电脑桌面
添加小米粒文库到电脑桌面
安装后可以在桌面快捷访问

弹性力学模拟题新VIP免费

弹性力学模拟题新_第1页
1/34
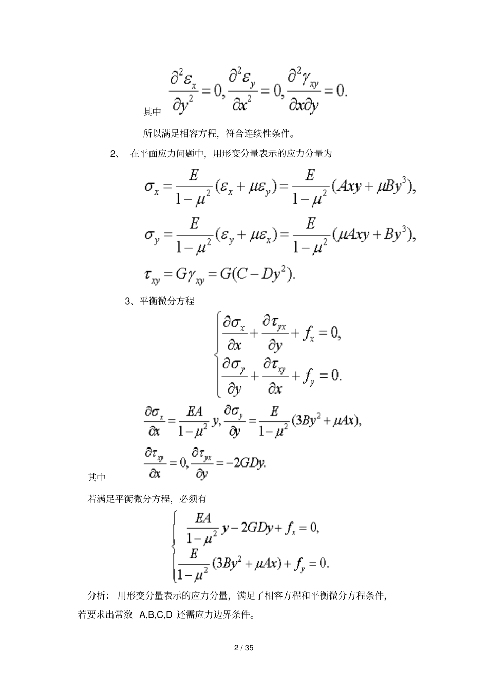
弹性力学模拟题新_第2页
2/34
弹性力学模拟题新_第3页
3/34
1/351-3五个基本假定在建立弹性力学基本方程时有什么用途?答:1、连续性假定:引用这一假定后,物体中的应力、应变和位移等物理量就可以看成是连续的,因此,建立弹性力学的基本方程时就可以用坐标的连续函数来表示他们的变化规律。2、完全弹性假定:引用这一完全弹性的假定还包含形变与形变引起的正应力成正比的含义,亦即二者成线性的关系,符合胡克定律,从而使物理方程成为线性的方程。3、均匀性假定:在该假定下,所研究的物体内部各点的物理性质显然都是相同的。因此,反映这些物理性质的弹性常数(如弹性模量E和泊松比μ等)就不随位置坐标而变化。4、各向同性假定:所谓“各向同性”是指物体的物理性质在各个方向上都是相同的。进一步地说,就是物体的弹性常数也不随方向而变化。5、小变形假定:我们研究物体受力后的平衡问题时,不用考虑物体尺寸的改变而仍然按照原来的尺寸和形状进行计算。同时,在研究物体的变形和位移时,可以将他们的二次幂或乘积略去不计,使得弹性力学中的微分方程都简化为线性微分方程。在上述假定下,弹性力学问题都化为线性问题,从而可以应用叠加原理。2-1已知薄板有下列形变关系:式中A,B,C,D皆为常数,试检查在形变过程中是否符合连续条件,若满足并列出应力分量表达式。解:1、相容条件:将形变分量带入形变协调方程(相容方程)2/35其中所以满足相容方程,符合连续性条件。2、在平面应力问题中,用形变分量表示的应力分量为3、平衡微分方程其中若满足平衡微分方程,必须有分析:用形变分量表示的应力分量,满足了相容方程和平衡微分方程条件,若要求出常数A,B,C,D还需应力边界条件。3/35例2-2如图所示为一矩形截面水坝,其右侧面受静水压力(水的密度为ρ),顶部受集中力P作用。试写出水坝的应力边界条件。解:根据在边界上应力与面力的关系左侧面:右侧面:上下端面为小边界面,应用圣维南原理,可列出三个积分的应力边界条件。上端面额面力向截面形心O简化,得到面力的主矢量和主矩分别为y=0坐标面,应力主矢量符号与面力主矢量符号相反;应力主矩与面力主矩的转向相反。所以下端面的面力向截面形心D简化,得到主矢量和主矩为4/35y=l坐标面,应力主矢量、主矩的符号与面力主矢量、主矩的符号相同。所以分析:1、与坐标轴平行的主要边界只能建立两个等式,而且与边界平行的应力分量不会出现。如在左、右侧面,不要加入或。2、在大边界上必须精确满足应力边界条件,当在小边界(次要边界)上无法精确满足时,可以应用圣维南原理使应力边界条件近似满足,使问题的求解大为简化。应力合成的主矢(主矩)符号的取法亦可用外力主矢(主矩)的方向判断,二者方向一致时去正号,反之取负号。5/352-8试列出题2-8图(a),题2-8图(b)所示问题的全部边界条件。在其端部边界上,应用圣维南原理列出三个积分的应力边界条件。解:图(a)图(b)1、对于图(a)的问题在主要边界上,应精确满足下列边界条件:在小边界(次要边界)上,能精确满足下列边界条件:在小边界(次要边界)上,有位移边界条件:这两个位移边界条件可以应用圣维南原理,改用三个积分的应力边界条件来代替,当板厚时,6/352、对于图(b)所示问题在主要边界上,应精确满足下列边界条件:在次要边界上,应用圣维南原理列出三个积分的应力边界条件,当板厚时,在小边界(次要边界)上,有位移边界条件:这两个位移边界条件可以应用圣维南原理,改用三个积分的应力边界条件来代替,7/352-17设有矩形截面的悬臂梁,在自由端受有集中荷载F,如题2-17所示,体力可以不计。根据材料力学公式,写出弯应力σx和切应力τxy的表达式,并取挤压应力σy=0,然后证明,这些表达式满足平衡微分方程和相容方程,再说明,这些表达式是否就表示正确的解答。解:1、矩形悬臂梁发生弯曲变形,任意横截面上的玩具方程为,横截面对z轴(中性轴)的惯性矩为,根据材料力学公式,弯应力;该截面上的剪力为,剪应力;并取挤压应力。8/352、经验证,上述表达式能满足平衡微分方衡也能满足相容方程再考察边界条件:在的主要边界上,应精确满足应力边界条件:能满足。在次要边界上,列出三个积分的应力边界条件...

1、当您付费下载文档后,您只拥有了使用权限,并不意味着购买了版权,文档只能用于自身使用,不得用于其他商业用途(如 [转卖]进行直接盈利或[编辑后售卖]进行间接盈利)。
2、本站所有内容均由合作方或网友上传,本站不对文档的完整性、权威性及其观点立场正确性做任何保证或承诺!文档内容仅供研究参考,付费前请自行鉴别。
3、如文档内容存在违规,或者侵犯商业秘密、侵犯著作权等,请点击“违规举报”。

碎片内容

弹性力学模拟题新

您可能关注的文档

确认删除?
VIP
微信客服
  • 扫码咨询
会员Q群
  • 会员专属群点击这里加入QQ群
客服邮箱
回到顶部