电脑桌面
添加小米粒文库到电脑桌面
安装后可以在桌面快捷访问

新编英语语法教程主要章节语法术语VIP免费

新编英语语法教程主要章节语法术语_第1页
1/18
新编英语语法教程主要章节语法术语_第2页
2/18
新编英语语法教程主要章节语法术语_第3页
3/18
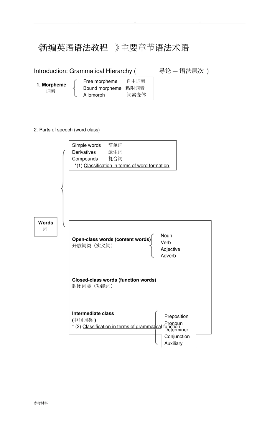
......参考材料《新编英语语法教程》主要章节语法术语Introduction:GrammaticalHierarchy(导论—语法层次)2.Partsofspeech(wordclass)1.Morpheme词素Freemorpheme自由词素Boundmorpheme粘附词素Allomorph词素变体Words词Simplewords简单词Derivatives派生词Compounds复合词*(1)ClassificationintermsofwordformationOpen-classwords(contentwords)开放词类(实义词)Closed-classwords(functionwords)封闭词类(功能词)Intermediateclass(中间词类)*(2)ClassificationintermsofgrammaticalfunctionNounVerbAdjectiveAdverbPrepositionPronounDeterminerConjunctionAuxiliary......参考材料3.Phrases词组4.Clause分句5.Sentence句子NumeralsInterjectionNounphraseVerbphraseAdjectivephraseAdverbphrasePrepositionphraseConjunction(1)Independentclause&Subordinateclause独立分句和从属分句(2)Simpleclause&Complexclause(*complexsentence)简单分句和复杂分句(*复杂句)(3)Mainclause&Subordinateclause主句和从句(4)Finiteclause,non-finiteclauseandVerblessclause限定分句、非限定分句、无动词分句(1)Fullsentence&Minorsentence完全句和不完全句(2)Simplesentence,Compoundsentence,Complexsentence&Compoundcomplexsentence简单句、并列句、复杂句、并列复杂句(3)Declarativesentence,imperativesentence,interrogativesentence,exclamatorysentence......参考材料Lecture1SentenceStructure(L1)Sentenceelements:S(subject)主语V(predicateverb)谓语动词O(object)宾语C(complement)补足语A(Adverbial)状语1.Twowaysofsentenceanalysis1)SVOSentenceClauseNPVPNPSubjectPredicateverbObjectAllthemanhavedonetheirbest.Sentence=Subject+Predicate(PredicateVerb+Object,Complement,Adverbial,etc.)句子由主语和谓语构成,进一步把谓语剖析为谓语动词、宾语、补语、状语等。2)Subject+Predicate(=operator+predication)SentenceClauseSubjectPredicate......参考材料OperatorPredicationAllthemanhavedonetheirbest.句子由主语和谓语构成,进一步把谓语剖析为操作词(operator)和述谓成分(predication)。2.BasicclausetypesSVC,SV,SVA,SVO,SVOA,SVOC,SVoOLecture2Subject-VerbConcord(L2-3)Guidingprinciples:GrammaticalConcordNotionalConcordPrincipleofProximity语法一致原则意义一致原则就近原则NominalclauseNon-finiteclauseRelativeclauseCleftsentenceExistentialclause名词性分句非限定分句关系分句分裂句存在句Lecture3NounandNounPhrase(L4-5)1.Classificationofnouns......参考材料Partitive(UnitNoun)单位词2.CasesofNounsNominativecase/Subjectivecase(主格)Accusativecase/Objectivecase(宾格)Genitivecase(属格)/Possessivecase(所有格)Dativecase(受事格/与格)GenitivecaseGenitivecasesspecifyingthereferenceofthenounphrase.Specificreference(特指)Genericreference(类指)Indefinitegenitivephrase(非确定特指)Lecture4Determiner(L6-7)1.DefinitionDeterminersarefunctionwordswhichareusedtodetermineorfixthereferenceofanoun.IndependentGenitiveDoubleGenitive......参考材料2.Classification3.ArticlesArticleisamajorgroupofdeterminersusedtodelimitthescopeofreferenceofnouns(主要用来限定名词的指称范围).*p.74,7.1.3,冠词的确定特指(definitespecificreference)分为前照应特指(cataphoricspecificreference)、后照应特指(anaphoricspecificreference)和语境特指(situationalreference),这与后面......参考材料的代词照应(pronounreferencep.104,9.3)在术语上略有不同。Lecture5Pronoun(L8-9)1.ClassificationAntecedent先行词2.Theuseofreflexivepronoun(-self)3.Pronounreference(代词照应)前照应(Cataphoricreference)、后照应(Anaphoricreference)、语境照应(Situationalreference)、人称照应(Personalreference)、指示照应(Demonstrativereference)......参考材料Lecture6Ver...

1、当您付费下载文档后,您只拥有了使用权限,并不意味着购买了版权,文档只能用于自身使用,不得用于其他商业用途(如 [转卖]进行直接盈利或[编辑后售卖]进行间接盈利)。
2、本站所有内容均由合作方或网友上传,本站不对文档的完整性、权威性及其观点立场正确性做任何保证或承诺!文档内容仅供研究参考,付费前请自行鉴别。
3、如文档内容存在违规,或者侵犯商业秘密、侵犯著作权等,请点击“违规举报”。

碎片内容

新编英语语法教程主要章节语法术语

您可能关注的文档

文库响当当+ 关注
实名认证
内容提供者

该用户很懒,什么也没介绍

确认删除?
VIP
微信客服
  • 扫码咨询
会员Q群
  • 会员专属群点击这里加入QQ群
客服邮箱
回到顶部