电脑桌面
添加小米粒文库到电脑桌面
安装后可以在桌面快捷访问

电动力学的第一章总结VIP免费

电动力学的第一章总结_第1页
1/26
电动力学的第一章总结_第2页
2/26
电动力学的第一章总结_第3页
3/26
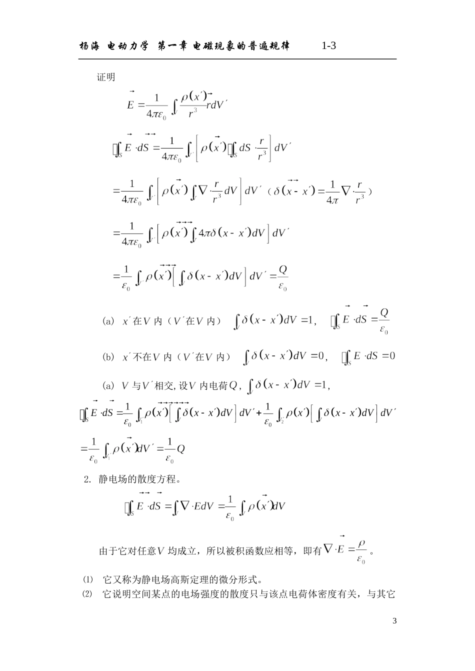
杨海电动力学第一章电磁现象的普遍规律1-1第一章电磁现象的普遍规律本章重点:从特殊到一般,由实验定律加假设总结出麦克斯韦方程。主要内容:讨论几个定律,总结出静电场、静磁场方程;找出问题,提出假设,总结真空中麦氏方程;讨论介质电磁性质,得出介质中麦氏方程;给出求解麦氏方程的边值关系;引入电磁场能量,能流并讨论电磁能量的传输。§1.电荷和静电场一、库仑定律和电场强度1.库仑定律一个静止点电荷对另一静止点电荷的作用力为:⑴静电学的基本实验定律(2)两种物理解释超距作用:一个点电荷不需中间媒介直接施力与另一点电荷。场传递:相互作用通过场来传递。对静电情况两者等价。2.点电荷电场强度每一电荷周围空间存在电场:即任何电荷都在自己周围空间激发电场。它的基本性质是:电荷对处在其中的其它电荷具有作用力。对库仑定律重新解释:描述一个静止点电荷激发的电场对其他任何电荷的电场力。描述电场的函数——电场强度定义:试探点电荷,则它与试探点电荷无关,给定,它仅是空间点函数,因而是一个矢量场——静电场。3.场的叠加原理(实验定律)个点电荷在空间某点的场强等于各点电荷单独存在时在该点场强的矢量和,即:。1杨海电动力学第一章电磁现象的普遍规律1-24.电荷密度分布体密度:面密度:线密度:5.连续分布电荷激发的电场强度或或对于场中的一个点电荷,受力仍然成立。若已知,原则上可求出,若积分不可,可近似求解或数值积分。但是在许多实际情况,不总是已知的,例如,空间存在导体线介质,导体上会出现感应电荷分布,介质中会出现束缚电荷分布,这些电荷分布一般是不知道或不可测的,它们产生一个附加场,总场,因此要确定空间电场在许多情况下,不能用上式,而需用其他方法。二、高斯定理与静电场的散度方程1.高斯定理⑴静电场对任一闭合曲面的通量等于面内电荷与真空介电常数比值。⑵它适用求解某种具有对称性的场强。⑶它反映了电荷分布与电场强度在某给定区域内的关系,不反应场点与点的关系。⑷电场是有源场,源心为电荷。2杨海电动力学第一章电磁现象的普遍规律1-3证明()(a)在内(在内),(b)不在内(在内),(a)与相交,设内电荷,,2.静电场的散度方程。由于它对任意均成立,所以被积函数应相等,即有。⑴它又称为静电场高斯定理的微分形式。⑵它说明空间某点的电场强度的散度只与该点电荷体密度有关,与其它3杨海电动力学第一章电磁现象的普遍规律1-4点的无关。(但要注意:本身与其它点电荷仍有密切关系),,但。⑶它刻划静电场在空间各点发散和会聚情况电力线发源于正电荷,电力线终止于负电荷,无电荷处电力线连续通过,⑷它仅适用于连续分布的区域,在分界面上,一般不连续不能用。⑸由于有三个分量,仅此方程不能确定,还要知道的旋度方程。三、静电场的环路定理与旋度方程1.环路定理⑴静电场对任意闭合回路的环量为零。⑵说明在回路内无涡旋存在,静电场是不闭合的。证明(不要求)2.旋度方程 (由于任意)∴⑴它又称为环路定理的微分形式。⑵它说明静电场为无旋场,电力线永不闭合。⑶在分界面上一般不连续,旋度方程不适用,且它仅适用于静电场,变化场。⑷有三个分量方程,但只有两个独立的方程,这是因为四、静电场的基本方程4杨海电动力学第一章电磁现象的普遍规律1-5微分形式,积分形式物理意义:反映了电荷激发电场及电场内部联系的规律性。物理图像:电荷是电场的源,静电场是有源无旋场。[例]:电荷均匀分布于半径为的球体内,求各点场强的散度和旋度。[解]:它的场强由高斯定理可求出,(与点电荷在处产生的场相同)求散度:又因为在球内,所以即。求旋度:因为,所以。。5杨海电动力学第一章电磁现象的普遍规律1-6§2.电流和静磁场一、电荷守恒定律1.电流强度和电流密度(矢量):单位时间通过空间任意曲面的电量(单位安培);若是一个小面元,则用表示,:方向:沿导体内一点电荷流动方向大小:单位时间垂直通过单位面积的电量。,与的关系,此外对单一粒子构成的体系2.电荷守恒的实验定律a)语言描述:封闭系统内的总电荷严格保持不变。对于开放系统,单位时间流出电荷总量等于内电量的减少率。b)积分形式:...

1、当您付费下载文档后,您只拥有了使用权限,并不意味着购买了版权,文档只能用于自身使用,不得用于其他商业用途(如 [转卖]进行直接盈利或[编辑后售卖]进行间接盈利)。
2、本站所有内容均由合作方或网友上传,本站不对文档的完整性、权威性及其观点立场正确性做任何保证或承诺!文档内容仅供研究参考,付费前请自行鉴别。
3、如文档内容存在违规,或者侵犯商业秘密、侵犯著作权等,请点击“违规举报”。

碎片内容

电动力学的第一章总结

海纳百川+ 关注
实名认证
内容提供者

热爱教学事业,对互联网知识分享很感兴趣

确认删除?
VIP
微信客服
  • 扫码咨询
会员Q群
  • 会员专属群点击这里加入QQ群
客服邮箱
回到顶部