电脑桌面
添加小米粒文库到电脑桌面
安装后可以在桌面快捷访问

整式的加减 (2)VIP免费

整式的加减 (2)_第1页
1/10
整式的加减 (2)_第2页
2/10
整式的加减 (2)_第3页
3/10
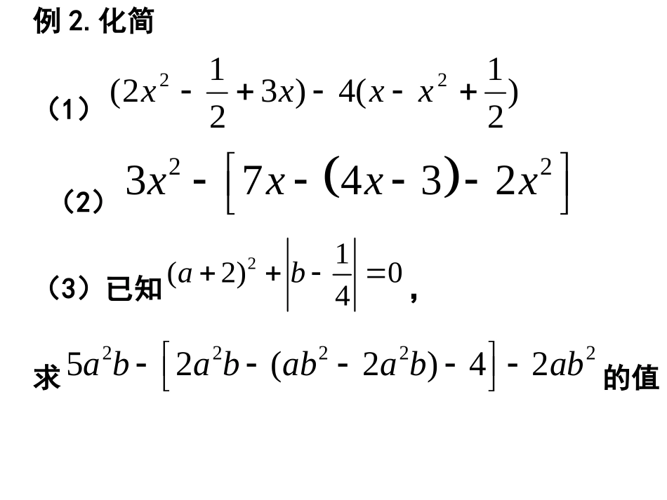
整式的加减例1:求整式x2―7x―2与―2x2+4x―1的差.例2.化简(1))21(4)3212(22xxxx(2)2237432xxxx(3)已知21(2)04ab,求2222252(2)42ababababab的值(4)已知4,ab求多项式22119542abababba的值(5)51abab已知,,求多项式232(4)(322)abababababba()的值.例3.任意取一个两位数,交换个位数字和十位数字的位置得到一个新的两位数,这两个两位数的差是否能够9整除?再研究这两个两位数的和的特点.例4.有这一道题:已知222223Aabc,22232Babc,22223Ccab,当1,2,3abc时,求ABC的值,有一个学生指出,题目中给出的2,3bc是多余的,他的说法有没有道理?为什么?三变:已知,求x23x一变:已知,求x2x(1)已知,求x2x二变:已知,求x23x例5、有关绝对值的问题(2)填空(1)如m<0,那么,;25____0,____0mm_____mm(2)若,则m=_______;若,则m_______0;3mmmm(3)38,38xxx若化简(4)已知0,0,0,,,abccabc且化简acbcab练习:1.求多项式222(3)2(21)31xyxyxxyxyx的值,其中x=-4,y=3。2.一个多项式A减去多项式225aa,小文误将减号写成了加号,运算结果为241aa,则多项式A为多少?3.有两个多项式:22241,2(2)3AaaBaa,当a取任意有理数时,请比较A与B的大小.4.若22347,33AxyxyxBxyxyx,且3AB与x无关,求y与A-3B的值。5.当a>0,b<0时,化简|5-b|+|b-2a|+|1+a|.

1、当您付费下载文档后,您只拥有了使用权限,并不意味着购买了版权,文档只能用于自身使用,不得用于其他商业用途(如 [转卖]进行直接盈利或[编辑后售卖]进行间接盈利)。
2、本站所有内容均由合作方或网友上传,本站不对文档的完整性、权威性及其观点立场正确性做任何保证或承诺!文档内容仅供研究参考,付费前请自行鉴别。
3、如文档内容存在违规,或者侵犯商业秘密、侵犯著作权等,请点击“违规举报”。

碎片内容

整式的加减 (2)

精品文库+ 关注
实名认证
内容提供者

小学学习各类资料大全

相关文档

相关标签

确认删除?
VIP
微信客服
  • 扫码咨询
会员Q群
  • 会员专属群点击这里加入QQ群
客服邮箱
回到顶部