第1页
1/19
有机化学作业_第2页
2/19
有机化学作业_第3页
3/19
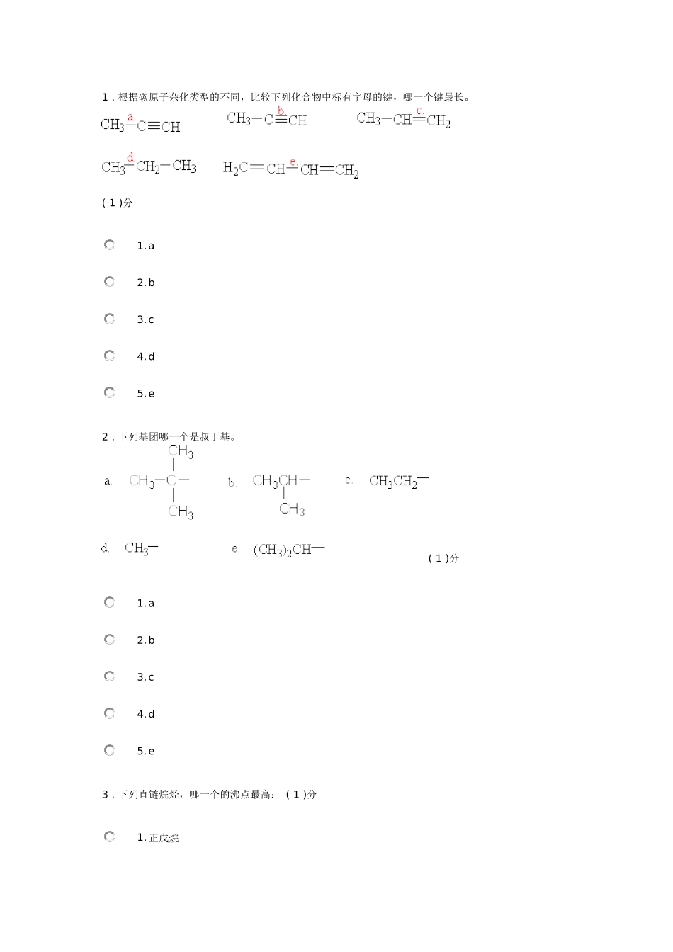
1.根据碳原子杂化类型的不同,比较下列化合物中标有字母的键,哪一个键最长。(1)分1.a2.b3.c4.d5.e2.下列基团哪一个是叔丁基。(1)分1.a2.b3.c4.d5.e3.下列直链烷烃,哪一个的沸点最高:(1)分1.正戊烷2.正己烷3.正丁烷4.正庚烷5.正辛烷4.根据下列化合物的结构,判断哪一个名称是正确的。(1)分1.反式-1-氯-4-溴环己烷2.反式-4-溴-1-氯环己烷3.顺式-1-氯-4-溴环己烷4.顺式-4-溴-1-氯环己烷5.氯溴环己烷5.下列化合物中哪一个具有弱酸性,能与硝酸银氨溶液作用,形成白色沉淀。(1)分1.a2.b3.c4.d5.e6.下列烃类化合物,哪一个能被高锰酸钾氧化(1)分1.苯2.甲苯3.环己烷4.己烷5.叔丁基苯7.(+)-2-丁醇和(-)-2-丁醇两者在下述性质中哪一个是不相同的。(1)分1.沸点2.密度3.旋光方向4.水中溶解度5.与金属钠的反应速度8.下列是两个Fischer投影式(a.和b.),两者是何种关系。(1)分1.非对映体2.对映体3.相同化合物4.外消旋体5.两个不同的内消旋化合物9.下列烯烃哪一个有顺反异构体(1)分1.a2.b3.c4.d5.e10.根据下列取代烯烃的结构式,选择正确的名称。(1)分1.Z-1-氟-1-氯-2-溴乙烯2.E-1-氟-1-氯-2-溴乙烯3.反式-1-氟-1-氯-2-溴乙烯4.顺式-1-氟-1-氯-2-溴乙烯5.Z-1-溴-1-氯-2-氟乙烯11.下列自由基哪一个相对最稳定。(1)分1.a2.b3.c4.d5.e12.1-甲基-4-异丙基环己烷两种典型的构象异构体如下,判断哪一种相对稳定性情况是正确的。(1)分1.A相对最稳定2.B相对最稳定3.A和B都不稳定4.A和B都稳定5.A和B稳定性程度相同13.下列两个化合物a为透视式b为费歇投影式(即平面投影式),a与b互为何种关系,选择一个正确答案(1)分1.互为相同化合物2.互为对映体3.互为非对映体4.互为互变异构体5.互为构造异构体多选题(分数:4分)1.下列烷烃和环烷烃中哪三个遇强酸、强碱、强氧化剂和强还原剂均不发生化学反应。(2)分1.环己烷2.环丙烷3.正己烷4.甲基环丙烷5.甲基环己烷2.下列化合物中,哪两个存在内消旋化合物?A.2,3-二溴丁烷B.2,3-二溴戊烷C.2,4-二溴戊烷D.1,3-二溴丁烷E.1,3-二戊烷(2)分1.A2.B3.C4.D5.E单选题(分数:6分)1.下列哪一个化合物的碱性最强(提示:可比较各化合物的共轭酸的强弱,共轭酸越弱,其共轭碱越强)。(1)分1.a2.b3.c4.d5.e2.下列酚类化合物哪一个酸性最强。(1)分1.a2.b3.c4.d5.e3.选择下列反应的正确产物:(1)分1.a2.b3.c4.d5.e4.下列哪一个化合物在酸性和碱性介质中都容易开环.(1)分1.a2.b3.c4.d5.e5.下列正碳离子哪一个相对最稳定。(1)分1.a2.b3.c4.d5.e6.下列醇在酸性介质中,哪一个最易脱水形成烯烃?(1)分1.a2.b3.c4.d5.e多选题(分数:8分)1.苄基卤化物具有催泪作用,下列那两个是属于苄基卤化物。(2)分1.a2.b3.c4.d5.e2.下列哪两个氯代烃能与AgNO3乙醇溶液作用,形成白色沉淀(AgCl)。(2)分1.氯苯2.氯苄3.氯乙烯4.1-氯-1-丙烯5.2-甲基-2-氯丙烷3.下列哪两个化合物易溶于水。(2)分1.氯仿(三氯甲烷)2.石油醚(C5~C6的烷烃)3.甲醇4.甲苯5.甲醛4.下列哪两个化合物在空气中极易被氧化。(2)分1.a2.b3.c4.d5.e单选题(分数:6分)1.指出下列含氮杂环化合物中,哪一个遇强酸其分子结构容易被破坏。(1)分1.a2.b3.c4.d5.e2.指出下列化合物中哪一个易溶于水(1)分1.a2.b3.c4.d5.e3.下列羧酸和取代羧酸哪一个的酸性相对最强(1)分1.醋酸2.一氯醋酸3.二氯醋酸4.三氯醋酸5.三氟醋酸4.哪一个化合物加热至其熔点以上,容易发生脱羧反应,并放出CO2气体。(1)分1.草酸2.乙酸3.正丁酸4.丁二酸5.正戊酸5.指出嘌呤分子中标有a.、b.、c.、d.四个字母的氮原子,哪一个的碱性最弱。(1)分1.a2.b3.c4.d6.下列芳香胺类化合物哪一个碱性最弱(1)分1.对-硝基苯胺2.对-氯苯胺3.2,4--二硝基苯胺4.苯胺5.对-甲苯胺多选题(分数:8分)1.下列哪两个化合物易溶于水。(2)分1.苯甲酸2.苯甲酸钠3.苯胺4.苯胺盐酸盐5.对-氯苯甲酸2.下列羧酸衍生物哪两个遇空气中的水分就很容易发生水解反应。(2)分1.a2.b3.c4.d3.根据下列结构式选择两个正确命名(2)分1.5-甲基呋喃2.2-甲基呋喃3.α-甲基呋喃4.1-甲基呋喃5.β-甲基呋喃4.维生素C的分子结构式如下,试从结构上分析,它具有下列哪些结构特征(选择四个正确答案)。(2)分1.具有酮羰基2....

1、当您付费下载文档后,您只拥有了使用权限,并不意味着购买了版权,文档只能用于自身使用,不得用于其他商业用途(如 [转卖]进行直接盈利或[编辑后售卖]进行间接盈利)。
2、本站所有内容均由合作方或网友上传,本站不对文档的完整性、权威性及其观点立场正确性做任何保证或承诺!文档内容仅供研究参考,付费前请自行鉴别。
3、如文档内容存在违规,或者侵犯商业秘密、侵犯著作权等,请点击“违规举报”。

碎片内容

有机化学作业

您可能关注的文档

确认删除?
VIP
微信客服
  • 扫码咨询
会员Q群
  • 会员专属群点击这里加入QQ群
客服邮箱
回到顶部