电脑桌面
添加小米粒文库到电脑桌面
安装后可以在桌面快捷访问

青岛科技大学化工原理历年真题及内部资料资料VIP免费

青岛科技大学化工原理历年真题及内部资料资料_第1页
1/45
青岛科技大学化工原理历年真题及内部资料资料_第2页
2/45
青岛科技大学化工原理历年真题及内部资料资料_第3页
3/45
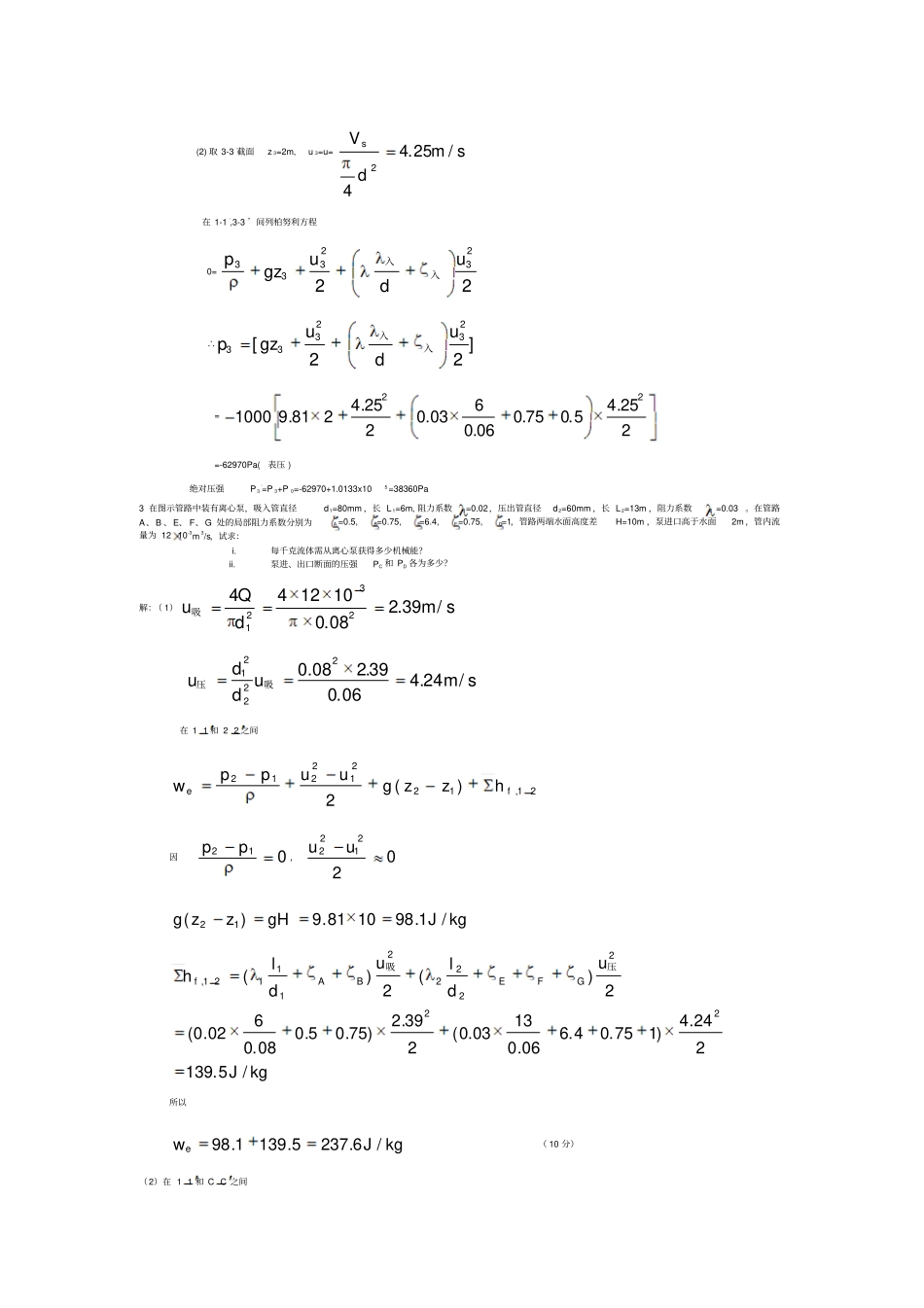
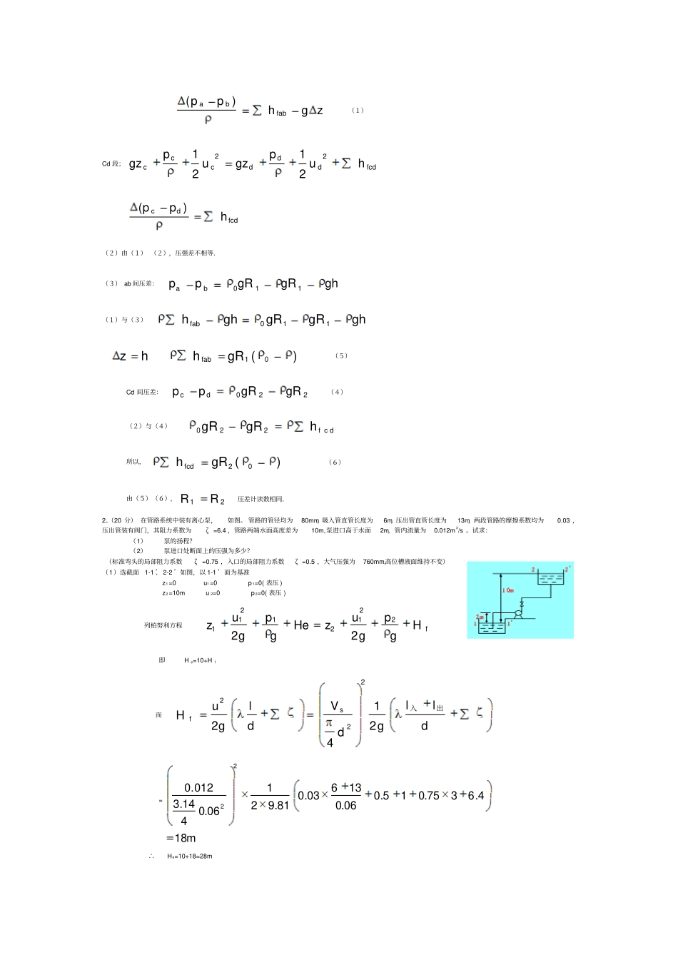
第一章流体流动一基本概念1、连续性方程2、液体和气体混合物密度求取3、离心泵特性曲线的测定二、核心公式第一章、流体流动与流体输送机械(1)流体静力学基本方程(例1-9)U型管压差计(2)柏努利方程的应用(例1-14)(3)范宁公式(4)离心泵的安装高度(例2-5)三.问答题1.(7分)离心泵的特性曲线是如何测定的?其特性曲线主要由哪几条曲线构成?答:离心泵的特性曲线是在一定转速和常压的清水为工质做实验测得的.主要曲线有:H-Q,N-Q,η-Q三条曲线,在曲线中要注明泵型号、转速.2.(8分)试说明层流和湍流的主要区别。答:1.质点的运动运动方式不同,层流只有轴向的运动,没有径向的脉动,而湍流质点是杂乱无章的运动,两个方向的运动都存在.2.流体流动速度分布不同:层流为抛物线形式,而湍流则是严格的抛物线,它的速度分布线前端基本是平直的.3.运动的受力情况不同:层流主要是内摩擦力,服从牛顿粘性定律,而湍流由湍流应力和内摩擦力共同作用,可以仿造牛顿粘性定律写为:dydu)e(3.离心泵启动前,为什么要先灌满水?与离心泵安装高度有关的性能指标有那些?4.选择输送管路的管径时,从技术经济角度应考虑那些因素?如何选择?5.离心泵的实验中,泵启动前与关闭时注意什么问题,为什么?流量调节采用什么方法,其优缺点各是什么?6.搞清楚离心泵的扬程与升扬高度、允许吸上高度和安装高度各组概念的区别和联系。(6分)(1)扬程又称压头,是泵对1N液体所提供的有效能J/N;而升扬高度指泵上、下游两液面的垂直高度,它只是扬程中位能差一项。(2)允许吸上高度Hg是指上游贮槽液面与泵吸入口之间允许达到的最大垂直距离。为保证泵的正常可靠运行,泵的实际安装高度要比Hg再降低(0.5~1.0)m。7.什么是汽蚀余量?答:为了防止离心泵汽蚀现象的发生,在离心泵的入口处液体的静压头与动压头之和(gugp2211)必须大于操作温度下液体的饱和蒸汽压头(gpv)某一最小值,此最小值即为离心泵的允许汽蚀余量,即gpgugpNSPHv2211(NSPH为离心泵的允许汽蚀余量)8.何谓气缚现象?如何防止?答:离心泵只能空转而不能输送液体的现象。离心泵启动前应灌满液体。12.什么是“气缚”现象?什么是“气蚀”现象?13.什么是离心泵的工作点?如何调节离心泵的工作点?四.计算题1、本题附图中所示的高位槽液面维持恒定,管路中ab和cd两段的长度、直径及粗糙度均相同。某液体以一定流量流过管路,液体在流动过程中温度可视为不变。问:(1)液体通过ab和cd两管段的能量损失是否相等?(2)此两管段的压强差是否相等?并写出它们的表达式;(3)两U管压差计的指示液相同,压差计的读数是否相等?(10分)解:(1)由2udLh2f,管路相同,则d,u相同,L相同,)d/,Re(f,相同,fcdabfhh流体过ab和cd两段的能量损失相同.(3分)(2)ab段:fab2bbb2aaahu21pgzu21pgzbauuzgh)pp(fabba(1)Cd段;fcd2ddd2ccchu21pgzu21pgzfcddch)pp((2)由(1)(2),压强差不相等.(3)ab间压差:ghgRgRpp110ba(1)与(3)ghgRgRghh110fabhz)(gRh01fab(5)Cd间压差:220dcgRgRpp(4)(2)与(4)fcd220hgRgR所以,)(gRh02fcd(6)由(5)(6),21RR压差计读数相同.2、(20分)在管路系统中装有离心泵,如图。管路的管径均为80mm,吸入管直管长度为6m,压出管直管长度为13m,两段管路的摩擦系数均为0.03,压出管装有阀门,其阻力系数为ζ=6.4,管路两端水面高度差为10m,泵进口高于水面2m,管内流量为0.012m3/s。试求:(1)泵的扬程?(2)泵进口处断面上的压强为多少?(标准弯头的局部阻力系数ζ=0.75,入口的局部阻力系数ζ=0.5,大气压强为760mm,高位槽液面维持不变)(1)选截面1-1’、2-2’如图,以1-1’面为基准z1=0u1=0p1=0(表压)z2=10mu2=0p2=0(表压)列柏努利方程fHgpguzHegpguz2212121122即He=10+Hf而dllgdVdlguHsf出入2142222=m184.6375.015.006.013603.081.92106.0414.3012.022∴He=10+18=28m(2)取3-3’截面z3=2m,u3=u=smdVs/25.442在1-1’,3-3’间列柏努利方程0=22232333udugzp入入∴]22[232333udugzp入入=225.45.075.006.0603.0225.4281.9100022=-62970Pa(表压)绝对压强P3’=P3+P0=-62...

1、当您付费下载文档后,您只拥有了使用权限,并不意味着购买了版权,文档只能用于自身使用,不得用于其他商业用途(如 [转卖]进行直接盈利或[编辑后售卖]进行间接盈利)。
2、本站所有内容均由合作方或网友上传,本站不对文档的完整性、权威性及其观点立场正确性做任何保证或承诺!文档内容仅供研究参考,付费前请自行鉴别。
3、如文档内容存在违规,或者侵犯商业秘密、侵犯著作权等,请点击“违规举报”。

碎片内容

青岛科技大学化工原理历年真题及内部资料资料

确认删除?
VIP
微信客服
  • 扫码咨询
会员Q群
  • 会员专属群点击这里加入QQ群
客服邮箱
回到顶部