电脑桌面
添加小米粒文库到电脑桌面
安装后可以在桌面快捷访问

呼吸运动的影响实验报告讲解VIP免费

呼吸运动的影响实验报告讲解_第1页
1/9
呼吸运动的影响实验报告讲解_第2页
2/9
呼吸运动的影响实验报告讲解_第3页
3/9
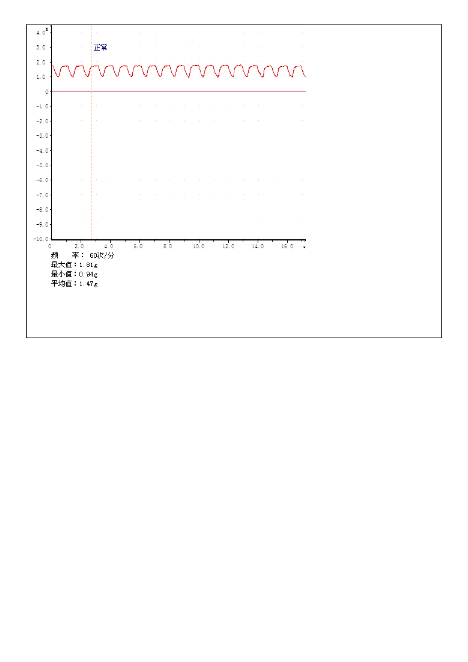
实验报告专业班级:康复2班实验小组:第四组姓名:卢锦锟实验日期:2015年10月27日星期五(一)实验项目:呼吸系统综合实验(二)实验目的:1、记录正常呼吸运动曲线;2、CO2对呼吸运动的影响;3、缺氧对呼吸运动的影响;4、增大无效腔对呼吸运动的影响;5、体液的PH值对呼吸运动的影响;6、剪断迷走神经对呼吸运动的影响;(三)基本原理:(要求对写出关键点)正常节律性呼吸运动是呼吸中枢节律性活动的反映。在不同生理状态下呼吸运动所发生的适应性变化有赖于神经系统的反射调节,其中较为重要的呼吸中枢的直接调节和肺的牵张反射、化学感受器反射调节。1、在正常麻醉状态下、实验动物保持平稳的呼吸节律,其中上升之为吸气,下降支为呼吸;曲线疏密反映呼吸频率,曲线高度反映呼吸幅度。动物节律性呼吸的基本中枢位于延髓,在肺牵张反射和呼吸调整中枢的共同作用下,保持平稳的节律性呼吸。2、CO2对呼吸运动的调节:①.CO2是调节呼吸运动最重要的生理性因素,它对呼吸有很强的刺激作用,是维持延髓呼吸中枢正常兴奋活动所必须的。当动脉血中PCO2增高时呼吸加深加快,肺通气量增大。由于吸入气中CO2浓度增加,血液中PCO2增加,CO2透过血脑屏障使脑脊液中CO2浓度增多。②CO2十H2O→H2CO3→HCO3-+H+CO2通过它产生的H+刺激延髓化学感受器,间接作用于呼吸中枢,通过呼吸肌的作用使呼吸运动加强。PCO2增高时,还刺激主动脉体和颈动脉体的外周化学感受器,反射性地使呼吸加深加快。3、缺氧对呼吸运动的影响:吸入气中缺O2,肺泡气PO2下降,导致动脉血中PO2下降,而PCO2(扩散速度快)基本不变。随着动脉血中PO2的下降,通过刺激主动脉体和颈动脉体外周化学感受器延髓的呼吸中枢兴奋,膈肌和肋间外肌活动加强,反射性引起呼吸运动增加。4增大无效腔对呼吸运动的影响:增加气道长度等于增加无效腔,增加无效腔使肺泡气体更新率下降,引起血中PCO2、PO2-下降,刺激中枢和外周化学感受器引起呼吸运动会加深加快;另外,气道加长使呼吸气道阻力增大,减少了肺泡通气量,反射性呼吸加深加快;增加家兔气道长度可使家兔通气量增加,呼吸频率加快。5、PH值降低对呼吸运动的影响:乳酸改变了血液PH,提高了血中H+浓度。H+是化学感受器的有效刺激物,H+可通过刺激外周化学感受器来调节呼吸运动,也可直接刺激中枢化学感受器,但因血中H+不容易透过血脑屏障直接作用于中枢化学感受器,因此,血中H+对中枢化学感受器的直接刺激作用不大,也较缓慢。6、剪断迷走神经对呼吸运动的影响:①剪断一侧的迷走神经:迷走神经是肺牵张反射的传入纤维。肺牵张反射中的肺扩张反射的作用,在于阻止吸气过长过深,促使吸气及时转为呼气,从而加速了吸气和呼气活动的交替,调节呼吸的频率和深度,当切断一侧迷走神经以后,中断了该侧肺牵张反射的传入道路,肺扩张反射的生理作用就被消除,呈现慢而深的呼吸运动。由于对侧的迷走神经尚未剪断,对侧仍然存在肺牵张反射,故整体情况下,慢而深的呼吸不是很明显;②剪断另一侧的迷走神经:当切断双侧迷走神经以后,中断了左右两侧的肺牵张反射的传入道路,肺扩张反射的生理作用就被完全消除,故呈现很明显的慢而深的呼吸运动。(四)实验主要设备和仪器、药品和用品(要求分类、简洁、清晰表述)1、仪器设备:生理信号采集处理系统、兔手术台、哺乳动物手术器械一套、呼吸换能器、刺激电极、保护电极、气管插管等2、试剂用品:20%氨基甲酸乙酯、生理盐水、3%乳酸溶液、橡皮管(长约50厘米)、2ml,5ml,30ml注射器各一支、N2气囊、CO2气袋、纱布、细线等(五)实验的步骤与方法(列出主要步骤、方法要点)1、动物手术:(1)、麻醉、固定:家兔称重后,按5mL/kg从耳缘静脉缓慢注射20%氨基甲酸酯。将家兔麻醉后,使其仰卧固定在兔手术台上。(2)颈部手术:颈部备皮,沿颈前正中切开皮肤5~6cm,分离气管并做气管插管。分离两侧的迷走神经,穿线备用。手术完毕后,用温生理盐水纱布覆盖手术野。2、实验装置连接:(1)用一带线的铁钩钩住游离的胸骨软骨,线的另一端连接于呼吸换能器,将呼吸换能器于生物信号采集系统的通道1(CH1)相连接记录呼吸流量变化来观察呼吸运...

1、当您付费下载文档后,您只拥有了使用权限,并不意味着购买了版权,文档只能用于自身使用,不得用于其他商业用途(如 [转卖]进行直接盈利或[编辑后售卖]进行间接盈利)。
2、本站所有内容均由合作方或网友上传,本站不对文档的完整性、权威性及其观点立场正确性做任何保证或承诺!文档内容仅供研究参考,付费前请自行鉴别。
3、如文档内容存在违规,或者侵犯商业秘密、侵犯著作权等,请点击“违规举报”。

碎片内容

呼吸运动的影响实验报告讲解

您可能关注的文档

文章天下+ 关注
实名认证
内容提供者

各种文档应有尽有

确认删除?
VIP
微信客服
  • 扫码咨询
会员Q群
  • 会员专属群点击这里加入QQ群
客服邮箱
回到顶部