电脑桌面
添加小米粒文库到电脑桌面
安装后可以在桌面快捷访问

弦长公式证明及的综述详解VIP免费

弦长公式证明及的综述详解_第1页
1/7
弦长公式证明及的综述详解_第2页
2/7
弦长公式证明及的综述详解_第3页
3/7
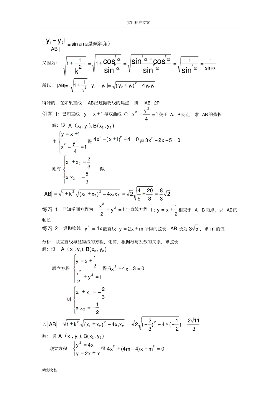
实用标准文案精彩文档弦长公式证明及应用详解公式为:|AB|2121xxk2122124)(1xxxxk和:|AB|=122121224)(||11yyyyyyk作用:应用弦长公式很方便,它所解决的问题是求直线与所有圆锥曲线所交弦的弦长,因为直线的斜率往往是已知的,这样再知道两个交点的横坐标或者纵坐标就可以直接利用公式求出来,如果不知道横纵坐标也可以直接把直线和圆锥曲线联立方程组,进而转化成一元二次方程利用韦达定理不用解方程代入公式直接求出弦长公式证明:证法一:若直线bkxyl:与圆锥曲线相交与A、B两点,),(),,2211yxByxA(则弦长221221)()(yyxxAB221221)]([)(bkxbkxxx2121xxk2122124)(1xxxxk其实用三角函数来证明也很简单方法如下证法二:表示倾斜角)(cos1111coscoscossintan222222k又因为:cos||||21ABxx所以||1||cos1cos||||2122121xxkxxxxAB2122124)(1xxxxk同理:|AB|=122121224)(||11yyyyyyk推导方法如下:实用标准文案精彩文档是倾斜角)(sin||||21AByy;又因为:sin111211sinsincossinsincos222222k所以:|AB|=122121224)(||11yyyyyyk特殊的,在如果直线AB经过抛物线的焦点,则|AB|=2P例题1:已知直线1xy与双曲线14:22yxC交于A、B两点,求AB的弦长解:设),(),,2211yxByxA(由14122yxxy得224(1)40xx得23250xx则有35322121xxxx得,2383209424)(1212212xxxxkAB练习1:已知椭圆方程为1222yx与直线方程21:xyl相交于A、B两点,求AB的弦长练习2:设抛物线xy42截直线mxy2所得的弦长AB长为53,求m的值分析:联立直线与抛物线的方程,化简,根据根与系数的关系,求弦长解:设),(),,2211yxByxA(联立方程122122yxxy得03462xx则21322121xxxx3112)21(4)32(24)(12212212xxxxkAB解:设),(),,2211yxByxA(联立方程:mxyxy242得0)44(422mxmx实用标准文案精彩文档则4122121mxxmxx53)1(54)(122212212mmxxxxkAB4m例题2:已知抛物线32xy上存在关于直线0yx对称相异的两点A、B,求弦长AB分析:A、B两点关于直线0yx对称,则直线AB的斜率与已知直线斜率的积为1(根据直线垂直斜率之积是-1)且AB的中点在已知直线上解:BA、关于0:yxl对称1ABlkk1lk1ABk设直线AB的方程为bxy,),(),,2211yxByxA(联立方程32xybxy化简得032bxx121xxAB中点)21,21(bM在直线0yx上1b022xx则212121xxxx238)1(24)(12212212xxxxkAB小结:在求直线与圆锥曲线相交的弦长时一般采用韦达定理设而不求的方法,在求解过程中一般采取步骤为:设点联立方程消元韦达定理弦长公式作业:(1)过抛物线24yx的焦点,作倾斜角为的直线交抛物线于A,B两点,且316AB,求的值(2)已知椭圆方程1222yx及点)2,0(B,过左焦点1F与B的直线交椭圆于C、D两点,2F为椭圆的右焦点,求2CDF的面积。弦长公式的应用1.弦长问题例1.已知点),,(和,03)03(BA动点C到A、B两点的距离之差的绝对值为2,点C的轨迹与直线y=x-2交于D、E两点,求线段DE的长。解:设点||||CACB2,根据双曲线的定义,可知点C的轨迹是双曲线实用标准文案精彩文档由,得,222231222acABab||故点C的轨迹方程是由,得xyyxxx222212460因为,所以直线与双曲线有两个交点。设xxxxDExxxxxx12122121221246112445,故,||||()2.求曲线的方程例2.已知点,抛物线C的顶点在原点,焦点在x轴正半轴上,直线与抛物线C交于两点,若成等比数列,求抛物线C的方程。解:设抛物线显然点A在直线上,由,得ypxyx2222ypxp220,所以yyp12,yyp122由图1,知yy1244,,实用标准文案精彩文档图1又1121124112444168241628212221221221212122||()()()()yyyyyyyyyyyypppppp,亦即,,解得或(舍去)故抛物线C的方程为。例3.已知F是定点,是定直线,点F到直线的距离为,点M在直线上滑动,动点N在MF延长线上,且满足,求动点N的轨迹方程。解:如图2所示,以点F为原点,过点F垂直于的直线为x轴建立直角坐标系。图2设由于根据公式,得实用标准文案精彩文档平方整理,得点N的轨迹方程为.3.范围问题例4.过椭圆的左焦点F且倾斜角为45°的直线与椭圆及其准线的交点从左至右依次为A、B、C、D,记,求的取值范围。图3解:由条件,知直线,AmmDmm()().,,,11设其中,则|||()|()||||()()||||||||..().ABxmxmCDmxmxfmABCDxxyxxmymmxmxmmm11211221112122025211222122222,,由得因为所以,fmmmmmm()22212221211211029423实用标准文案精彩文档练习:设双曲线的右顶点为A,P是双曲线上的一个动点(异于顶点)。从A引双曲线的两条渐近线的平行线与直线OP分别交于Q和R两点。图4(1)证明无论P点在什么位置,总有(O为坐标原点);(2)的取值范围。(答案:)

1、当您付费下载文档后,您只拥有了使用权限,并不意味着购买了版权,文档只能用于自身使用,不得用于其他商业用途(如 [转卖]进行直接盈利或[编辑后售卖]进行间接盈利)。
2、本站所有内容均由合作方或网友上传,本站不对文档的完整性、权威性及其观点立场正确性做任何保证或承诺!文档内容仅供研究参考,付费前请自行鉴别。
3、如文档内容存在违规,或者侵犯商业秘密、侵犯著作权等,请点击“违规举报”。

碎片内容

弦长公式证明及的综述详解

您可能关注的文档

文库响当当+ 关注
实名认证
内容提供者

该用户很懒,什么也没介绍

相关文档

确认删除?
VIP
微信客服
  • 扫码咨询
会员Q群
  • 会员专属群点击这里加入QQ群
客服邮箱
回到顶部