电脑桌面
添加小米粒文库到电脑桌面
安装后可以在桌面快捷访问

江苏省运河中学08届高三数学二轮周练(Ⅰ)苏教版VIP免费

江苏省运河中学08届高三数学二轮周练(Ⅰ)苏教版_第1页
1/7
江苏省运河中学08届高三数学二轮周练(Ⅰ)苏教版_第2页
2/7
江苏省运河中学08届高三数学二轮周练(Ⅰ)苏教版_第3页
3/7
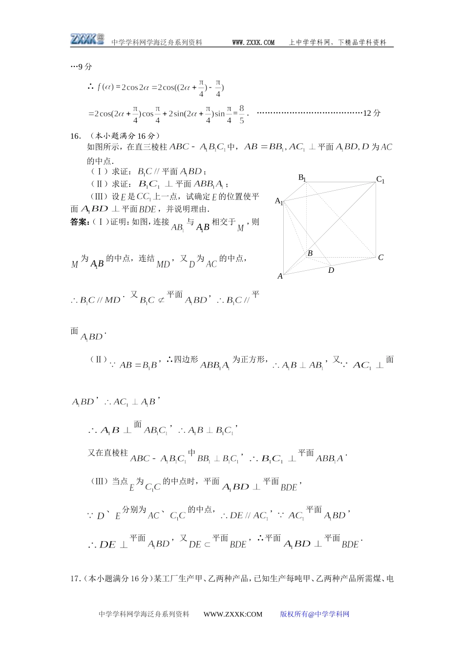
中学学科网学海泛舟系列资料WWW.ZXXK.COM上中学学科网,下精品学科资料江苏省运河中学08届高三二轮周练<Ⅰ>姓名:班级:2008-2-19这是我校实验班的第一次周练,用后学生反应较好,欢迎下载。时间为120分钟。一.填空题(共70分):1.设二次函数在上有最大值4,则实数a的值为答案:或2.已知等差数列{}中,,若且,则m=.答案:163.在一个袋子中装有分别标注数字1,2,3,4,5的五个小球,这些小球除标注的数字外完全相同.现从中随机取出两个小球,则取出的小球上标注的数字之和为5或7的概率是★.答案:4.用一些棱长是1cm的小正方体码放成一个几何体,图1为其俯视图,图2为其主视图,则这个几何体的体积最多是▲7cm3.图1(俯视图)图2(主视图)答案:75.为了了解高三学生的身体状况.抽取了部分男生的体重,将所得的数据整理后,画出了频率分布直方图(如图),已知图中从左到右的前3个小组的频率之比为1︰2︰3,第2小组的频数为12,则抽取的男生人数是▲.答案:486.若关于x的方程:有两个不相等的实数解,则实数的取值范围:_______________.答案:7.如图是从事网络工作者经常用来解释网络运作的蛇形模型:数字1出现在第1行;数字2,3出现在第2行;数字6,5,4(从左至右)出现在第3行;数字7,8,9,10出现在第4行;依此类推.则第99行从左至右算第67个数字为答案:488411.如图,△是等腰直角三角形,,以中学学科网学海泛舟系列资料WWW.ZXXK:COM版权所有@中学学科网体重505560657075频率组距0.03750.0125中学学科网学海泛舟系列资料WWW.ZXXK.COM上中学学科网,下精品学科资料为直角边作等腰直角三角形△,再以为直角边作等腰直角三角形△,如此继续下去得等腰直角三角形△…….则△的面积为.答案:12812.给定(n∈N*),定义乘积为整数的k(k∈N*)叫做“理想数”,则区间[1,2008]内的所有理想数的和为▲.答案:2026.13.某保险公司新开设了一项保险业务,若在一年内事件E发生,该公司要赔偿a元.设在一年内E发生的概率为p,为使公司收益的期望值等于a的百分之二十,公司应要求顾客交保险金为_________________答案:(0.1+p)a14.已知,且方程无实数根,下列命题:①方程也一定没有实数根;②若,则不等式对一切实数都成立;③若,则必存在实数,使④若,则不等式对一切实数都成立.中,正确命题的序号是.(把你认为正确的命题的所有序号都填上)答案:①②④二、解答题(本大题共6小题,共90分,解答应写出文字说明、证明过程或演算步骤)15.(本小题满分12分)已知向量,,记.(1)求f(x)的解析式并指出它的定义域;(2)若,且,求.答案:(1) ,∴…………………………………………2分.……………4分定义域为.………………………………………………………………6分(2)因,即>0,故为锐角,于是.………………………………………………中学学科网学海泛舟系列资料WWW.ZXXK:COM版权所有@中学学科网中学学科网学海泛舟系列资料WWW.ZXXK.COM上中学学科网,下精品学科资料…9分∴==.…………………………………12分16.(本小题满分16分)如图所示,在直三棱柱中,平面为的中点.(Ⅰ)求证:平面;(Ⅱ)求证:平面;(Ⅲ)设是上一点,试确定的位置使平面平面,并说明理由.答案:(Ⅰ)证明:如图,连接与BA1相交于,则为BA1的中点,连结,又为的中点,.又平面,平面.(Ⅱ),∴四边形为正方形,,又面,,面,,又在直棱柱中,平面.(Ⅲ)当点为的中点时,平面平面,、分别为、的中点,,平面,平面,又平面,∴平面平面.17.(本小题满分16分)某工厂生产甲、乙两种产品,已知生产每吨甲、乙两种产品所需煤、电中学学科网学海泛舟系列资料WWW.ZXXK:COM版权所有@中学学科网C1B1A1DCBA中学学科网学海泛舟系列资料WWW.ZXXK.COM上中学学科网,下精品学科资料力、劳动力、获得利润及每天资源限额(最大供应量)如下表所示:产品消耗量资源甲产品(每吨)乙产品(每吨)资源限额(每天)煤(t)94360电力(kw·h)45200劳力(个)310300利润(万元)612问:每天生产甲、乙两种产品各多少吨,获得利润总额最大?解答:设此工厂应分别生产甲、乙两种产品x吨y吨,...

1、当您付费下载文档后,您只拥有了使用权限,并不意味着购买了版权,文档只能用于自身使用,不得用于其他商业用途(如 [转卖]进行直接盈利或[编辑后售卖]进行间接盈利)。
2、本站所有内容均由合作方或网友上传,本站不对文档的完整性、权威性及其观点立场正确性做任何保证或承诺!文档内容仅供研究参考,付费前请自行鉴别。
3、如文档内容存在违规,或者侵犯商业秘密、侵犯著作权等,请点击“违规举报”。

碎片内容

江苏省运河中学08届高三数学二轮周练(Ⅰ)苏教版

您可能关注的文档

慧源书店+ 关注
实名认证
内容提供者

从事历史教学,热爱教育,高度负责。

确认删除?
VIP
微信客服
  • 扫码咨询
会员Q群
  • 会员专属群点击这里加入QQ群
客服邮箱
回到顶部