电脑桌面
添加小米粒文库到电脑桌面
安装后可以在桌面快捷访问

罗宾斯管理学练习题VIP免费

罗宾斯管理学练习题_第1页
1/21
罗宾斯管理学练习题_第2页
2/21
罗宾斯管理学练习题_第3页
3/21
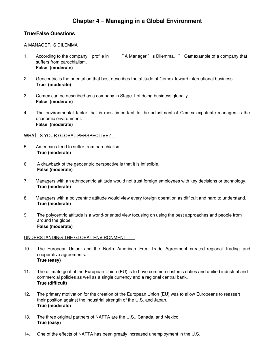
Chapter4–ManaginginaGlobalEnvironmentTrue/FalseQuestionsAMANAGER’SDILEMMA1.Accordingtothecompanyprofilein“AManager’sDilemma,”Cemexisanexampleofacompanythatsuffersfromparochialism.False(moderate)2.GeocentricistheorientationthatbestdescribestheattitudeofCemextowardinternationalbusiness.True(moderate)3.CemexcanbedescribedasacompanyinStage1ofdoingbusinessglobally.False(moderate)4.TheenvironmentalfactorthatismostimportanttotheadjustmentofCemexexpatriatemanagersistheeconomicenvironment.False(moderate)WHAT’SYOURGLOBALPERSPECTIVE?5.Americanstendtosufferfromparochialism.True(moderate)6.Adrawbackofthegeocentricperspectiveisthatitisinflexible.False(moderate)7.Managerswithanethnocentricattitudewouldnottrustforeignemployeeswithkeydecisionsortechnology.True(moderate)8.Managerswithapolycentricattitudewouldvieweveryforeignoperationasdifficultandhardtounderstand.True(moderate)9.Thepolycentricattitudeisaworld-orientedviewfocusingonusingthebestapproachesandpeoplefromaroundtheglobe.False(moderate)UNDERSTANDINGTHEGLOBALENVIRONMENT10.TheEuropeanUnionandtheNorthAmericanFreeTradeAgreementcreatedregionaltradingandcooperativeagreements.True(easy)11.TheultimategoaloftheEuropeanUnion(EU)istohavecommoncustomsdutiesandunifiedindustrialandcommercialpoliciesaswellasasinglecurrencyandaregionalcentralbank.True(difficult)12.TheprimarymotivationforthecreationoftheEuropeanUnion(EU)wastoallowEuropeanstoreasserttheirpositionagainsttheindustrialstrengthoftheU.S.andJapan.True(moderate)13.ThethreeoriginalpartnersofNAFTAaretheU.S.,Canada,andMexico.True(easy)14.OneoftheeffectsofNAFTAhasbeengreatlyincreasedunemploymentintheU.S.False(difficult)15.MercosurisatradinggroupmadeupofSouthAmericancountries.True(moderate)16.Multinationalcorporationsbecamecommonplaceinthemid1960s.True(moderate)17.Multinationalcorporationsmaintainsignificantoperationsintwoormorecountriessimultaneouslybutarebasedinonehomecountry.True(moderate)18.Thetransnationalcorporationcharacterizestheethnocentricattitudetowardsthemanagementofanorganization'sglobalbusiness.False(difficult)19.Transnationalcorporationsruntheirbusinessfromtheirhomecountry.False(easy)HOWORGANIZATIONSGOGLOBAL20.Thefirststagewhenanorganizationgoesinternationalisexportingitsproductstoothercountries.True(moderate)21.Thesecondstageofanorganizationgoinginternationalistheinitialovertentrywheretheorganizationhiresforeignrepresentationorcontractswithforeignmanufacturers.True(difficult)22.Instagethreeofanorganizationgoinginternational,managersaggressivelypursueinternationalmarketsandmaylicenseorfranchisetoanotherfirmtherighttousetheorganization'sbrandname,technology,orproductspecifications.True(difficult)MANAGINGINAGLOBALENVIRONMENT23.Thelegal-politicalenvironmentisanimportantfactorofmanaginginaforeignenvironment.True(easy)24.Onlywhenacountry'slegal-politicalenvironmentisunstableorrevolutionaryisitofconcerntomanagers.False(easy)25.Researchindicatesthatorganizationalculturehasastrongerimpactonemployeesthannationalculture.False(difficult)26.Mexicoisanexampleofacollectivistnation.True(difficult)27.TheUnitedStatesisanexampleofacountrywithlowerpowerdistance.True(moderate)28.Anincreasedlevelofanxietyamongitspeoplecharacterizesasocietywithhighuncertaintyavoidance.True(easy)29.HofstedefoundthattheU.S.cultureiswellaboveaverageonquantity-of-lifemeasuresofculture.True(easy)ISAGLOBALASSIGNMEN...

1、当您付费下载文档后,您只拥有了使用权限,并不意味着购买了版权,文档只能用于自身使用,不得用于其他商业用途(如 [转卖]进行直接盈利或[编辑后售卖]进行间接盈利)。
2、本站所有内容均由合作方或网友上传,本站不对文档的完整性、权威性及其观点立场正确性做任何保证或承诺!文档内容仅供研究参考,付费前请自行鉴别。
3、如文档内容存在违规,或者侵犯商业秘密、侵犯著作权等,请点击“违规举报”。

碎片内容

罗宾斯管理学练习题

您可能关注的文档

确认删除?
VIP
微信客服
  • 扫码咨询
会员Q群
  • 会员专属群点击这里加入QQ群
客服邮箱
回到顶部