电脑桌面
添加小米粒文库到电脑桌面
安装后可以在桌面快捷访问

等和线解决的平面向量专题VIP专享VIP免费

等和线解决的平面向量专题_第1页
1/11
等和线解决的平面向量专题_第2页
2/11
等和线解决的平面向量专题_第3页
3/11
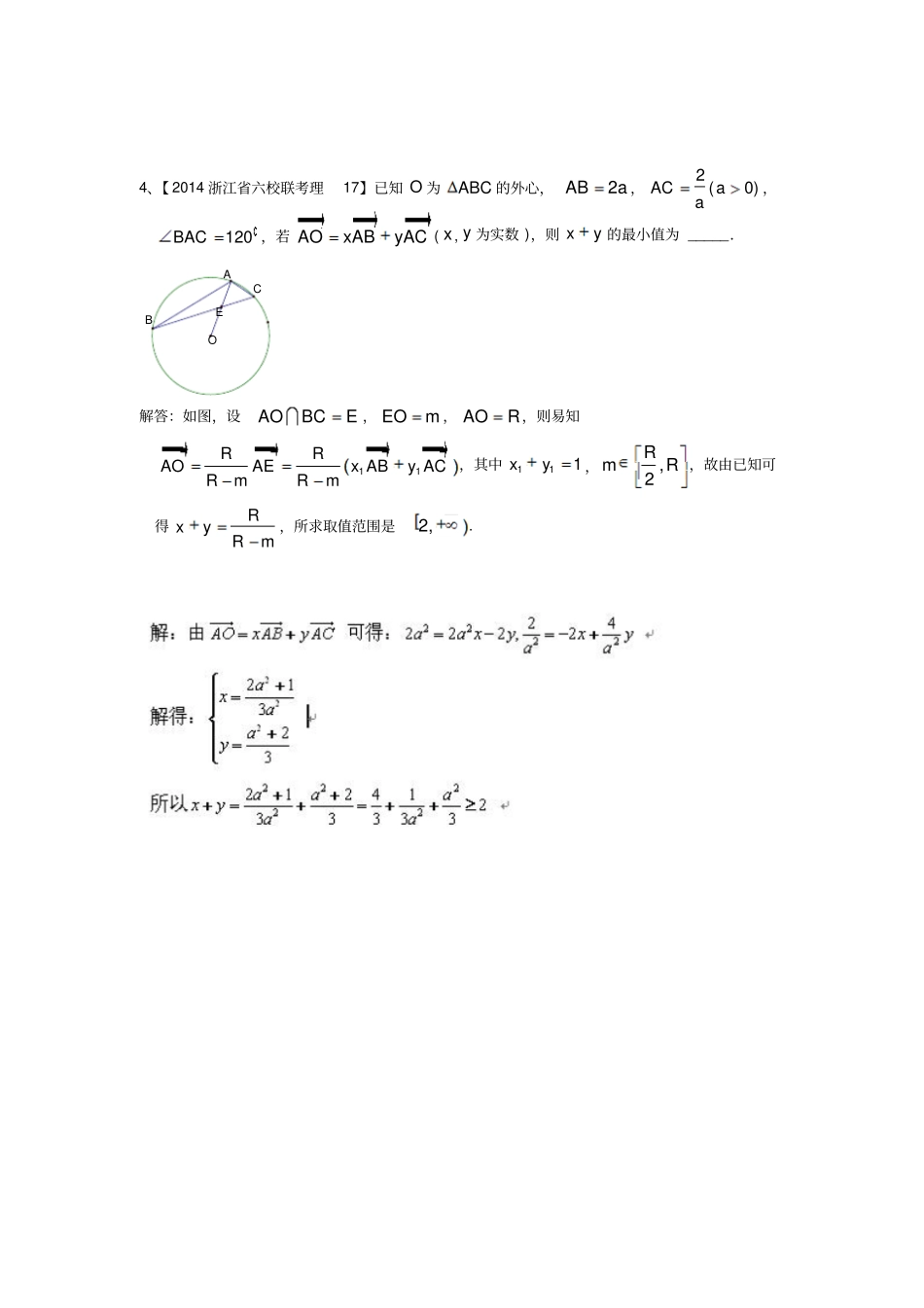
1、【2014宁波二模理17】已知点O是△ABC的外接圆圆心,且AB=3,AC=4.若存在非.零实数...x、y,使得AOxAByAC,且21xy,则cos∠BAC=.ODBCA解答:取AC中点D,则有2AOxAByACxAByAD,而21xy,得点B,O,D三点共线,已知点O是△ABC的外心,可得BDAC,故有BC=AB=3,AC=4,求得2cos3BAC.2、【2014杭州二模文8理6】设O△ABC的外心(三角形外接圆的圆心).若ACABAO3131,则BAC的度数为()A.30°B.45°C.60°D.90°ODBCA解答:取AC中点D,则有1233AOABAD,得点B,O,D三点共线,已知点O是△ABC的外心,可得BDAC,即有AO=BO=2DO,故可求得60BAC.3、【2009浙江理样卷6】已知AOB,点P在直线AB上,且满足2OPtPAtOBtR,则PAPB=()A.13B.12C.2D.3解答:由已知212tOPOAtOBt,点P在直线AB上,得2112ttt,解得1t或12t.当1t时,可得1122OAOPOB,此时A为PB中点,PAPB=12;当12t时,可得1122OPOAOB,此时P为AB中点,PAPB=1.4、【2014浙江省六校联考理17】已知O为ABC的外心,2ABa,2(0)ACaa,120BAC,若AOxAByAC(x,y为实数),则xy的最小值为_____.EOBCA解答:如图,设AOBCE,EOm,AOR,则易知11RRAOAExAByACRmRm,其中111xy,,2RmR,故由已知可得RxyRm,所求取值范围是2,.5、【2013学年第一学期末宁波理17】已知O为ABC的外心,120,2,4BACACAB。若ACABAO21,则21__________.EGFOBCA解法1:如图,设AOBCE,EOm,AOR,AFBC于F点,OGBC于G点,则易知11RRAOAExAByACRmRm,其中111xy,由已知可求得213OG,2217AF,故可求得121316RAFOGOGRmAFAF.解法2:212212AOABABACABAOACABACAC,得12128164244,解得125686,故12136.解法3:设0,0A,4,0B,1,3C,外心O是AB中垂线2x和AC中垂线32333yx的交点432,3O,得432,3AO,4,0AB,1,3AC,得1212244343333,有误,重解【变式1】、已知向量a,b的夹角为23,且|a|=4,|b|=2,|a-c|=|b-c|=|c|,若c=xa+yb,则x+y=136.6、【2013学年第一学期月考宁海县正学中学文17】已知a,b为平面内两个互相垂直的单位向量,若向量c满足()c+a=c+b()R,则|c|的最小值为BOAC解答:如图,由已知111cba,设aOA,bOB,cOC,则点C在直线AB上,得cOC有最小值22.7、【2012年稽阳联考15】A,B,P是直线l上不同的三点,点O在直线l外,若(23),()OPmAPmOBmR,则||||PBPA=2。解答:8、【2013杭二中高三适应考理17】如图,在直角梯形ABCD中,ADAB,AB∥DC,1ADDC,2AB,动点P在以点C为圆心,且与直线BD相切的圆上或圆内移动,设APADAB(,R),则取值范围是.EABDCP解答:设APBDE,AEm,APn,则nnAPAExAByACmm,其中1xy,得255512255knkm,k表示点P到BC边的距离,250,5k,得所求取值范围是1,2.9、已知等差数列na的前n项和为nS,若,20092OCaOBaOA且A,B,C三点共线(该直线不过点O),则2010S等于(D)A.2010B.2008C.1010D.100510、已知等差数列na的前n项和为nS,若22013,OAaOBaOC且A,B,C三点共线(该直线不过点O),则2014S等于(D)A.2014B.2012C.1012D.100711、如图,在扇形OAB中,60AOB,C为弧AB上的一个动点.若OCxOAyOB,则3xy的取值范围是[1,3].EDOCAB解答:如图,在OB上取一点D,使OB=3OD,设OCADE,OEm,ECn,则有11mnmnOCOExOAyODmm,其中111xy,另有3OCxOAyOBxOAyOD,得31mnnxymm,易知当点C和点A重合时nm达最小值0,当点C和点B重合时nm达最大值2,故31,3xy.12、如图,四边形OABC是边长为1的正方形,OD=3,点P为△BCD内(含边界)的动点,设(,)OPOCODR,则的最大值等于4313、在平面直角坐标系中,O是坐标原点,若两定点,AB满足2OBOAOBOA,则点集R,,2,|OBOAOPP所表示的区域的面积是316.14、若等边ABC的边长为2,平面内一点M满足CACBCM2131,则MBMA(C)A.98B.913C.98D.91315、若等边ABC的边长为32,平面内一点M满足CACBCM3261,则MBMA-2.16、若M为ABC内一点,且满足3144AMABAC,则ABM与ABC的面积之比为1:4.17、设O是ABC的外心,AOxAByAC,4AB,6AC,1212xy,则ABAC=418、已知O为△ABC的外心,210||,16||ACAB,若ACyABxAO,且32x+25y=25,则OA=10.19、已知是单位圆上的两点,为圆心,且0120,是圆的一条直径,点在圆内,且满足,则的取值范围是(C)A.1[,1)2B.[1,1)C.3[,0)4D.[1,0)20、已知圆O的...

1、当您付费下载文档后,您只拥有了使用权限,并不意味着购买了版权,文档只能用于自身使用,不得用于其他商业用途(如 [转卖]进行直接盈利或[编辑后售卖]进行间接盈利)。
2、本站所有内容均由合作方或网友上传,本站不对文档的完整性、权威性及其观点立场正确性做任何保证或承诺!文档内容仅供研究参考,付费前请自行鉴别。
3、如文档内容存在违规,或者侵犯商业秘密、侵犯著作权等,请点击“违规举报”。

碎片内容

等和线解决的平面向量专题

确认删除?
VIP
微信客服
  • 扫码咨询
会员Q群
  • 会员专属群点击这里加入QQ群
客服邮箱
回到顶部