电脑桌面
添加小米粒文库到电脑桌面
安装后可以在桌面快捷访问

高考数学复习点拨 直线斜率的“隐性”应用VIP免费

高考数学复习点拨 直线斜率的“隐性”应用_第1页
1/3
高考数学复习点拨 直线斜率的“隐性”应用_第2页
2/3
高考数学复习点拨 直线斜率的“隐性”应用_第3页
3/3
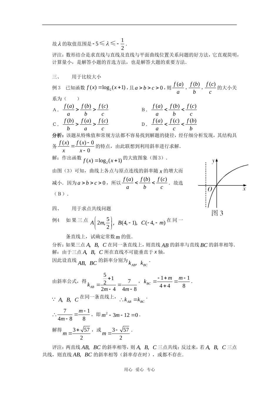
直线斜率的“隐性”应用对于数式结构与直线斜率有关的数学问题,可通过类比、联想,及借助直线斜率的几何意义,巧妙解决.下面举例说明.一、用于证明不等式例1已知abm,,均为正数,且ab,求证:amabmb.分析:观察所证不等式的左边,结构与斜率公式2121yykxx很相似,()()amambmbm,显然此式可看作点()Pba,与点()Mmm,的连线的斜率.解:如图1,0ab,点()Pba,在第一象限,且必位于直线yx的下方.又0m,点()Mmm,在第三象限,且必在yx上.连结OPPM,,则OPakb,MPamkbm.直线MP的倾斜角大于直线OP的倾斜角,MPOPkk,即有amabmb.二、用于求参数的取值范围例2已知线段的两个端点(03)(30)AB,,,,若直线2yx与线段AB相交,求实数的取值范围.分析:采用数形结合的方法,因为直线2yx恒过一个定点,并且斜率为,则直线应落在定点与AB,的连线之间,从而得出斜率所取的范围,即可确定的取值范围.解:如图2,2yx恒经过一定点(12)C,,AC的斜率2351ACk,BC的斜率21132BCk.若直线2yx与线段AB相交,则ACBCkk≤≤.用心爱心专心故的取值范围是152≤≤.评注:数形结合是求直线与直线及直线与平面曲线位置关系问题的好方法,它直观简明,计算量小,是解答小题的首选方法,也是解答大题的重要方法.三、用于比较大小例3已知函数2()log(1)fxx,且0abc,则()faa,()fbb,()fcc的大小关系为()A.()()()fafbfcabcB.()()()fafbfcabcC.()()()fbfafcbacD.()()()fafcfbacb分析:该题从特殊值和常规方法都不容易找到解题的捷径,经仔细分析发现,其结构具务()()00fxfxxx的特点,由此联想到利用斜率进行求解.解:作出函数2()log(1)fxx的大致图象(图3).由图(3)可知,曲线上各点与原点连线的斜率随x的增大而减小.因为0abc,所以()()()fafbfcabc.故选(B).四、用于求点共线问题例4如果三点52(41)(4)2AmBCm,,,,,在同一条直线上,试确定常数m的值.分析:如果三点ABC,,在同一条直线上,则直线AB的斜率与直线BC的斜率相等.解:由于三点ABC,,所在直线不可能垂直于x轴,因此设直线ABBC,的斜率分别为ABBCkk,.由斜率公式,得51722448ABkmm,11448BCmmk.ABC,,在同一条直线上,ABBCkk.71488mm,即23120mm.解得3572m,或3572m.评注:两直线ABBC,的斜率相等,则ABC,,三点共线;反过来,若ABC,,三点共线,则直线ABBC,的斜率相等(斜率存在时),或都不存在.用心爱心专心五、求函数最值例5已知实数xy,满足222(11)yxxx≤≤,试求32yx的最大值和最小值.分析:利用32yx的几何意义:连结定点(23),与动点()xy,的直线的斜率,借助数形结合,将求最值问题转化为求斜率取值范围问题,简化运算过程.解:如图4,由32yx的几何意义可知,它表示经过定点(23)P,与曲线段AB上任一点()xy,的直线的斜率k.易知PAPBkkk≤≤,由已知,可得(11)(15)AB,,,.483k≤≤,故32yx的最大值是8,最小值是43.评注:巧妙利用斜率公式,借助数形结合直观求解,收到事半功倍的效果,此题还可利用后边所学内容,用代数的方法求解.用心爱心专心

1、当您付费下载文档后,您只拥有了使用权限,并不意味着购买了版权,文档只能用于自身使用,不得用于其他商业用途(如 [转卖]进行直接盈利或[编辑后售卖]进行间接盈利)。
2、本站所有内容均由合作方或网友上传,本站不对文档的完整性、权威性及其观点立场正确性做任何保证或承诺!文档内容仅供研究参考,付费前请自行鉴别。
3、如文档内容存在违规,或者侵犯商业秘密、侵犯著作权等,请点击“违规举报”。

碎片内容

高考数学复习点拨 直线斜率的“隐性”应用

远洋启航书店+ 关注
实名认证
内容提供者

从事历史教学,热爱教育,高度负责。

相关文档

确认删除?
VIP
微信客服
  • 扫码咨询
会员Q群
  • 会员专属群点击这里加入QQ群
客服邮箱
回到顶部