电脑桌面
添加小米粒文库到电脑桌面
安装后可以在桌面快捷访问

高考数学二轮复习 攻克圆锥曲线解答题的策略 新人教版VIP免费

高考数学二轮复习 攻克圆锥曲线解答题的策略 新人教版_第1页
1/17
高考数学二轮复习 攻克圆锥曲线解答题的策略 新人教版_第2页
2/17
高考数学二轮复习 攻克圆锥曲线解答题的策略 新人教版_第3页
3/17
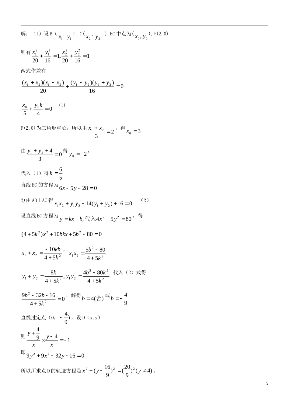
攻克圆锥曲线解答题的策略摘要:为帮助高三学生学好圆锥曲线解答题,提高成绩,战胜高考,可从四个方面着手:知识储备、方法储备、思维训练、强化训练。关键词:知识储备方法储备思维训练强化训练第一、知识储备:1.直线方程的形式(1)直线方程的形式有五件:点斜式、两点式、斜截式、截距式、一般式。(2)与直线相关的重要内容①倾斜角与斜率tan,[0,)k②点到直线的距离0022AxByCdAB③夹角公式:2121tan1kkkk(3)弦长公式直线ykxb上两点1122(,),(,)AxyBxy间的距离:2121ABkxx221212(1)[()4]kxxxx或12211AByyk(4)两条直线的位置关系①1212llkk=-1②212121//bbkkll且2、圆锥曲线方程及性质(1)、椭圆的方程的形式有几种?(三种形式)标准方程:221(0,0)xymnmnmn且距离式方程:2222()()2xcyxcya参数方程:cos,sinxayb(2)、双曲线的方程的形式有两种标准方程:221(0)xymnmn距离式方程:2222|()()|2xcyxcya(3)、三种圆锥曲线的通径你记得吗?22222bbpaa椭圆:;双曲线:;抛物线:(4)、圆锥曲线的定义你记清楚了吗?如:已知21FF、是椭圆13422yx的两个焦点,平面内一个动点M满足221MFMF则动点M的轨迹是()1A、双曲线;B、双曲线的一支;C、两条射线;D、一条射线(5)、焦点三角形面积公式:122tan2FPFPb在椭圆上时,S122cot2FPFPb在双曲线上时,S(其中2221212121212||||4,cos,||||cos||||PFPFcFPFPFPFPFPFPFPF�)(6)、记住焦半径公式:(1)00;xaexaey椭圆焦点在轴上时为焦点在y轴上时为,可简记为“左加右减,上加下减”。(2)0||xexa双曲线焦点在轴上时为(3)11||,||22ppxxy抛物线焦点在轴上时为焦点在y轴上时为(6)、椭圆和双曲线的基本量三角形你清楚吗?第二、方法储备1、点差法(中点弦问题)设11,yxA、22,yxB,baM,为椭圆13422yx的弦AB中点则有1342121yx,1342222yx;两式相减得03422212221yyxx3421212121yyyyxxxxABk=ba432、联立消元法:你会解直线与圆锥曲线的位置关系一类的问题吗?经典套路是什么?如果有两个参数怎么办?设直线的方程,并且与曲线的方程联立,消去一个未知数,得到一个二次方程,使用判别式0,以及根与系数的关系,代入弦长公式,设曲线上的两点1122(,),(,)AxyBxy,将这两点代入曲线方程得到两个式子,然后-,整体消元······,若有两个字母未知数,则要找到它们的联系,消去一个,比如直线过焦点,则可以利用三点A、B、F共线解决之。若有向量的关系,则寻找坐标之间的关系,根与系数的关系结合消元处理。一旦设直线为ykxb,就意味着k存在。例1、已知三角形ABC的三个顶点均在椭圆805422yx上,且点A是椭圆短轴的一个端点(点A在y轴正半轴上).(1)若三角形ABC的重心是椭圆的右焦点,试求直线BC的方程;(2)若角A为090,AD垂直BC于D,试求点D的轨迹方程.分析:第一问抓住“重心”,利用点差法及重心坐标公式可求出中点弦BC的斜率,从而写出直线BC的方程。第二问抓住角A为090可得出AB⊥AC,从而得016)(14212121yyyyxx,然后利用联立消元法及交轨法求出点D的轨迹方程;2解:(1)设B(1x,1y),C(2x,2y),BC中点为(00,yx),F(2,0)则有11620,1162022222121yxyx两式作差有016))((20))((21212121yyyyxxxx04500kyx(1)F(2,0)为三角形重心,所以由2321xx,得30x由03421yy得20y,代入(1)得56k直线BC的方程为02856yx2)由AB⊥AC得016)(14212121yyyyxx(2)设直线BC方程为8054,22yxbkxy代入,得080510)54(222bbkxxk2215410kkbxx,222154805kbxx2222122154804,548kkbyykkyy代入(2)式得0541632922kbb,解得)(4舍b或94b直线过定点(0,)94,设D(x,y)则1494xyxy即016329922yxy所以所求点D的轨迹方程是)4()920()916(222yyx。34...

1、当您付费下载文档后,您只拥有了使用权限,并不意味着购买了版权,文档只能用于自身使用,不得用于其他商业用途(如 [转卖]进行直接盈利或[编辑后售卖]进行间接盈利)。
2、本站所有内容均由合作方或网友上传,本站不对文档的完整性、权威性及其观点立场正确性做任何保证或承诺!文档内容仅供研究参考,付费前请自行鉴别。
3、如文档内容存在违规,或者侵犯商业秘密、侵犯著作权等,请点击“违规举报”。

碎片内容

高考数学二轮复习 攻克圆锥曲线解答题的策略 新人教版

海博书城+ 关注
实名认证
内容提供者

从事历史教学,热爱教育,高度负责。

相关文档

确认删除?
VIP
微信客服
  • 扫码咨询
会员Q群
  • 会员专属群点击这里加入QQ群
客服邮箱
回到顶部