电脑桌面
添加小米粒文库到电脑桌面
安装后可以在桌面快捷访问

高中数学 等差、等比数列的综合应用同步练习 文 苏教版必修5VIP免费

高中数学 等差、等比数列的综合应用同步练习 文 苏教版必修5_第1页
1/2
高中数学 等差、等比数列的综合应用同步练习 文 苏教版必修5_第2页
2/2
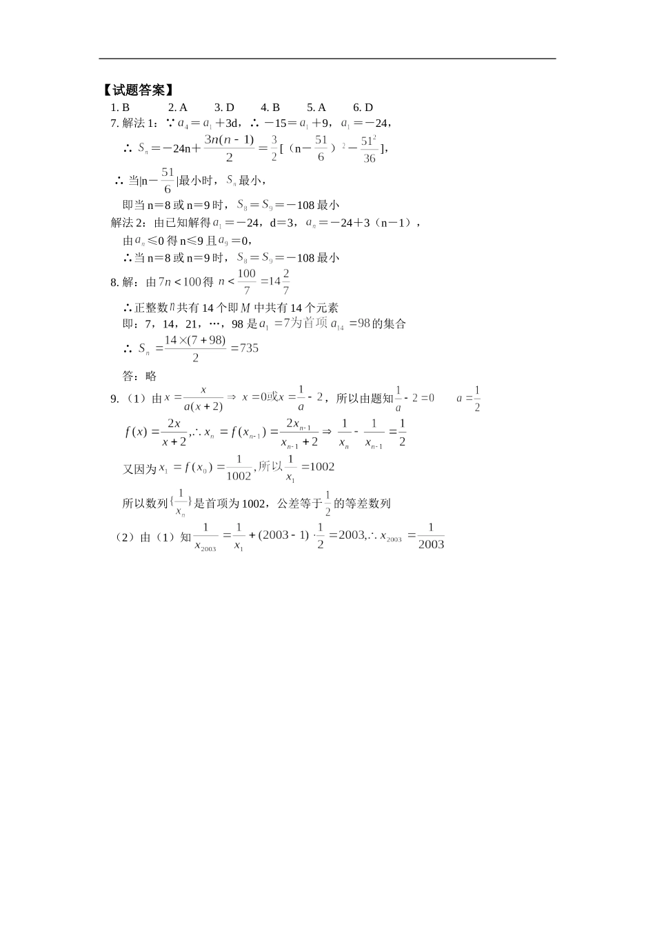
高二数学苏教版(文)等差、等比数列的综合应用同步练习1.已知等比数列的公比是2,且前四项的和为1,那么前八项的和为()A.15B.17C.19D.212.已知数列{an}的通项公式an=3n-2,在数列{an}中取ak1,ak2,ak3,…,akn,…成等比数列,若k1=2,k2=6,则k4的值()A.86B.54C.160D.2563.数列中,al=l,a2=2+3,a3=4+5+6,a4=7+8+9+10,则a10的值是()A.750B.610C.510D.5054.是等差数列,S10>0,S11<0,则使<0的最小的n值是()A.5B.6C.7D.85.若一个等差数列前3项的和为34,最后3项的和为146,且所有项的和为390,则这个数列有()A.13项B.12项C.11项D.10项6.数列满足并且。则数列的第100项为()A.B.C.D.7.在等差数列{}中,=-15,公差d=3,求数列{}的前n项和的最小值。8.求集合的元素个数,并求这些元素的和。9.设有唯一解,(1)问数列是否是等差数列?(2)求的值。【试题答案】1.B2.A3.D4.B5.A6.D7.解法1:∵=+3d,∴-15=+9,=-24,∴=-24n+=[(n-)-],∴当|n-|最小时,最小,即当n=8或n=9时,==-108最小解法2:由已知解得=-24,d=3,=-24+3(n-1),由≤0得n≤9且=0,∴当n=8或n=9时,==-108最小8.解:由得∴正整数共有14个即中共有14个元素即:7,14,21,…,98是的集合∴答:略9.(1)由,所以由题知又因为所以数列是首项为1002,公差等于的等差数列(2)由(1)知

1、当您付费下载文档后,您只拥有了使用权限,并不意味着购买了版权,文档只能用于自身使用,不得用于其他商业用途(如 [转卖]进行直接盈利或[编辑后售卖]进行间接盈利)。
2、本站所有内容均由合作方或网友上传,本站不对文档的完整性、权威性及其观点立场正确性做任何保证或承诺!文档内容仅供研究参考,付费前请自行鉴别。
3、如文档内容存在违规,或者侵犯商业秘密、侵犯著作权等,请点击“违规举报”。

碎片内容

高中数学 等差、等比数列的综合应用同步练习 文 苏教版必修5

您可能关注的文档

确认删除?
VIP
微信客服
  • 扫码咨询
会员Q群
  • 会员专属群点击这里加入QQ群
客服邮箱
回到顶部