电脑桌面
添加小米粒文库到电脑桌面
安装后可以在桌面快捷访问

化工原理化工计算所有公式总结VIP免费

化工原理化工计算所有公式总结_第1页
1/4
化工原理化工计算所有公式总结_第2页
2/4
化工原理化工计算所有公式总结_第3页
3/4
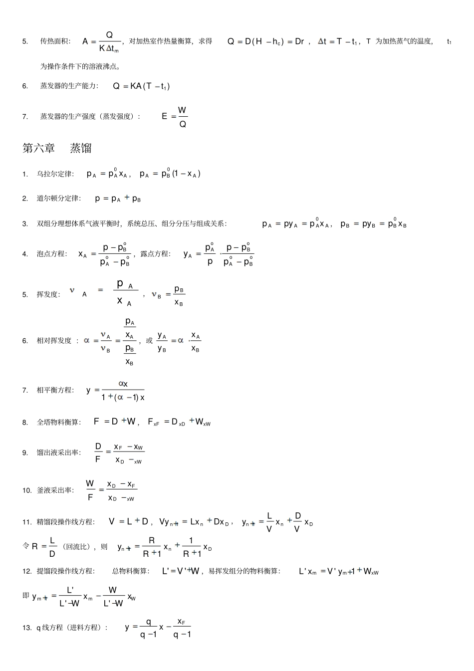
化工原理化工计算所有公式总结第一章流体流动与输送机械1.流体静力学基本方程:ghpp022.双液位U型压差计的指示:)21(21Rgpp)3.伯努力方程:222212112121pugzpugz4.实际流体机械能衡算方程:fWpugzpugz222212112121+5.雷诺数:duRe6.范宁公式:fpdluudlWf223227.哈根-泊谡叶方程:232dlupf8.局部阻力计算:流道突然扩大:2211AA流产突然缩小:2115.0AA第二章非均相物系分离1.恒压过滤方程:tKAVVVe222令AVq/,AVeqe/则此方程为:ktqqqe22第三章传热1.傅立叶定律:ntdAdQ,dxdtAQ2.热导率与温度的线性关系:)1(0t3.单层壁的定态热导率:bttAQ21,或mAbtQ4.单层圆筒壁的定态热传导方程:)ln1(21221rrttlQ或mAbttQ215.单层圆筒壁内的温度分布方程:CrlQtln2(由公式4推导)6.三层圆筒壁定态热传导方程:34123212141ln1ln1ln1(2rrrrrrttlQ7.牛顿冷却定律:)(ttAQw,)(TTAQw8.努塞尔数lNu普朗克数CpPr格拉晓夫数223tlgGr9.流体在圆形管内做强制对流:10000Re,1600Pr6.0,50/dlkNuPrRe023.08.0,或kCpdud8.0023.0,其中当加热时,k=0.4,冷却时k=0.310.热平衡方程:)()]([1222211ttcqTTcrqQpmspm无相变时:)()(12222111ttcqTTcqQpmpm,若为饱和蒸气冷凝:)(12221ttcqrqQpmm11.总传热系数:21211111ddddbKm12.考虑热阻的总传热系数方程:212121211111ddRRddddbKssm13.总传热速率方程:tKAQ14.两流体在换热器中逆流不发生相变的计算方程:22111112211lnpmpmpmcqcqcqKAtTtT15.两流体在换热器中并流不发生相变的计算方程:22111122111lnpmpmpmcqcqcqKAtTtT16.两流体在换热器中以饱和蒸气加热冷流体的计算方程:2221lnpmcqKAtTtT第四章蒸发1.蒸发水量的计算:110)(LxxWFFx2.水的蒸发量:)1(10xxFW3.完成时的溶液浓度:WFFx04.单位蒸气消耗量:rrDW',此时原料液由预热器加热至沸点后进料,且不计热损失,r为加热时的蒸气汽化潜热r’为二次蒸气的汽化潜热5.传热面积:mtKQA,对加热室作热量衡算,求得DrhHDQc)(,1tTt,T为加热蒸气的温度,t1为操作条件下的溶液沸点。6.蒸发器的生产能力:)(1tTKAQ7.蒸发器的生产强度(蒸发强度):QWE第六章蒸馏1.乌拉尔定律:AAAxpp0,)1(0ABAxpp2.道尔顿分定律:BAppp3.双组分理想体系气液平衡时,系统总压、组分分压与组成关系:AAAAxppyp0,BBBBxppyp04.泡点方程:oBoAoBAppppx,露点方程:oBoAoBoAAppppppy5.挥发度:AAAxp,BBBxp6.相对挥发度:BBAABAxpxp,或BABAxxyy7.相平衡方程:xxy)1(18.全塔物料衡算:WDF,xWxDxFWDF9.馏出液采出率:xWDWFxxxFD10.釜液采出率:xWDFDxxxFW11.精馏段操作线方程:DLV,DnnDxLxVy1,DnnxVDxVLy1令DLR(回流比),则DnnxRxRRy111112.提馏段操作线方程:总物料衡算:WVL'',易挥发组分的物料衡算:xWmmWyVxL1''即WmmxWLWxWLLy'''113.q线方程(进料方程):11qxxqqyF14.芬斯克方程:mWWDDxxxxNlg11lg1min第七章干燥1.湿度:vvavaavvpppnnMnMnH622.029182.相对温度:%100svpp3.湿比热容:HcccvaH,在0~120℃时,HcH88.101.14.湿空气焓:vaHHIII,具体表达式为:HtHIIH2492)88.101.1(5.湿比体积:ptHptHvH5510013.12732734.22244.1772.010013.12732734.22182916.露点温度:ddpppH622.0,即HHppd622.0

1、当您付费下载文档后,您只拥有了使用权限,并不意味着购买了版权,文档只能用于自身使用,不得用于其他商业用途(如 [转卖]进行直接盈利或[编辑后售卖]进行间接盈利)。
2、本站所有内容均由合作方或网友上传,本站不对文档的完整性、权威性及其观点立场正确性做任何保证或承诺!文档内容仅供研究参考,付费前请自行鉴别。
3、如文档内容存在违规,或者侵犯商业秘密、侵犯著作权等,请点击“违规举报”。

碎片内容

化工原理化工计算所有公式总结

您可能关注的文档

确认删除?
VIP
微信客服
  • 扫码咨询
会员Q群
  • 会员专属群点击这里加入QQ群
客服邮箱
回到顶部