电脑桌面
添加小米粒文库到电脑桌面
安装后可以在桌面快捷访问

浙江省嘉兴一中11-12学年高一数学10月月考试题新人教A版【会员独享】VIP免费

浙江省嘉兴一中11-12学年高一数学10月月考试题新人教A版【会员独享】_第1页
1/9
浙江省嘉兴一中11-12学年高一数学10月月考试题新人教A版【会员独享】_第2页
2/9
浙江省嘉兴一中11-12学年高一数学10月月考试题新人教A版【会员独享】_第3页
3/9
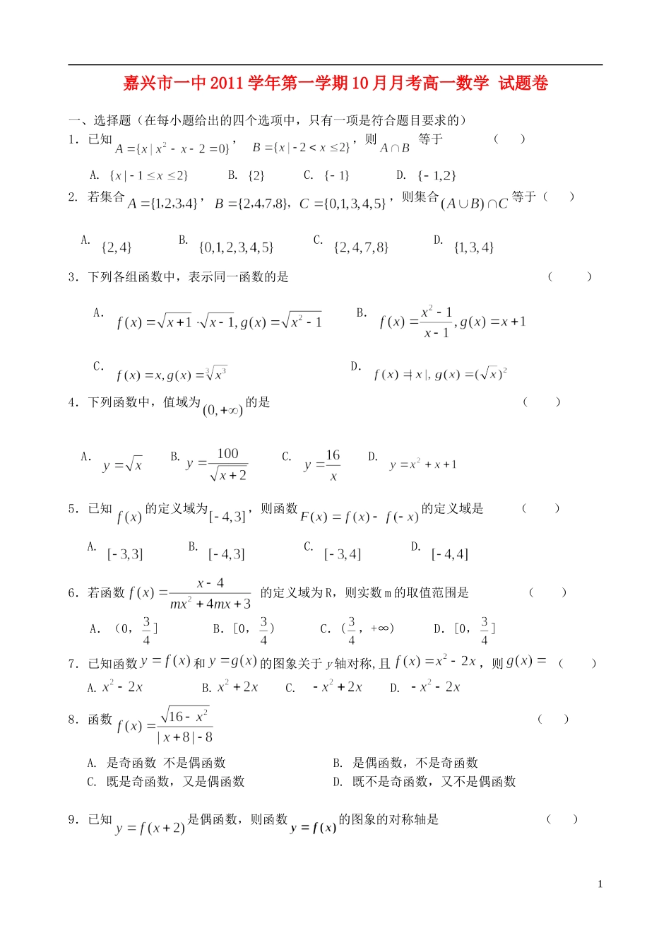
嘉兴市一中2011学年第一学期10月月考高一数学试题卷一、选择题(在每小题给出的四个选项中,只有一项是符合题目要求的)1.已知,,则等于()A.B.C.D.2.若集合,,则集合等于()A.B.C.D.3.下列各组函数中,表示同一函数的是()A.B.C.D.4.下列函数中,值域为的是()A.B.C.D.5.已知的定义域为,则函数的定义域是()A.B.C.D.6.若函数的定义域为R,则实数m的取值范围是()A.(0,]B.[0,)C.(,+∞)D.[0,]7.已知函数和的图象关于y轴对称,且,则()A.B.C.D.8.函数()A.是奇函数不是偶函数B.是偶函数,不是奇函数C.既是奇函数,又是偶函数D.既不是奇函数,又不是偶函数9.已知是偶函数,则函数的图象的对称轴是()1A.B.C.D.10.奇函数在上为增函数,且,则不等式的解集为()A.B.C.D.二、填空题(本大题共6小题,每小题3分,共18分.把答案填在答卷中相应横线上)11.若全集,,,则=.高考资源网12.如图,函数的图象是折线段,其中点的坐标分别为,则.13.若则=14.函数满足:,则的最小值为.高考资源网15.奇函数当时,则当时,=____三、解答题(本大题共6小题,共46分,解答应写出文字说明,证明过程和演算步骤)16.(本题满分6分)已知全集,,,若,,求.217.已知集合,.(1)求;(2)若,求的取值范围。18.已知函数,且对任意的实数都有成立.(1)求实数的值;(2)利用单调性的定义证明函数在区间上是增函数.319.如图,有一块矩形空地,要在这块空地上辟一个内接四边形为绿地,使其四个顶点分别落在矩形的四条边上,已知AB=(>2),BC=2,且AE=AH=CF=CG,设AE=,绿地面积为.(1)写出关于的函数关系式,并指出这个函数的定义域.(2)当AE为何值时,绿地面积最大?20.已知函数对一切实数都有成立,且(1)求的值;(2)求的解析式;(3)已知,设:当时,不等式恒成立;:当时,是单调函数。如果满足成立的的集合记为,满足成立的的集合记为,求∩(为全集)。嘉兴一中2011学年高一第一学期10月月考4●●●●●●●●●●●●●●●●●●●●●●●●●●●●●●●●●●●●●●●●●●●●●●●●密封线班级学号姓名(密封线内不要答题)●●●●●●●●●●●●●●●●●●●●●●●●●●●●●●●●●●●●●●●●●●●●●●●●DAEBFCGH高一数学答题卷一、选择题:(涂在答题卡上)二、填空题:11.12.13.14.15.三、解答题:16.17.18.519.20.6参考答案一、选择题1-5DDCBA6-10BBAAA二、填空题11。{3,6}12。213。-114。15。三、解答题16,17。解析:(1);;(2)若,a>3.718.解析:(1)由f(1+x)=f(1-x)得,(1+x)2+a(1+x)+b=(1-x)2+a(1-x)+b,整理得:(a+2)x=0,由于对任意的x都成立,∴a=-2.(2)根据(1)可知f(x)=x2-2x+b,下面证明函数f(x)在区间[1,+∞上是增函数.设,则=()-()=()-2()=()(-2)∵,则>0,且-2>2-2=0,∴>0,即,故函数f(x)在区间[1,+∞上是增函数.19。(1)SΔAEH=SΔCFG=x2,SΔBEF=SΔDGH=(-x)(2-x)∴y=SABCD-2SΔAEH-2SΔBEF=2-x2-(-x)(2-x)=-2x2+(+2)x由,得∴y=-2x2+(+2)x,0

1、当您付费下载文档后,您只拥有了使用权限,并不意味着购买了版权,文档只能用于自身使用,不得用于其他商业用途(如 [转卖]进行直接盈利或[编辑后售卖]进行间接盈利)。
2、本站所有内容均由合作方或网友上传,本站不对文档的完整性、权威性及其观点立场正确性做任何保证或承诺!文档内容仅供研究参考,付费前请自行鉴别。
3、如文档内容存在违规,或者侵犯商业秘密、侵犯著作权等,请点击“违规举报”。

碎片内容

浙江省嘉兴一中11-12学年高一数学10月月考试题新人教A版【会员独享】

您可能关注的文档

慧源书店+ 关注
实名认证
内容提供者

从事历史教学,热爱教育,高度负责。

确认删除?
微信客服
  • 扫码咨询
会员Q群
  • 会员专属群点击这里加入QQ群