电脑桌面
添加小米粒文库到电脑桌面
安装后可以在桌面快捷访问

山西省朔州市平鲁区李林中学高三数学《17 对数运算练习》小练习 理VIP免费

山西省朔州市平鲁区李林中学高三数学《17 对数运算练习》小练习 理_第1页
1/2
山西省朔州市平鲁区李林中学高三数学《17 对数运算练习》小练习 理_第2页
2/2
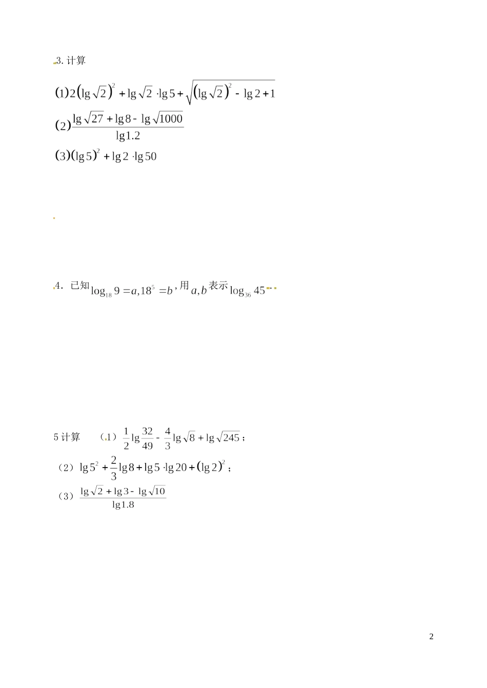
山西省朔州市平鲁区李林中学高三理科数学《编号17对数运算练习》小练习1.若,则x的值为。2.设,则得值为。3.已知。4.。5..,则a=6.三、解答题1.求x的值:(1);(2);(3);(4);(5)2.计算:(1)(2)设的值13.计算4.已知,用表示.5计算(1);(2);(3)2

1、当您付费下载文档后,您只拥有了使用权限,并不意味着购买了版权,文档只能用于自身使用,不得用于其他商业用途(如 [转卖]进行直接盈利或[编辑后售卖]进行间接盈利)。
2、本站所有内容均由合作方或网友上传,本站不对文档的完整性、权威性及其观点立场正确性做任何保证或承诺!文档内容仅供研究参考,付费前请自行鉴别。
3、如文档内容存在违规,或者侵犯商业秘密、侵犯著作权等,请点击“违规举报”。

碎片内容

山西省朔州市平鲁区李林中学高三数学《17 对数运算练习》小练习 理

您可能关注的文档

确认删除?
VIP
微信客服
  • 扫码咨询
会员Q群
  • 会员专属群点击这里加入QQ群
客服邮箱
回到顶部