电脑桌面
添加小米粒文库到电脑桌面
安装后可以在桌面快捷访问

广州2014年初中毕业生学业考试数学试题VIP免费

广州2014年初中毕业生学业考试数学试题_第1页
1/12
广州2014年初中毕业生学业考试数学试题_第2页
2/12
广州2014年初中毕业生学业考试数学试题_第3页
3/12
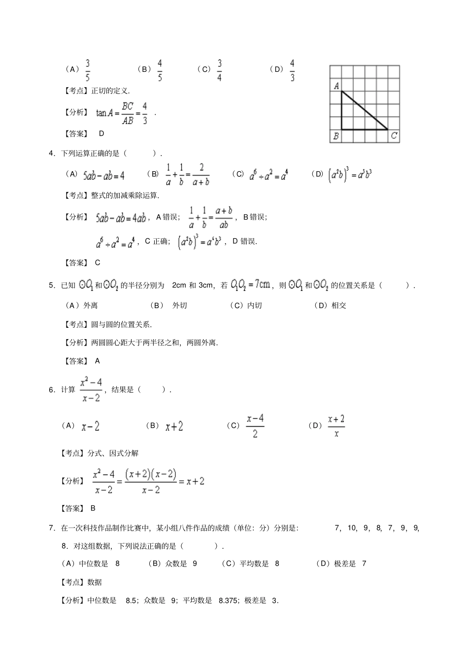
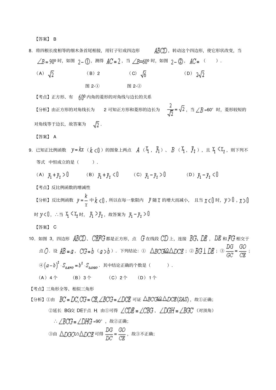
秘密★启用前广州市2014年初中毕业生学业考试数学本试卷分选择题和非选择题两部分,共三大题25小题,满分150分.考试时间120分钟.注意事项:1.答卷前,考生务必在答题卡第1面、第3面、第5面上用黑色字迹的钢笔或签字笔填写自己的考生号、姓名;填写考场试室号、座位号,再用2B铅笔把对应这两个号码的标号涂黑.2.选择题每小题选出答案后,用2B铅笔把答题卡上对应题同的答案标号涂黑;如需改动,用橡皮擦干净后,再选涂其他答案标号;不能答在试卷上.3.非选择题必须用黑色字迹的钢笔或签字笔作答,涉及作图的题目,用2B铅笔画图.答案必须写在答题卡各题目指定区域内的相应位置上;如需改动,先划掉原来的答案,然后再写上新的答案;改动的答案也不能超出指定的区域.不准使用铅笔、圆珠笔和涂改液.不按以上要求作答的答案无效.4.考生必须保持答题卡的整洁,考试结束后,将本试卷和答题卡一并交回.第一部分选择题(共30分)一、选择题(本大题共10小题,每小题3分,满分30分,在每小题给出的四个选项中,只有一项是符合题目要求的)1.()的相反数是().(A)(B)(C)(D)【考点】相反数的概念【分析】任何一个数的相反数为.【答案】A2.下列图形是中心对称图形的是().(A)(B)(C)(D)【考点】轴对称图形和中心对称图形.【分析】旋转180°后能与完全重合的图形为中心对称图形.【答案】D3.如图1,在边长为1的小正方形组成的网格中,的三个顶点均在格点上,则().(A)(B)(C)(D)【考点】正切的定义.【分析】.【答案】D4.下列运算正确的是().(A)(B)(C)(D)【考点】整式的加减乘除运算.【分析】,A错误;,B错误;,C正确;,D错误.【答案】C5.已知和的半径分别为2cm和3cm,若,则和的位置关系是().(A)外离(B)外切(C)内切(D)相交【考点】圆与圆的位置关系.【分析】两圆圆心距大于两半径之和,两圆外离.【答案】A6.计算,结果是().(A)(B)(C)(D)【考点】分式、因式分解【分析】【答案】B7.在一次科技作品制作比赛中,某小组八件作品的成绩(单位:分)分别是:7,10,9,8,7,9,9,8.对这组数据,下列说法正确的是().(A)中位数是8(B)众数是9(C)平均数是8(D)极差是7【考点】数据【分析】中位数是8.5;众数是9;平均数是8.375;极差是3.【答案】B8.将四根长度相等的细木条首尾相接,用钉子钉成四边形,转动这个四边形,使它形状改变,当时,如图,测得,当时,如图,().(A)(B)2(C)(D)图2-①图2-②【考点】正方形、有内角的菱形的对角线与边长的关系【分析】由正方形的对角线长为2可知正方形和菱形的边长为,当=60°时,菱形较短的对角线等于边长,故答案为.【答案】A9.已知正比例函数()的图象上两点(,)、(,),且,则下列不等式中恒成立的是().(A)(B)(C)(D)【考点】反比例函数的增减性【分析】反比例函数中,所以在每一象限内随的增大而减小,且当时,,时,∴当时,,故答案为【答案】C10.如图3,四边形、都是正方形,点在线段上,连接,和相交于点.设,().下列结论:①;②;③;④.其中结论正确的个数是().(A)4个(B)3个(C)2个(D)1个【考点】三角形全等、相似三角形【分析】①由可证,故①正确;②延长BG交DE于点H,由①可得,(对顶角)∴=90°,故②正确;③由可得,故③不正确;④,等于相似比的平方,即,∴,故④正确.【答案】B第二部分非选择题(共120分)二、填空题(共6小题,每小题3分,满分18分)11.中,已知,,则的外角的度数是_____.【考点】三角形外角【分析】本题主要考察三角形外角的计算,,则的外角为【答案】12.已知是∠AOB的平分线,点P在OC上,PD⊥OA,PE⊥OB,垂足分别为点,,则PE的长度为_____.【考点】角平线的性质【分析】角平分线上的点到角的两边距离相等.【答案】1013.代数式有意义时,应满足的条件为______.【考点】分式成立的意义,绝对值的考察【分析】由题意知分母不能为0,即,则【答案】14.一个几何体的三视图如图4,根据图示的数据计算该几何体的全面积为_______(结果保留).【考点】三...

1、当您付费下载文档后,您只拥有了使用权限,并不意味着购买了版权,文档只能用于自身使用,不得用于其他商业用途(如 [转卖]进行直接盈利或[编辑后售卖]进行间接盈利)。
2、本站所有内容均由合作方或网友上传,本站不对文档的完整性、权威性及其观点立场正确性做任何保证或承诺!文档内容仅供研究参考,付费前请自行鉴别。
3、如文档内容存在违规,或者侵犯商业秘密、侵犯著作权等,请点击“违规举报”。

碎片内容

广州2014年初中毕业生学业考试数学试题

您可能关注的文档

确认删除?
VIP
微信客服
  • 扫码咨询
会员Q群
  • 会员专属群点击这里加入QQ群
客服邮箱
回到顶部