电脑桌面
添加小米粒文库到电脑桌面
安装后可以在桌面快捷访问

匀变速直线运动的研究知识要点总结VIP免费

匀变速直线运动的研究知识要点总结_第1页
1/3
匀变速直线运动的研究知识要点总结_第2页
2/3
匀变速直线运动的研究知识要点总结_第3页
3/3
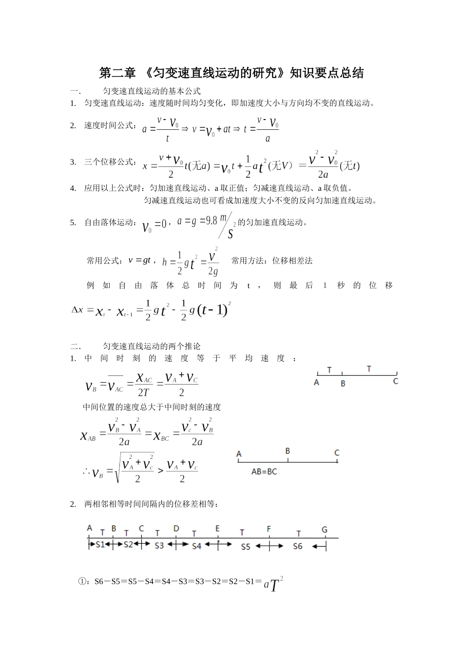
第二章《匀变速直线运动的研究》知识要点总结一.匀变速直线运动的基本公式1.匀变速直线运动:速度随时间均匀变化,即加速度大小与方向均不变的直线运动。2.速度时间公式:3.三个位移公式:4.应用以上公式时:匀加速直线运动、a取正值;匀减速直线运动、a取负值。匀减速直线运动也可看成加速度大小不变的反向匀加速直线运动。5.自由落体运动:,的匀加速直线运动。常用公式:gtv,常用方法:位移相差法例如自由落体总时间为t,则最后1秒的位移二.匀变速直线运动的两个推论1.中间时刻的速度等于平均速度:中间位置的速度总大于中间时刻的速度2.两相邻相等时间间隔内的位移差相等:①:S6-S5=S5-S4=S4-S3=S3-S2=S2-S1=②:S5-S2=S6-S1=Sm-Sn=③:(S4+S3)-(S2+S1)=(S4+S5+S6)-(S3+S2+S1)=三.速度时间图像与位移时间图像1.两种图像都只能描述直线运动,不能描述曲线运动。2.图像:①:图像中v的正负值表示方向,v为正值表示物体运动方向与人为选定的正方向相同,v为负值表示物体运动方向与人为选定的正方向相反;②:图像的斜率表示加速度;③:图像与时间轴所围的面积表示这段时间内物体的位移;④:图像中的倾斜直线表示匀加或匀减速直线运动。请求出0-6S内物体运动的位移为_____________米,路程为__________米;0-4s________匀变速直线运动,2-6s________匀变速直线运动(填“是”或“不是”).3.X-t图像:描述物体位置(直线坐标系描述)随时间变化关系.①:图像斜率表示速度;②:图像中的倾斜直线表示匀速直线运动.0-1s表示物体从x=5m处以1m/s匀速到x=4m处;1-2s物体在x=4m处静止1s;2-4s物体从x=4m处以2m/s匀速到x=0处;4-6s从x=0处以2m/s匀速到x=-4m处.三.追赶与避碰:①速度相同时两物体相距最近或最远;②后面物体速度大于前面物体的速度,则两物体间距在减小,后面物体速度小于前面物体的速度,则间距在增大;③同向运动时要相遇,则前面物体位移加起始间距要等于后面物体位移;相向运动时要相遇,则两物体位移相加要等于起始间距;④同向运动时要避碰,则速度相同时,前面物体位移加起始间距要大于后面物体位移,相向运动时要避碰,则两物体均静止时,两物体位移相加要小于起始间距。表中d为两物体的起始间距匀加追匀速一定能追上,速度相等时,间距最大,当时追上.匀速追匀加看速度相等时能否追上,同速是,若则再也追不上了.匀减追匀速看速度相等时能否追上,同速是,若则再也追不上了.匀速追匀减一定能追上,但可能在匀减到零之后追上,先得计算速度刚为零时是否追上匀加追匀减一定能追上,但可能在匀减到零之后追上,先得计算速度刚为零时是否追上匀减追匀加看速度相等时能否追上,同速是,若则再也追不上了.

1、当您付费下载文档后,您只拥有了使用权限,并不意味着购买了版权,文档只能用于自身使用,不得用于其他商业用途(如 [转卖]进行直接盈利或[编辑后售卖]进行间接盈利)。
2、本站所有内容均由合作方或网友上传,本站不对文档的完整性、权威性及其观点立场正确性做任何保证或承诺!文档内容仅供研究参考,付费前请自行鉴别。
3、如文档内容存在违规,或者侵犯商业秘密、侵犯著作权等,请点击“违规举报”。

碎片内容

匀变速直线运动的研究知识要点总结

一米阳光+ 关注
实名认证
内容提供者

爱好英语教学和互联网行业,热爱教育事业,兢兢业业

确认删除?
VIP
微信客服
  • 扫码咨询
会员Q群
  • 会员专属群点击这里加入QQ群
客服邮箱
回到顶部