电脑桌面
添加小米粒文库到电脑桌面
安装后可以在桌面快捷访问

开炼机辊筒受力研究分析VIP免费

开炼机辊筒受力研究分析_第1页
1/3
开炼机辊筒受力研究分析_第2页
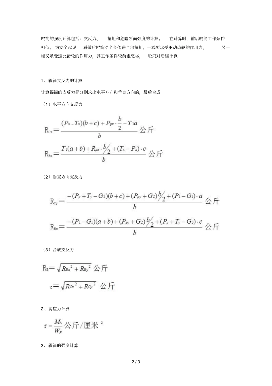
2/3
开炼机辊筒受力研究分析_第3页
3/3
1/3开炼机辊筒受力分析开炼机的辊筒工作时受有较大的横压力、摩擦力、温度应力、大小驱动齿轮和速比齿轮的作用力,那么开炼机辊筒是如何受力的呢?下面利拿机械工程师来详细的讲解:开炼机辊筒受力分析由于胶料横压力的作用,辊筒要承受弯曲应力,由于胶料的摩擦力和轴承的摩擦力作用,辊筒要承受扭转应力,可见辊筒实际上是受有弯曲和扭转的复合应力,此外,辊筒的自重作用都必须给予考虑,辊筒内外温度差而引起的温度应力和冷硬铸造产生的内应力都对辊筒强度有影响。胶料对辊筒的横压力计算公式:Pp=P·L公斤Ppx=Pp·cosβ公斤Ppy=Ppsinβ公斤Pp————总横压力(公斤)P————单位横压力(公斤,厘米)Ppx,Ppy————横压力的水平分力,垂直分力(公斤)驱动齿轮的作用力:大小驱动齿轮在传动过程中,齿轮间便产生相互作用的力,圆周作用力与节圆相切,径向作用力的方向与齿轮的半径方向一致速比齿轮的作用力:在炼胶时前辊筒的扭矩是通过速比齿轮传动的,当速比很小时,两辊筒的扭矩相等,速比齿轮的扭矩之和即为大驱动齿轮扭矩Mk辊筒强度计算:2/3辊筒的强度计算包括:支反力、扭矩和危险断面强度的计算。在计算时,前后辊筒工作条件相似。为安全起见,看做后辊筒沿全长传递全部扭矩。一端要承受驱动齿轮的作用力,另一端又承受速比齿轮的作用力,其工作条件较前辊恶劣,一般只对后辊计算。1、辊筒支反力的计算计算辊筒的支反力是分别求出水平方向和垂直方向的,最后合成(1)水平方向支反力(2)垂直方向支反力(3)合成支反力2、剪应力计算3、辊筒的强度计算3/3根据辊筒的受力状态,是属于弯曲与扭转联合作用下的复合应力。根据力学中的强度理论,可按修正后的第二强度理论计算工作应力

1、当您付费下载文档后,您只拥有了使用权限,并不意味着购买了版权,文档只能用于自身使用,不得用于其他商业用途(如 [转卖]进行直接盈利或[编辑后售卖]进行间接盈利)。
2、本站所有内容均由合作方或网友上传,本站不对文档的完整性、权威性及其观点立场正确性做任何保证或承诺!文档内容仅供研究参考,付费前请自行鉴别。
3、如文档内容存在违规,或者侵犯商业秘密、侵犯著作权等,请点击“违规举报”。

碎片内容

开炼机辊筒受力研究分析

您可能关注的文档

文库当当响+ 关注
实名认证
内容提供者

该用户很懒,什么也没介绍

确认删除?
VIP
微信客服
  • 扫码咨询
会员Q群
  • 会员专属群点击这里加入QQ群
客服邮箱
回到顶部