电脑桌面
添加小米粒文库到电脑桌面
安装后可以在桌面快捷访问

高考数学一轮复习 专题17 同角三角函数的基本关系与诱导公式押题专练 文-人教版高三全册数学试题VIP免费

高考数学一轮复习 专题17 同角三角函数的基本关系与诱导公式押题专练 文-人教版高三全册数学试题_第1页
1/3
高考数学一轮复习 专题17 同角三角函数的基本关系与诱导公式押题专练 文-人教版高三全册数学试题_第2页
2/3
高考数学一轮复习 专题17 同角三角函数的基本关系与诱导公式押题专练 文-人教版高三全册数学试题_第3页
3/3
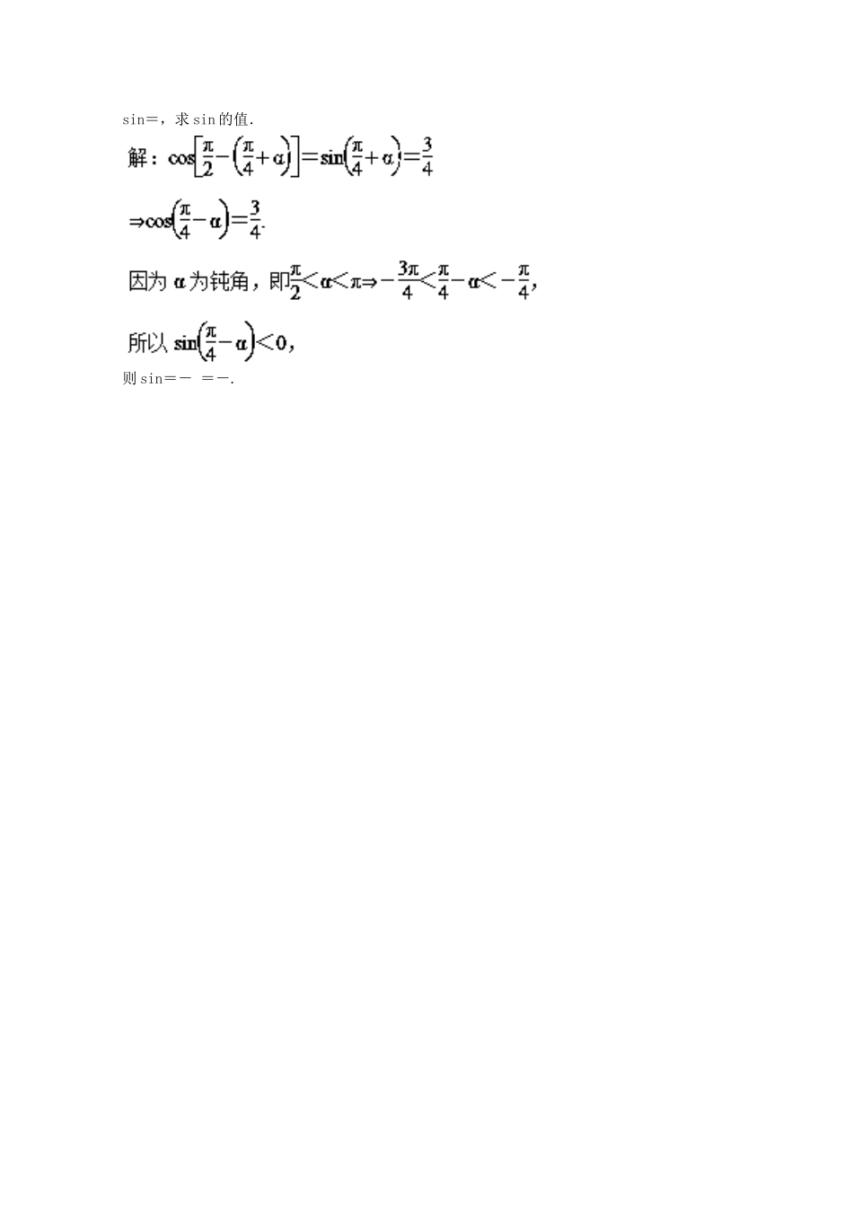
专题17同角三角函数的基本关系与诱导公式1.已知cosα=k,k∈R,α∈,则sin(π+α)=()A.-B.C.±D.-k解析:由cosα=k,α∈得sinα=,∴sin(π+α)=-sinα=-.答案:A2.已知α为锐角,且tan(π-α)+3=0,则sinα的值是()A.B.C.D.答案:B3.已知tanα=-,则sin2α=()A.B.-C.-D.解析:sin2α====-.答案:B4.已知α和β的终边关于直线y=x对称,且β=-,则sinα等于()A.-B.C.-D.解析:因为α和β的终边关于直线y=x对称,所以α+β=2kπ+(k∈Z).又β=-,所以α=2kπ+(k∈Z),即得sinα=.答案:D5.已知sin(π-α)=log4,且α∈,则tan(2π-α)的值为()A.-B.C.±D.6.若θ∈,sin2θ=,则sinθ的值是()A.B.C.D.解析:由θ∈,知sinθ+cosθ>0,sinθ-cosθ>0.又(sinθ+cosθ)2=1+2sinθcosθ=,(sinθ-cosθ)2=1-2sinθcosθ=,∴sinθ+cosθ=,且sinθ-cosθ=,从而sinθ=.答案:C7.若sinθcosθ=,则tanθ+的值是________.解析:tanθ+=+==2.答案:28.直线2x-y+1=0的倾斜角为θ,则的值为________.解析:由题意可知,tanθ=2,则===.答案:9.已知θ为锐角,且sin(θ-)=,则tan2θ=________.解析:由已知sin=得sinθ-cosθ=,再由θ为锐角且sin2θ+cos2θ=1,得sinθ=,cosθ=,所以tanθ=,tan2θ===-.答案:-10.已知sin(3π+α)=2sin,求下列各式的值:(1);(2)sin2α+sin2α.11.已知α为钝角,sin=,求sin的值.则sin=-=-.

1、当您付费下载文档后,您只拥有了使用权限,并不意味着购买了版权,文档只能用于自身使用,不得用于其他商业用途(如 [转卖]进行直接盈利或[编辑后售卖]进行间接盈利)。
2、本站所有内容均由合作方或网友上传,本站不对文档的完整性、权威性及其观点立场正确性做任何保证或承诺!文档内容仅供研究参考,付费前请自行鉴别。
3、如文档内容存在违规,或者侵犯商业秘密、侵犯著作权等,请点击“违规举报”。

碎片内容

高考数学一轮复习 专题17 同角三角函数的基本关系与诱导公式押题专练 文-人教版高三全册数学试题

确认删除?
VIP
微信客服
  • 扫码咨询
会员Q群
  • 会员专属群点击这里加入QQ群
客服邮箱
回到顶部