电脑桌面
添加小米粒文库到电脑桌面
安装后可以在桌面快捷访问

电力系统继电保护试题_百度文库汇总VIP免费

电力系统继电保护试题_百度文库汇总_第1页
1/9
电力系统继电保护试题_百度文库汇总_第2页
2/9
电力系统继电保护试题_百度文库汇总_第3页
3/9
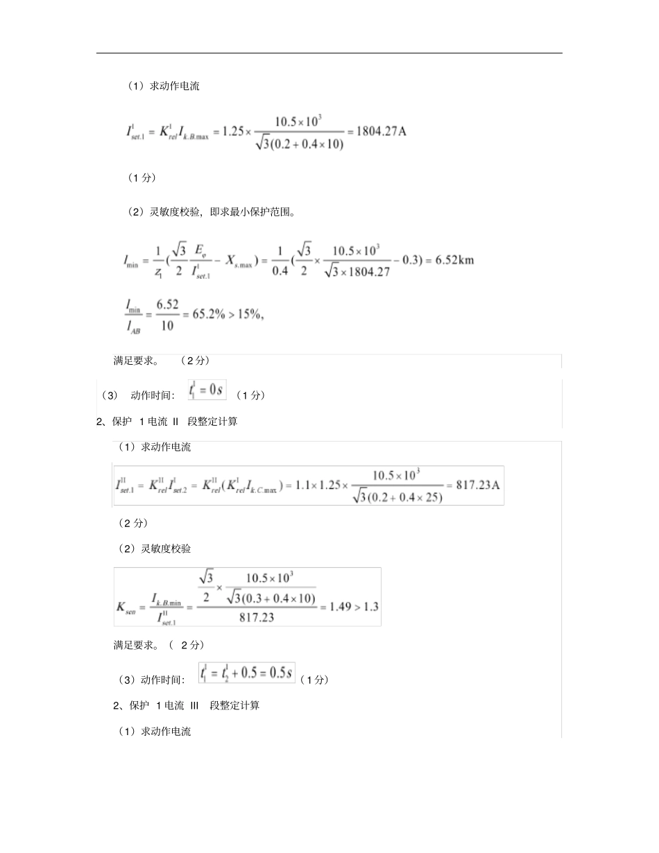
1、填空题(每空1分,共18分)1、电力系统发生故障时,继电保护装置应将故障部分切除,电力系统出现不正常工作时,继电保护装置一般应发出信号。2、继电保护的可靠性是指保护在应动作时不拒动,不应动作时不误动。3、瞬时电流速断保护的动作电流按大于本线路末端的最大短路电流整定,其灵敏性通常用保护范围的大小来表示。4、距离保护是反应故障点到保护安装处的距离,并根据距离的远近确定动作时间的—种保护。5、偏移圆阻抗继电器、方向圆阻抗继电器和全阻抗继电器中,方向圆阻抗继电器受过渡电阻的影响最大,全阻抗继电器受过渡电阻的影响最小。6、线路纵差动保护是通过比较被保护线路首末端电流的大小和相位的原理实现的,因此它不反应外部故障。二、单项选择题(每题1分,共12分)1、电力系统最危险的故障是(C)。(A)单相接地(B)两相短路(C)三相短路2、继电保护的灵敏系数要求(C)。(A)(B)(C)3、定时限过电流保护需要考虑返回系数,是为了(B)。(A)提高保护的灵敏性(B)外部故障切除后保护可靠返回(C)解决选择性4、三段式电流保护中,保护范围最小的是(A)(A)瞬时电流速断保护(B)限时电流速断保护(C)定时限过电流保护5、三种圆特性的阻抗继电器中,(B)既能测量故障点的远近,又能判别故障方向(A)全阻抗继电器;(B)方向圆阻抗继电器;(C)偏移圆阻抗继电器6、有一整定阻抗为的方向圆阻抗继电器,当测量阻抗时,该继电器处于(A)状态。(A)动作(B)不动作(C)临界动作7、考虑助增电流的影响,在整定距离保护II段的动作阻抗时,分支系数应取(A)。(A)大于1,并取可能的最小值(B)大于1,并取可能的最大值(C)小于1,并取可能的最小值8、从减小系统振荡的影响出发,距离保护的测量元件应采用(B)。(A)全阻抗继电器;(B)方向圆阻抗继电器;(C)偏移圆阻抗继电器9、被保护线路区内短路并伴随通道破坏时,对于相差高频保护(A)(A)能正确动作(B)可能拒动(C)可能误动10、如图1所示的系统中,线路全部配置高频闭锁式方向纵联保护,k点短路,若A-B线路通道故障,则保护1、2将(C)。(A)均跳闸(B)均闭锁(C)保护1跳闸,保护2闭锁图111、变压器的电流速断保护与(C保护配合,以反应变压器绕组及变压器电源侧的引出线套管上的各种故障。(A)过电流(B)过负荷(C)瓦斯三、计算题(共38分)1、如图2所示的网络中,已知,线路每公里的正序阻抗试对保护1进行三段式电流保护的整定计算。(14分)图2解:1、保护1电流I段整定计算(1)求动作电流(1分)(2)灵敏度校验,即求最小保护范围。满足要求。(2分)(3)动作时间:(1分)2、保护1电流II段整定计算(1)求动作电流(2分)(2)灵敏度校验满足要求。(2分)(3)动作时间:(1分)2、保护1电流III段整定计算(1)求动作电流(1分)(2)灵敏度校验近后备:远后备:(3)动作时间:一、单项选择题(本大题共15小题,每小题1分,共15分)1.过电流继电器的返回系数(B)A.等于0B.小于1C.等于1D.大于12.限时电流速断保护的灵敏系数要求(B)A.大于2B.大于1.3~1.5C.大于1.2D.大于0.853.在中性点非直接接地电网中,由同一变电所母线引出的并列运行的线路上发生两点异相接地短路,采用不完全星形接线保护的动作情况是(A)A.有机会只切除一条线路B.有机会只切除一条线路C.100%切除两条故障线路D.不动作即两条故障线路都不切除4.在双侧电源系统中,采用方向元件是为了提高保护的(D)A.方向性B.可靠性C.灵敏性D.选择性5.在中性点直接接地电网中,零序功率方向继电器采用的接线方式是(D)A.90°接线B.30、30C.-3、-3D.-30、306.正方向出口相间短路,存在动作“死区”的阻抗继电器是(B)A.全阻抗继电器B.方向阻抗继电器C.偏移特性阻抗继电器D.上抛圆阻抗继电器7.在中性点直接接地系统中,反应接地短路的阻抗继电器接线方式是(D)A.0°接线B.90°接线C.30、30D.A、A+30零序补偿电流的接线方式8.由于过渡电阻的存在,一般情况下使阻抗继电器的(A)A.测量阻抗增大,保护范围减小B.测量阻抗增大,保护范围增大C.测量阻抗减小,保护范围减小D.测...

1、当您付费下载文档后,您只拥有了使用权限,并不意味着购买了版权,文档只能用于自身使用,不得用于其他商业用途(如 [转卖]进行直接盈利或[编辑后售卖]进行间接盈利)。
2、本站所有内容均由合作方或网友上传,本站不对文档的完整性、权威性及其观点立场正确性做任何保证或承诺!文档内容仅供研究参考,付费前请自行鉴别。
3、如文档内容存在违规,或者侵犯商业秘密、侵犯著作权等,请点击“违规举报”。

碎片内容

电力系统继电保护试题_百度文库汇总

您可能关注的文档

文库当当响+ 关注
实名认证
内容提供者

该用户很懒,什么也没介绍

确认删除?
VIP
微信客服
  • 扫码咨询
会员Q群
  • 会员专属群点击这里加入QQ群
客服邮箱
回到顶部