电脑桌面
添加小米粒文库到电脑桌面
安装后可以在桌面快捷访问

南昌大学附中版高考数学一轮复习 三角函数单元训练VIP免费

南昌大学附中版高考数学一轮复习 三角函数单元训练_第1页
1/7
南昌大学附中版高考数学一轮复习 三角函数单元训练_第2页
2/7
南昌大学附中版高考数学一轮复习 三角函数单元训练_第3页
3/7
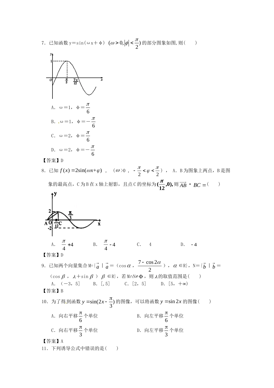
南昌大学附中版《创新设计》高考数学一轮复习考前抢分必备单元训练:三角函数本试卷分第Ⅰ卷(选择题)和第Ⅱ卷(非选择题)两部分.满分150分.考试时间120分钟.第Ⅰ卷(选择题共60分)一、选择题(本大题共12个小题,每小题5分,共60分,在每小题给出的四个选项中,只有一项是符合题目要求的)1.已知a80sin,则cos100°的值等于()A.21aB.21aC.211aD.a【答案】B2.已知3sincos0,cossin84且则的值是()A.13B.12C.14D—.12【答案】B3.如图,设A、B两点在河的两岸,一测量者在A的同侧,在所在的河岸边选定一点C,测出AC的距离为50m,∠ACB=45°,∠CAB=105°后,就可以计算出A、B两点的距离为()A.502mB.503mC.252mD.2522m【答案】A4.53sin),2,2(,则cos()的值为()A.45B.54C.53D.-53【答案】A5.22cos15sin15-的值为()A.12B.22C.32D.62【答案】C6.31cos10sin170=()A.4B.2C.2D.4【答案】D7.已知函数y=sin(ωx+φ)(0,)2的部分图象如图,则()A.ω=1,φ=6B.ω=1,φ=-6C.ω=2,φ=6D.ω=2,φ=-6【答案】D8.已知()2sin(+)fxx,(>0,22),A.B为图象上两点,B是图象的最高点,C为B在x轴上射影,且点C的坐标为),0,12(则AB·BC�()A.44B.44C.4D.4【答案】D9.已知两个向量集合M={a︱a=(cos,22cos7),∈R},N={b︱b=(cos,+sin)∈R},若M∩N≠,则的取值范围是()A.(-3,5]B.[,5]C.[2,5]D.[5∞,+)【答案】B10.为了得到函数sin(2)3yx的图像,可以将函数sin2yx的图像()A.向右平移6个单位B.向左平移6个单位C.向右平移3个单位D.向左平移3个单位【答案】A11.下列诱导公式中错误的是()A.tan(π―)=―tan;B.cos(2+)=sinC.sin(π+)=―sinD.cos(π―)=―cos【答案】B12.215是()A.第一象限B.第二象限C.第三象限D.第四象限【答案】B第Ⅱ卷(非选择题共90分)二、填空题(本大题共4个小题,每小题5分,共20分,把正确答案填在题中横线上)13.已知α是第二象限的角,tan(π+2α)=-,则tanα=____________.【答案】-14.设sin2cos2fxaxbx=+,其中,,0abRab.若6fxf对一切xR恒成立,则以下结论正确的是____________(写出所有正确结论的编号).①11012f;②)5()127(ff;③fx既不是奇函数也不是偶函数;④fx的单调递增区间是2,63kkkZ;⑤经过点,ab的所有直线均与函数fx的图象相交.【答案】①③⑤15.已知角终边过点P)3-4(,,则sin,tan,2sin,2cos。【答案】16.已知为锐角,且4cos(),45则cos=.【答案】7210三、解答题(本大题共6个小题,共70分,解答应写出文字说明,证明过程或演算步骤)17.在△ABC中,角A,B,C的对边分别为a,b,c,已知coscoscoscosaCbCcBcA,且C=120°.(1)求角A;(2)若a=2,求c.【答案】由余弦定理,得:sinAcosC-sinBcosC=sinCcosB-sinCcosAsinAcosC+sinCcosA=sinCcosB+sinBcosCsin(A+C)=sin(B+C)sinB=sinA∴B=A=30°a=2,则b=2c²=a²+b²-2abcosC=4+4-2×2×2×(-12)=12∴c=2318.某地有三家工厂,分别位于矩形ABCD的顶点A,B及CD的中点P处,已知AB=20km,CB=10km,为了处理三家工厂的污水,现要在矩形ABCD的区域上(含边界),且与A,B等距离的一点O处建造一个污水处理厂,并铺设排污管道AO,BO,OP,设排污管道的总长为ykm.(Ⅰ)按下列要求写出函数关系式:①设∠BAO=(rad),将y表示成的函数关系式;②设OPx(km),将y表示成x的函数关系式.(Ⅱ)请你选用(Ⅰ)中的一个函数关系式,确定污水处理厂的位置,使三条排污管道总长度最短.【答案】(Ⅰ)①由条件知PQ垂直平分AB,若∠BAO=(rad),则10coscosAQOA,故10cosOB,又OP=1010tan所以10101010tancoscosyOAOBOP,所求函数关系式为2010sin10cosy04...

1、当您付费下载文档后,您只拥有了使用权限,并不意味着购买了版权,文档只能用于自身使用,不得用于其他商业用途(如 [转卖]进行直接盈利或[编辑后售卖]进行间接盈利)。
2、本站所有内容均由合作方或网友上传,本站不对文档的完整性、权威性及其观点立场正确性做任何保证或承诺!文档内容仅供研究参考,付费前请自行鉴别。
3、如文档内容存在违规,或者侵犯商业秘密、侵犯著作权等,请点击“违规举报”。

碎片内容

南昌大学附中版高考数学一轮复习 三角函数单元训练

您可能关注的文档

文章天下+ 关注
实名认证
内容提供者

各种文档应有尽有

相关文档

确认删除?
VIP
微信客服
  • 扫码咨询
会员Q群
  • 会员专属群点击这里加入QQ群
客服邮箱
回到顶部