电脑桌面
添加小米粒文库到电脑桌面
安装后可以在桌面快捷访问

山东省淄博市淄川一中高三数学上学期第一次阶段检测试题 文-人教版高三全册数学试题VIP免费

山东省淄博市淄川一中高三数学上学期第一次阶段检测试题 文-人教版高三全册数学试题_第1页
1/9
山东省淄博市淄川一中高三数学上学期第一次阶段检测试题 文-人教版高三全册数学试题_第2页
2/9
山东省淄博市淄川一中高三数学上学期第一次阶段检测试题 文-人教版高三全册数学试题_第3页
3/9
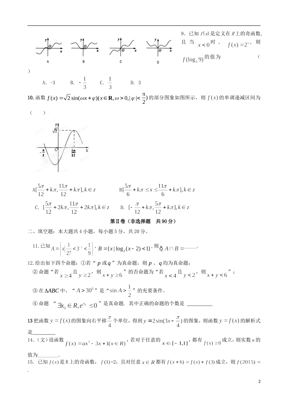
山东淄博市淄川一中高三第一次阶段检测文科数学试题本试卷分第I卷(选择题)和第II卷(非选择题)两部分满分150分,考试时间120分钟。第Ⅰ卷(选择题共60分)一、选择题:本大题共12小题,每小题5分,共计50分)1.(文)设全集U=R,集合,集合,则图中阴影部分表示的集合为()A.B.C.D.2.命题“”的否定是()A.B.C.D.3.函数的零点个数是()A.0B.1C.2D.34.若,πlog3b,,则()A.bcaB.bacC.abcD.cab5.李华经营了两家电动轿车销售连锁店,其月利润(单位:元)分别为,(其中x为销售辆数),若某月两连锁店共销售了110辆,则能获得的最大利润为()A.11000B.22000C.33000D.400006.已知函数,且,则的值是()A.B.C.D.7.“”是“函数在区间内单调递减”的()A充分非必要条件.必要非充分条件.充要条件.既非充分又非必要条件.8.已知,为的导函数,则的图象是()19.已知f(x)是定义在R上的奇函数,且当时,,则的值为()A.-3B.C.D.310.函数()2sin()(,0,||fxxxRπ)2的部分图象如图所示,则的单调递减区间为()ABC.D.第Ⅱ卷(非选择题共90分)二、填空题:本大题共4小题,每小题5分,共20分。11.已知,2{|log(2)1}Bxx,则_____.12.给出如下四个命题:①若“p或q”为真命题,则p、q均为真命题;②命题“若且,则”的否命题为“若且,则”;③在ABC中,“”是“”的充要条件。④命题“”是真命题.其中正确的命题的个数是13把函数的图象向右平移个单位,得到的图象,则函数的解析式是14.(文)设函数,若对于任意的,都有成立,则实数a的值为________.15.已知是R上的奇函数,=2,且对任意都有成立,则.2三、解答题:本大题共6小题,共70分.解答应写出文字说明,证明过程或演算步骤.16.(本小题满分10分)(原创)已知函数().(1)求的最小正周期;(2)求函数在区间上的取值范围.17.已知函数图像上的点处的切线方程为.(I)若函数在时有极值,求的表达式;(Ⅱ)若函数在区间上单调递增,求实数的取值范围.18.(本小题满分12分)(文)已知全集U=R,非空集合,(1)当时,求;(2)命题:pxA,命题:qxB,若q是p的必要条件,求实数a的取值范围.19.(本小题满分12分)已知函数.(1)求函数的最小值;(2)已知,命题:关于的不等式对任意恒成立;20.(本小题满分13分)已知集合A为函数lg1lg1fxxx的定义域,集合22120Bxaaxx.(I)若112ABxx,求a的值;(II)求证2a是AB的充分不必要条件.321.(本小题满分14分)(文)已知函数f(x)=x(x+a)-lnx,其中a为常数.(1)当a=-1时,求f(x)的极值;(2)若f(x)是区间内的单调函数,求实数a的取值范围;(3)过坐标原点可以作几条直线与曲线y=f(x)相切?请说明理由.高4三第一次阶段检测文科数学答案一、选择题每题5分共计50分1.(文)A解析:因为,Venn图表示的是,所以,故选A.2.C解析:特称命题的否定是全称命题,所以命题“”的否定是,选C.3.B解析:由已知得,所以在R上单调递增,又,,所以的零点个数是1,故选B.4.C解析:因为,πππ0log1log3logπ1,,所以abc,故选C.5.C解析:设甲连锁店销售x辆,则乙连锁店销售辆,故利润,所以当x=60辆时,有最大利润33000元,故选C。6.A解析:因为,所以,所以,故选A.7.A8.A解析:因为,所以,这是一个奇函数,图象关于原点对称,故排除B、D,因为当时,,所以当从右边趋近于0时,,所以,故选A。9.B解析:因为时,,所以时,,即,所以,故选B。10.A解析:由图知()fx在5π12x时取到最大值2,且最小正周期T满足35ππ+.4123T,故,,所以,所以,即,所以,令得。故选A.二、填空题:每题5分共计25分511.【答案】解析:,2{|log(2)1}{022}{24}Bxxxxxx,所以.12.【答案】0解析:①中p、q可为一真一假;②的否命题是将且改为或;③是充分非必要条件;④显然错误。13.【答案】解析:把图象向左平移个单位,得到14.【答案】4解析:由题意得,当时,,所以在上为减函数,所以,解得(与矛盾,舍去).当时,令可得,当时,,为减函数;当和时,,为增函数,由且...

1、当您付费下载文档后,您只拥有了使用权限,并不意味着购买了版权,文档只能用于自身使用,不得用于其他商业用途(如 [转卖]进行直接盈利或[编辑后售卖]进行间接盈利)。
2、本站所有内容均由合作方或网友上传,本站不对文档的完整性、权威性及其观点立场正确性做任何保证或承诺!文档内容仅供研究参考,付费前请自行鉴别。
3、如文档内容存在违规,或者侵犯商业秘密、侵犯著作权等,请点击“违规举报”。

碎片内容

山东省淄博市淄川一中高三数学上学期第一次阶段检测试题 文-人教版高三全册数学试题

慧源书店+ 关注
实名认证
内容提供者

从事历史教学,热爱教育,高度负责。

确认删除?
VIP
微信客服
  • 扫码咨询
会员Q群
  • 会员专属群点击这里加入QQ群
客服邮箱
回到顶部