电脑桌面
添加小米粒文库到电脑桌面
安装后可以在桌面快捷访问

高考数学一轮复习 核心素养测评十七 导数的存在性问题 苏教版-苏教版高三全册数学试题VIP免费

高考数学一轮复习 核心素养测评十七 导数的存在性问题 苏教版-苏教版高三全册数学试题_第1页
1/13
高考数学一轮复习 核心素养测评十七 导数的存在性问题 苏教版-苏教版高三全册数学试题_第2页
2/13
高考数学一轮复习 核心素养测评十七 导数的存在性问题 苏教版-苏教版高三全册数学试题_第3页
3/13
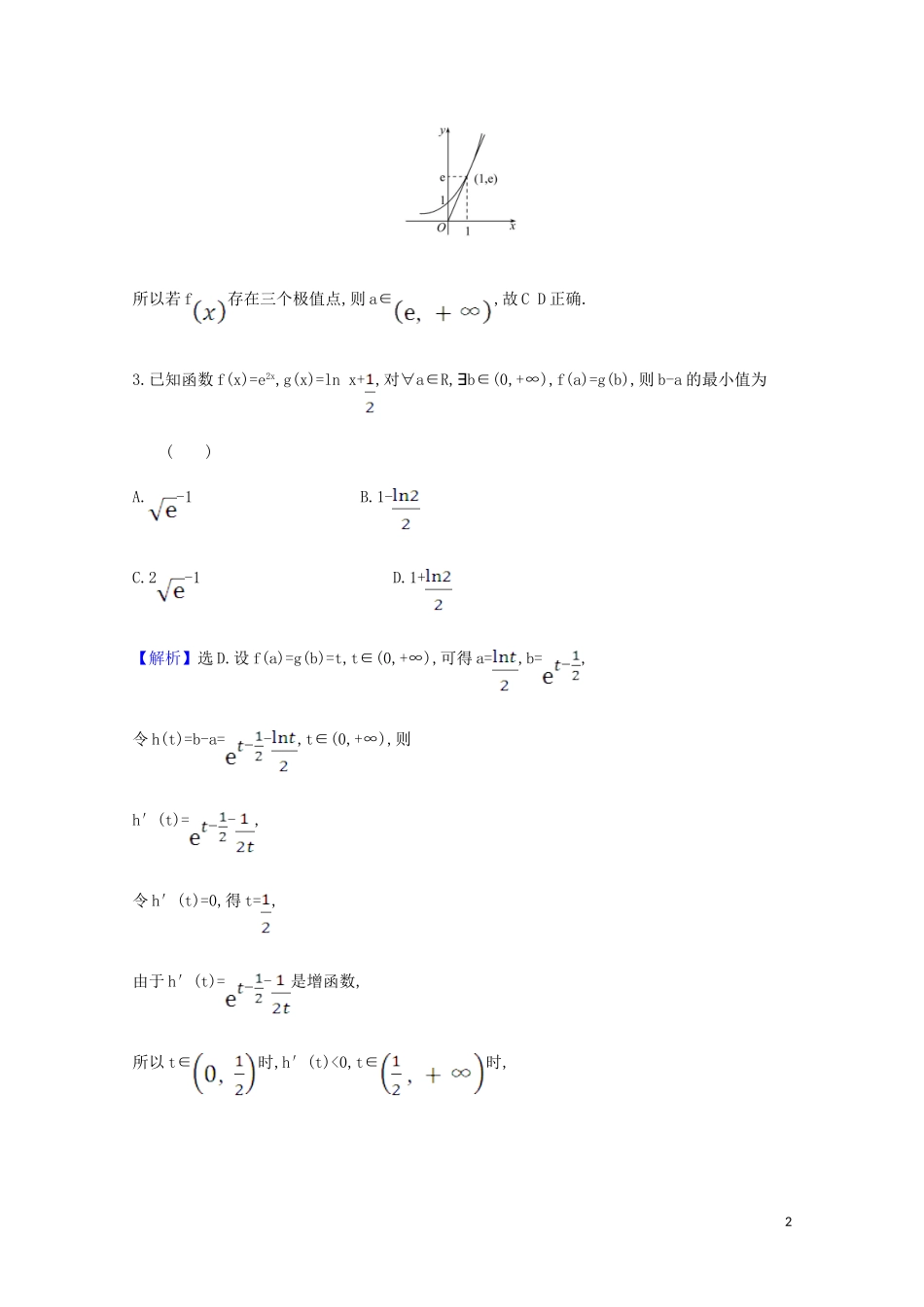
核心素养测评十七导数的存在性问题一、选择题(每小题5分,共20分)1.若存在正实数x使ex(x2-a)<1成立,则实数a的取值范围是()A.(-1,+∞)B.(0,+∞)C.(-2,+∞)D.[-1,+∞)【解析】选A.存在正实数x使ex(x2-a)<1成立,即a>x2-在区间(0,+∞)上有解,令f(x)=x2-,f′(x)=2x+>0,所以f(x)在区间(0,+∞)上单调递增,所以f(x)>f(0)=-1,又a>x2-在区间(0,+∞)上有解,所以a∈(-1,+∞).2.(多选)若函数f(x)=6xex-2ax3-3ax2存在三个极值点,则a的取值可能为()A.1B.2C.3D.4【解析】选CD.由题意得:f′=6ex+6xex-6ax2-6ax=6,可知x=-1为f′的一个零点.若f存在三个极值点,则只需ex-ax=0有两个不等实根,且两实根均不等于-1,即g=ex与h=ax有两个横坐标不等于-1的交点,当h与g相切时,设切点坐标为:,g′==a,又=a,所以x0=1,a=e,由图象可知:a∈时,ex-ax=0有两个不等实根,且两实根均不等于-1.1所以若f存在三个极值点,则a∈,故CD正确.3.已知函数f(x)=e2x,g(x)=lnx+,对∀a∈R,∃b∈(0,+∞),f(a)=g(b),则b-a的最小值为()A.-1B.1-C.2-1D.1+【解析】选D.设f(a)=g(b)=t,t∈(0,+∞),可得a=,b=,令h(t)=b-a=-,t∈(0,+∞),则h′(t)=-,令h′(t)=0,得t=,由于h′(t)=-是增函数,所以t∈时,h′(t)<0,t∈时,2h′(t)>0,因此h(t)在上单调递减,在上单调递增,从而h(t)的最小值为h=1+.4.(2020·镇江模拟)若函数f(x)=ex在(0,1)内存在极值点,则实数a的取值范围是()A.(-∞,0)B.(0,+∞)C.(-∞,-1]D.[-1,0)【解析】选A.函数f(x)=ex,定义域为{x|x≠0},f′(x)=ex+xex-=,因为f(x)在(0,1)内存在极值点,则f′(x)==0的实数根在(0,1)内,即x3+x2-ax+a=0的实数根在区间(0,1)内,令g(x)=x3+x2-ax+a,可知,函数g(x)=x3+x2-ax+a在(0,1)内存在零点,讨论a:a=0时,g(x)=x2(x+1)在(0,1)上无零点.a>0时,在(0,1)上,g(x)=x3+x2+(1-x)a>0,无零点.a<0时,g(0)=a<0,g(1)=2>0,在(0,1)上有零点.所以实数a的取值范围是a<0.二、填空题(每小题5分,共20分)5.若函数f(x)=x3+x2-在区间(a,a+5)上存在最小值,则实数a的取值范围是________.【解析】由题意,f′(x)=x2+2x=x(x+2),故f(x)在(-∞,-2),(0,+∞)上是增函数,在(-2,0)上是减函数,作y=f(x)的图象大致如图,3令x3+x2-=-得,x=0或x=-3;则结合图象可知,解得,a∈[-3,0).答案:[-3,0)6.设f(x)与g(x)是定义在同一区间[a,b]上的两个函数,若函数y=f(x)-g(x)在x∈[a,b]上有两个不同的零点,则称f(x)和g(x)在[a,b]上是“关联函数”,区间[a,b]称为“关联区间”.若f(x)=x-lnx与g(x)=-+m在[1,3]上是“关联函数”,则实数m的取值范围是________.【解析】因为f(x)=x-lnx与g(x)=-+m在[1,3]上是“关联函数”,令y=h(x)=f(x)-g(x),所以函数y=h(x)=f(x)-g(x)=x-lnx+-m在[1,3]上有两个不同的零点,即h(x)=0在[1,3]有两个不同的实数根,所以x-lnx+-m=0,即m=x-lnx+.设F(x)=x-lnx+,即y=m与F(x)=x-mx+有两个交点,4则F′(x)=1--==.所以F′(x)>0,得x>2;F′(x)<0,得00,f单调递增.故f=f=1,又因为f=+2<3,5.29=2.72-2

1、当您付费下载文档后,您只拥有了使用权限,并不意味着购买了版权,文档只能用于自身使用,不得用于其他商业用途(如 [转卖]进行直接盈利或[编辑后售卖]进行间接盈利)。
2、本站所有内容均由合作方或网友上传,本站不对文档的完整性、权威性及其观点立场正确性做任何保证或承诺!文档内容仅供研究参考,付费前请自行鉴别。
3、如文档内容存在违规,或者侵犯商业秘密、侵犯著作权等,请点击“违规举报”。

碎片内容

高考数学一轮复习 核心素养测评十七 导数的存在性问题 苏教版-苏教版高三全册数学试题

确认删除?
微信客服
  • 扫码咨询
会员Q群
  • 会员专属群点击这里加入QQ群