电脑桌面
添加小米粒文库到电脑桌面
安装后可以在桌面快捷访问

二次根式单元测试题VIP免费

二次根式单元测试题_第1页
1/4
二次根式单元测试题_第2页
2/4
二次根式单元测试题_第3页
3/4
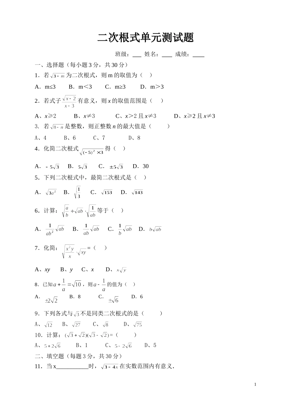
二次根式单元测试题班级:姓名:成绩:一、选择题(每小题3分,共30分)1.若为二次根式,则m的取值为()A.m≤3B.m<3C.m≥3D.m>32.若式子有意义,则x的取值范围是()A、x≥2B、x≠3C、x>2且x≠3D、x≥2且x≠33.若是整数,则正整数n的最大值是()A、4B、6C、7D、84.化简二次根式得()A.B.C.D.305.下列二次根式中,最简二次根式是()A.B.C.D.6.计算:等于()A.B.C.D.7.化简:=()A、xyB、yC、xD、8.已知,则的值为()A.B.8C.D.69.下列各式与不是同类二次根式的是()A、B、C、D、10.计算:=()A、B、1C、D、5二、填空题(每题3分,共30分)11.当x___________时,在实数范围内有意义.112.计算:①=;②=13.比较大小:______.14.化简:①=;②=15.在实数范围内分解因式=16.当x时,17.要切一块面积为6400的正方形大理石地板砖,则它的边长要切成㎝18.已知:,则19.如果,那么;如果,那么20.已知:在公式中,则三、解答题(共60分)21.化简(每题4分,共8分)(4)(2)22.计算:(每题4分,共16分)(1).(2).(3)(4)223.若最简二次根式与是同类二次根式,求m、n的值.(7分)24.化简求值:,其中(7分)25.若二次根式和都有意义,求x的取值范围(7分)26.已知实数在数轴上的对应点如图所示,化简:(7分)327.已知Rt△ABC中,∠ACB=90°,AC=,BC=,求AB上的高CD的长(8分)DCBA4

1、当您付费下载文档后,您只拥有了使用权限,并不意味着购买了版权,文档只能用于自身使用,不得用于其他商业用途(如 [转卖]进行直接盈利或[编辑后售卖]进行间接盈利)。
2、本站所有内容均由合作方或网友上传,本站不对文档的完整性、权威性及其观点立场正确性做任何保证或承诺!文档内容仅供研究参考,付费前请自行鉴别。
3、如文档内容存在违规,或者侵犯商业秘密、侵犯著作权等,请点击“违规举报”。

碎片内容

二次根式单元测试题

精品文库+ 关注
实名认证
内容提供者

小学学习各类资料大全

相关文档

确认删除?
VIP
微信客服
  • 扫码咨询
会员Q群
  • 会员专属群点击这里加入QQ群
客服邮箱
回到顶部