电脑桌面
添加小米粒文库到电脑桌面
安装后可以在桌面快捷访问

河北省定州市高三数学下学期周练试题(承智班,5.15)-人教版高三全册数学试题VIP免费

河北省定州市高三数学下学期周练试题(承智班,5.15)-人教版高三全册数学试题_第1页
1/15
河北省定州市高三数学下学期周练试题(承智班,5.15)-人教版高三全册数学试题_第2页
2/15
河北省定州市高三数学下学期周练试题(承智班,5.15)-人教版高三全册数学试题_第3页
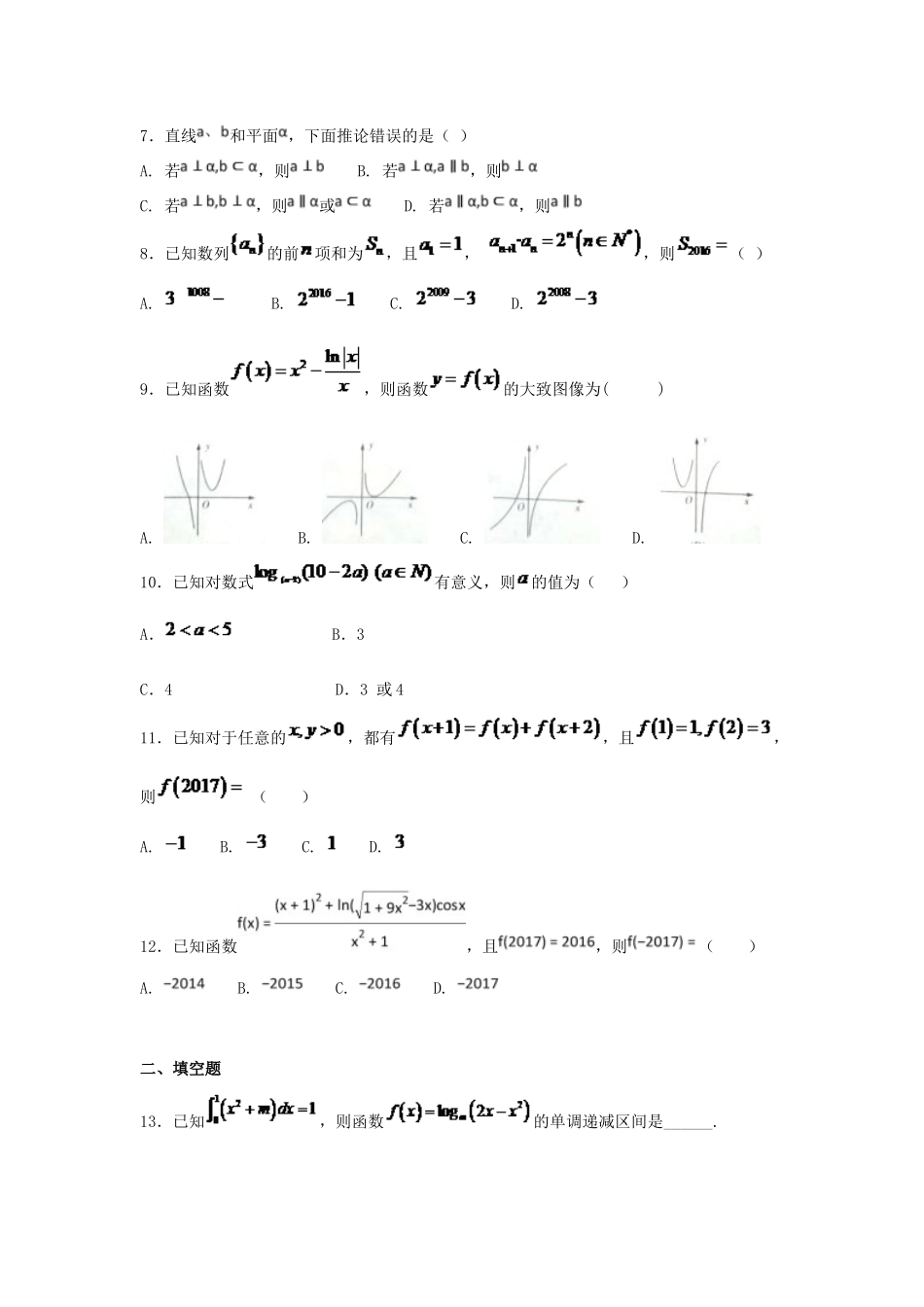
3/15
2016-2017学年第二学期高三承智班数学周练试题(5.15)一、选择题1.在展开式中,二项式系数的最大值为,含项的系数为,则()A.B.C.D.2.已知(其中为的共轭复数,为虚数单位),则复数的虚部为()A.B.C.D.3.已知集合,则()A.B.C.D.4.“”是“函数为奇函数的”()A.充分而不必要条件B.必要而不充分条件C.充分必要条件D.既不充分也不必要条件5.已知平面向量,,若,则实数()A.2B.﹣2C.4D.﹣46.已知集合,,则()A.B.C.D.7.直线和平面,下面推论错误的是()A.若,则B.若,则C.若,则或D.若,则8.已知数列的前项和为,且,,则()A.B.C.D.9.已知函数,则函数的大致图像为()A.B.C.D.10.已知对数式有意义,则的值为()A.B.3C.4D.3或411.已知对于任意的,都有,且,则()A.B.C.D.12.已知函数,且,则()A.B.C.D.二、填空题13.已知,则函数的单调递减区间是______.14.已知,,则=___________.15.在的展开式中,含项的系数为__________.16.在边长为1的正三角形中,设,,则__________.三、解答题17.已知函数.(1)当时,求在区间上的最值;(2)讨论函数的单调性;(3)当时,有恒成立,求的取值范围.18.已知等比数列的各项均为正数,,公比为等差数列中,,且的前项和为,,.(Ⅰ)求与的通项公式;(Ⅱ)设数列满足,求的前项和.19.的内角,,的对边分别为,,,已知.(Ⅰ)求角的大小;(Ⅱ)若边上的高等于,求的值.20.已知椭圆的左、右焦点分别为,离心率为,直线与的两个交点间的距离为.(Ⅰ)求椭圆的方程;(Ⅱ)分别过作满足,设与的上半部分分别交于两点,求四边形面积的最大值.参考答案1.D【解析】试题分析:由题意,得,,所以,故选D.考点:二项式定理.2.B【解析】因为,所以,,的虚部为.选B.3.C【解析】试题分析:结合集合,,指的是到之间的实数,所以.考点:集合的运算.4.A【解析】试题分析:函数为奇函数,则当时,,即,因此“”是“函数为奇函数”的充分不必要条件,故选A.考点:1.三角函数的奇偶性;2.充分必要条件5.B【解析】因为,,所以,解得,故选B.6.B【解析】因为,所以,应选答案B。7.D【解析】A项,由线面垂直的定义可得正确;B项,直线可以通过平移重合,故正确;C项,若,则在平面内或者,故正确;因此选D.点睛:本题考查空间立体几何的线线垂直,线面垂直以及线线平行和线面平行的判定定理和性质定理,属于基础题目.做好此类题目,需要记熟定义定理以及公式,并能够熟练应用.8.A【解析】 数列{an}满足a1=1,an+1⋅an=2n(n∈N∗),∴a2⋅a1=2,解得a2=2.当n2⩾时,,∴数列{an}的奇数项与偶数项分别成等比数列,公比为2.则.本题选择A选项.9.A【解析】函数的定义域为,,则为非奇非偶函数,排除B,C选项,当时,,当时,,故选择A.10.C【解析】试题分析:要使对数式有意义,必须满足:,解得:而,故.故选:C.考点:函数的定义域及其求法;对数的概念.11.C【解析】由可得,则即:,取x为x+3,则,则周期为6,所以==1点睛:先根据函数变形得周期为6是解题关键,然后再将2017除以周期看余数是多少再求解即可12.A【解析】,设,则,所以为奇函数,,所以,则,因此,故选择A.方法点睛:本题主要考查利用函数的奇偶性求函数值问题,首先通过分离常数得到,然后根据函数,为奇函数,为偶函数,可以得到为奇函数,利用奇函数关于原点对称,即,可以求出函数值.13.【解析】试题分析: ,∴,解得:,故,令,令,解得,而在对称轴,故在递增,故在递减,故答案为:.考点:函数的单调性及单调区间.14.【解析】试题分析:,故填.考点:1.两角和与差公式;2.二倍角公式.15.【解析】因为,所以项只能在中出现,由二项式展开式的通项公式可知当时即为的系数,所以的系数为,应填答案。16.【解析】由题意得,建立如图所示的直角坐标系,因为的边长为,因为,所以点为的中点,则,因为,所以点为的三等分点,则,所以.17.(1),;(2)当时,在单调递增,当时,在单调递增,在上单调递减,当时,在单调递减;(3).【解析】试题分析:(1)在的最值只能在和区间的两个端点取到,因此,通过算出上述点并比较其函数值可得函数在的最...

1、当您付费下载文档后,您只拥有了使用权限,并不意味着购买了版权,文档只能用于自身使用,不得用于其他商业用途(如 [转卖]进行直接盈利或[编辑后售卖]进行间接盈利)。
2、本站所有内容均由合作方或网友上传,本站不对文档的完整性、权威性及其观点立场正确性做任何保证或承诺!文档内容仅供研究参考,付费前请自行鉴别。
3、如文档内容存在违规,或者侵犯商业秘密、侵犯著作权等,请点击“违规举报”。

碎片内容

河北省定州市高三数学下学期周练试题(承智班,5.15)-人教版高三全册数学试题

您可能关注的文档

远洋启航书店+ 关注
实名认证
内容提供者

从事历史教学,热爱教育,高度负责。

相关文档

确认删除?
VIP
微信客服
  • 扫码咨询
会员Q群
  • 会员专属群点击这里加入QQ群
客服邮箱
回到顶部