电脑桌面
添加小米粒文库到电脑桌面
安装后可以在桌面快捷访问

一元一次方程模拟题精选附答案VIP免费

一元一次方程模拟题精选附答案_第1页
1/16
一元一次方程模拟题精选附答案_第2页
2/16
一元一次方程模拟题精选附答案_第3页
3/16
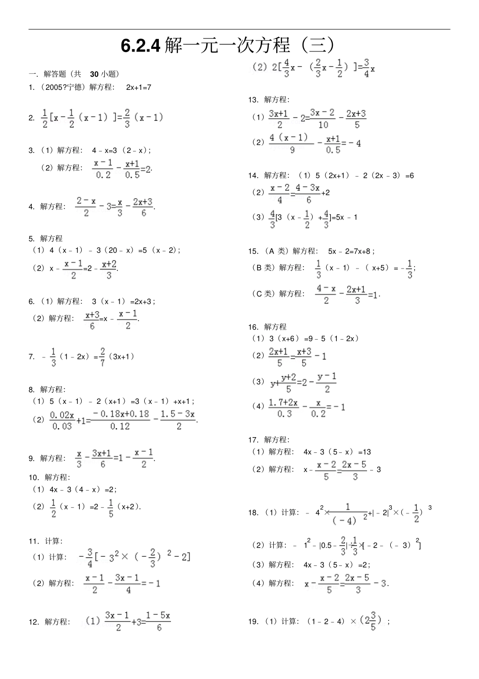
6.2.4解一元一次方程(三)一.解答题(共30小题)1.(2005?宁德)解方程:2x+1=72.3.(1)解方程:4﹣x=3(2﹣x);(2)解方程:.4.解方程:.5.解方程(1)4(x﹣1)﹣3(20﹣x)=5(x﹣2);(2)x﹣=2﹣.6.(1)解方程:3(x﹣1)=2x+3;(2)解方程:=x﹣.7.﹣(1﹣2x)=(3x+1)8.解方程:(1)5(x﹣1)﹣2(x+1)=3(x﹣1)+x+1;(2).9.解方程:.10.解方程:(1)4x﹣3(4﹣x)=2;(2)(x﹣1)=2﹣(x+2).11.计算:(1)计算:(2)解方程:12.解方程:13.解方程:(1)(2)14.解方程:(1)5(2x+1)﹣2(2x﹣3)=6(2)+2(3)[3(x﹣)+]=5x﹣115.(A类)解方程:5x﹣2=7x+8;(B类)解方程:(x﹣1)﹣(x+5)=﹣;(C类)解方程:.16.解方程(1)3(x+6)=9﹣5(1﹣2x)(2)(3)(4)17.解方程:(1)解方程:4x﹣3(5﹣x)=13(2)解方程:x﹣﹣318.(1)计算:﹣42×+|﹣2|3×(﹣)3(2)计算:﹣12﹣|0.5﹣|÷×[﹣2﹣(﹣3)2](3)解方程:4x﹣3(5﹣x)=2;(4)解方程:.19.(1)计算:(1﹣2﹣4)×;2/16(2)计算:÷;(3)解方程:3x+3=2x+7;(4)解方程:.20.解方程(1)﹣0.2(x﹣5)=1;(2).21.解方程:(x+3)﹣2(x﹣1)=9﹣3x.22.8x﹣3=9+5x.5x+2(3x﹣7)=9﹣4(2+x)...23.解下列方程:(1)0.5x﹣0.7=5.2﹣1.3(x﹣1);(2)=﹣2.24.解方程:(1)﹣0.5+3x=10;(2)3x+8=2x+6;(3)2x+3(x+1)=5﹣4(x﹣1);(4).25.解方程:.26.解方程:(1)10x﹣12=5x+15;(2)27.解方程:(1)8y﹣3(3y+2)=7(2).28.当k为什么数时,式子比的值少3.29.解下列方程:(I)12y﹣2.5y=7.5y+5(II).30.解方程:.3/166.2.4解一元一次方程(三)参考答案与试题解析一.解答题(共30小题)1.(2005?宁德)解方程:2x+1=7考点:解一元一次方程.专题:计算题;压轴题.分析:此题直接通过移项,合并同类项,系数化为1可求解.解答:解:原方程可化为:2x=7﹣1合并得:2x=6系数化为1得:x=32.考点:解一元一次方程.专题:计算题.分析:这是一个带分母的方程,所以要先去分母,再去括号,最后移项,化系数为1,从而得到方程的解.解答:解:左右同乘12可得:3[2x﹣(x﹣1)]=8(x﹣1),化简可得:3x+3=8x﹣8,移项可得:5x=11,解可得x=.故原方程的解为x=.点评:若是分式方程,先同分母,转化为整式方程后,再移项化简,解方程可得答案.3.(1)解方程:4﹣x=3(2﹣x);(2)解方程:.考点:解一元一次方程.专题:计算题.分析:(1)先去括号,然后再移项、合并同类型,最后化系数为1,得出方程的解;(2)题的方程中含有分数系数,应先对各式进行化简、整理,然后再按(1)的步骤求解.解答:解:(1)去括号得:4﹣x=6﹣3x,移项得:﹣x+3x=6﹣4,合并得:2x=2,系数化为1得:x=1.(2)去分母得:5(x﹣1)﹣2(x+1)=2,去括号得:5x﹣5﹣2x﹣2=2,移项得:5x﹣2x=2+5+2,合并得:3x=9,系数化1得:x=3.点评:(1)本题易在去分母、去括号和移项中出现错误,还可能会在解题前产生害怕心理.因为看到小数、分数比较多,学生往往不知如何寻找公分母,怎样合并同类项,怎样化简,所以我们要教会学生分开进行,从而达到分解难点的效果.(2)本题的另外一个重点是教会学生对于分数的分子、分母同时扩大或缩小若干倍,值不变.这一性质在4/16今后常会用到.4.解方程:.考点:解一元一次方程.专题:计算题.分析:此题两边都含有分数,分母不相同,如果直接通分,有一定的难度,但将方程左右同时乘以公分母6,难度就会降低.解答:解:去分母得:3(2﹣x)﹣18=2x﹣(2x+3),去括号得:6﹣3x﹣18=﹣3,移项合并得:﹣3x=9,∴x=﹣3.点评:本题易在去分母和移项中出现错误,学生往往不知如何寻找公分母,怎样合并同类项,怎样化简,所以我们要教会学生分开进行,从而达到分解难点的效果.5.解方程(1)4(x﹣1)﹣3(20﹣x)=5(x﹣2);(2)x﹣=2﹣.考点:解一元一次方程.专题:计算题.分析:(1)先去括号,再移项、合并同类项、化系数为1,从而得到方程的解;(2)...

1、当您付费下载文档后,您只拥有了使用权限,并不意味着购买了版权,文档只能用于自身使用,不得用于其他商业用途(如 [转卖]进行直接盈利或[编辑后售卖]进行间接盈利)。
2、本站所有内容均由合作方或网友上传,本站不对文档的完整性、权威性及其观点立场正确性做任何保证或承诺!文档内容仅供研究参考,付费前请自行鉴别。
3、如文档内容存在违规,或者侵犯商业秘密、侵犯著作权等,请点击“违规举报”。

碎片内容

一元一次方程模拟题精选附答案

您可能关注的文档

确认删除?
VIP
微信客服
  • 扫码咨询
会员Q群
  • 会员专属群点击这里加入QQ群
客服邮箱
回到顶部