电脑桌面
添加小米粒文库到电脑桌面
安装后可以在桌面快捷访问

流体力学 第二版 李玉柱 习题解答 1、2章VIP免费

流体力学 第二版 李玉柱 习题解答 1、2章_第1页
1/12
流体力学 第二版 李玉柱 习题解答 1、2章_第2页
2/12
流体力学 第二版 李玉柱 习题解答 1、2章_第3页
3/12
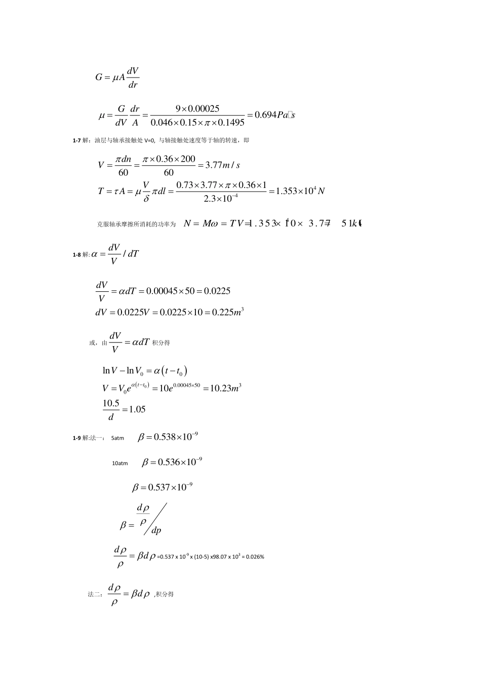
第一章绪论1—1解:5521.875101.6110/1.165ms1—2解:63992.20.661100.65610Pas1—3解:设油层速度呈直线分布10.1200.005dVPady1-4解:木板沿斜面匀速下滑,作用在木板上的重力G在斜面的分力与阻力平衡,即0sin3059.810.524.53nTGN由dVTAdy224.530.0010.114/0.40.60.9TdyNsmAdV1-5解:上下盘中流速分布近似为直线分布,即dVVdy在半径r处且切向速度为r切应力为432dVVrdyyd转动上盘所需力矩为M=1dMdA=20(2)drdrr=2202drrdr=432d1-6解:由力的平衡条件GA而dVdr0.046/dVms0.150.1492/20.00025drdVGAdr90.000250.6940.0460.150.1495GdrPasdVA1-7解:油层与轴承接触处V=0,与轴接触处速度等于轴的转速,即440.362003.77/60600.733.770.3611.353102.310dnVmsVTAdlN克服轴承摩擦所消耗的功率为41.353103.7751.02NMTVkW1-8解:/dVdTV30.00045500.02250.02250.0225100.225dVdTVdVVm或,由dVdTV积分得0000.000455030lnln1010.2310.51.05ttVVttVVeemd1-9解:法一:5atm90.5381010atm90.5361090.53710ddpdd=0.537x10-9x(10-5)x98.07x103=0.026%法二:dd,积分得930000.5371010598.071000lnln1.000260.026%ppppee1-10解:水在玻璃管中上升高度h=29.82.98mmd水银在玻璃管中下降的高度H=10.51.05dmm第二章流体静力学2-1解:已知液体所受质量力的x向分量为–a,z向分量为-g。液体平衡方程为()dpadxgdz……………………(1)考虑等压方面dP=0,由式(1)得0adxgdz……………………(2)积分该式,得等压面方程axgzC由边界条件确定积分常数C。建立坐标如图,选取位于左侧自由面管轴处得点(x,z)=(0,h),将坐标值代入上式,得C=-gh,通过该点的等压面方程为axgzgh……………………(3)由该式可解出加速度hzagx位于右侧自由面管轴处的点位于该等压面上,(x,z)=(L-0)满足等压面方程(3)将30,505xLcmhzcm代入上式,得259.8/30ams2-2解:设Pabs0表示液面的绝对压强。A点的绝对压强可写成0gh=absappgzp解得0g()absappzhp5330.98109.810000.51.54.91093.11093.1PapakPa液面的相对压强340093.1109.8104900absapppPaPa2-3解:(1)A、B两点的相对压强为32234410/41ABFFFpppaAdd35.0910paA’、B’两点的相对压强为34''5.09109.8100022.4710ABAPPPghpapa(2)容器底面的总压力为2424''1''2.471027.761044AAdFPAPNN2-4解:由题意得0apghp故09.8100008510001.339.81000apphmmg2-5解:设真空计内液面压强为P0,A点绝对压强为PabsA,00,absAappgzppgh消去该两式的P0,得()absAaappghgzpgzh449.8109.81000128.8210PaPaA点的相对压强448.82109.8109800AabsAapppPaPaA点的真空度98001.09.81000AvAphmmg2-6解:设压力表G的读数为PG。容器底压强可写成07.623.663.661.52GGpgg(9.141.52)Gg解出PG,得09.143.667.623.66GGpgg9.812505.489.88343.96671303236634764PaPaPa2-7解:压强分布图如图所示2-8解:压力表处得相对压强为52101009.810patmHON由于d=1m<<100m,可认为法兰堵头的平均压强近似等于P。故静水总压力25259.81017.701044dPpNN其作用点通过堵头圆心。注释:根据精确计算,可得总压力为7.74x105N,作用点在圆心以下0.6...

1、当您付费下载文档后,您只拥有了使用权限,并不意味着购买了版权,文档只能用于自身使用,不得用于其他商业用途(如 [转卖]进行直接盈利或[编辑后售卖]进行间接盈利)。
2、本站所有内容均由合作方或网友上传,本站不对文档的完整性、权威性及其观点立场正确性做任何保证或承诺!文档内容仅供研究参考,付费前请自行鉴别。
3、如文档内容存在违规,或者侵犯商业秘密、侵犯著作权等,请点击“违规举报”。

碎片内容

流体力学 第二版 李玉柱 习题解答 1、2章

海纳百川+ 关注
实名认证
内容提供者

热爱教学事业,对互联网知识分享很感兴趣

确认删除?
VIP
微信客服
  • 扫码咨询
会员Q群
  • 会员专属群点击这里加入QQ群
客服邮箱
回到顶部