电脑桌面
添加小米粒文库到电脑桌面
安装后可以在桌面快捷访问

高考数学 211指数与指数幂的运算配套训练 新人教A版必修1VIP免费

高考数学 211指数与指数幂的运算配套训练 新人教A版必修1_第1页
1/3
高考数学 211指数与指数幂的运算配套训练 新人教A版必修1_第2页
2/3
高考数学 211指数与指数幂的运算配套训练 新人教A版必修1_第3页
3/3
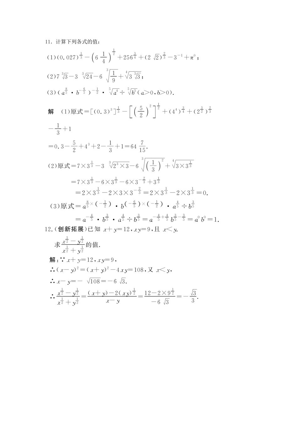
【创新设计】届高考数学2-1-1指数与指数幂的运算配套训练新人教A版必修11.化简(2x>1)的结果是().A.1-2xB.0C.2x-1D.(1-2x)2解析∵2x>1,∴1-2x<0,∴=|1-2x|=2x-1.答案C2.式子(a>0)经过计算可得到().A.aB.-C.D.解析原式=答案D3.下列说法:①16的4次方根是2;②的运算结果是±2;③当n为大于1的奇数时,对任意a∈R有意义;④当n为大于1的偶数时,只有当a≥0时才有意义.其中正确的是().A.①③④B.②③④C.②③D.③④解析16的4次方根是±2;=2.答案D4.当8

1、当您付费下载文档后,您只拥有了使用权限,并不意味着购买了版权,文档只能用于自身使用,不得用于其他商业用途(如 [转卖]进行直接盈利或[编辑后售卖]进行间接盈利)。
2、本站所有内容均由合作方或网友上传,本站不对文档的完整性、权威性及其观点立场正确性做任何保证或承诺!文档内容仅供研究参考,付费前请自行鉴别。
3、如文档内容存在违规,或者侵犯商业秘密、侵犯著作权等,请点击“违规举报”。

碎片内容

高考数学 211指数与指数幂的运算配套训练 新人教A版必修1

您可能关注的文档

文章天下+ 关注
实名认证
内容提供者

各种文档应有尽有

确认删除?
微信客服
  • 扫码咨询
会员Q群
  • 会员专属群点击这里加入QQ群