电脑桌面
添加小米粒文库到电脑桌面
安装后可以在桌面快捷访问

函数的概念及其表示方法测试题VIP免费

函数的概念及其表示方法测试题_第1页
1/6
函数的概念及其表示方法测试题_第2页
2/6
函数的概念及其表示方法测试题_第3页
3/6
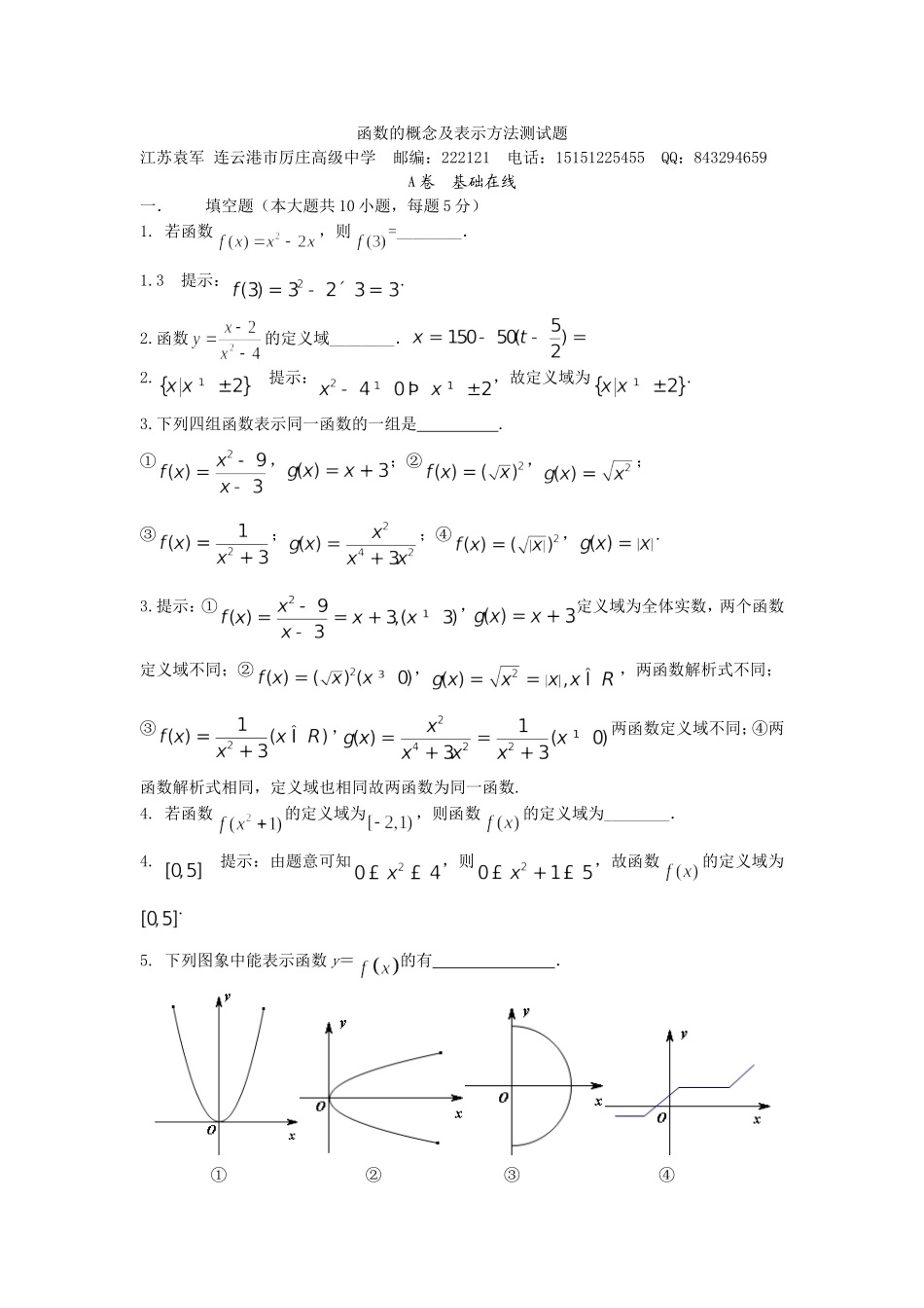
函数的概念及表示方法测试题江苏袁军连云港市厉庄高级中学邮编:222121电话:15151225455QQ:843294659A卷基础在线一.填空题(本大题共10小题,每题5分)1.若函数,则=________.1.3提示:.2.函数的定义域________.2.提示:,故定义域为.3.下列四组函数表示同一函数的一组是.①,;②,;③;;④,.3.提示:①,定义域为全体实数,两个函数定义域不同;②,,两函数解析式不同;③,两函数定义域不同;④两函数解析式相同,定义域也相同故两函数为同一函数.4.若函数的定义域为,则函数的定义域为________.4.提示:由题意可知,则,故函数的定义域为.5.下列图象中能表示函数y=的有.①②③④5.①④.提示:根据函数的定义可判断。6.函数的值域为_______.6.提示:该二次函数开口方向向上,对称轴为,故函数的最小值为,当时,函数有最大值为,故函数的值域为.7.定义运算则对任意,函数的解析式为.7.提示:若,则;若,则.8.若函数,,则.8.17提示:由题意,则.9.若函数满足,且,,则.9.提示:由题意知,则.10.若,则的值为.10.1提示:由题意.二.解答题(本大题共3小题)13.已知、两地相距150千米,某人开汽车以千米/小时的速度从地到达地,在地停留1小时后以千米/小时的速度返回地,求汽车离开地的距离表示为时间(小时)的函数表达式.13.解析:由题意当时,,当时,则,当时,。故.14.已知的定义域为,求函数的定义域.14.解析:由的定义域为,则,则,故的定义域为.15.某大学教师将每周的课时数列表如下:X(星期)12345Y(节次)24531则在这个函数中,求其定义域和值域。15.解析:自变量为X,故其定义域为,变量为Y,故其值域为.B卷能力提高一.填空题(本大题共10小题,每题5分)1.已知函数,其中是的正比例函数,是的反比例函数,且,,则.1.提示:由题意设,,则,则故.2.已知函数,,其中R,,为常数,则方程的解集为.2..解析:由题意知,∴.,,解集为.3.为确保信息安全,信息需加密传输,发送方由明文密文(加密),接收方由密文明文(解密).已知加密规则为:明文,,,对应密文,,,.例如,明文1,2,3,4对应密文5,7,18,16,则当接收方收到密文14,9,23,28时,解密得到的明文为.3.6,4,1,7提示:根据给出的加密规则,也就是对应法则,可得,,,.从而可求出,,,的值.4.已知,若,则的值是.4.提示:当时,方程无解;当时,,方程的解为,当时,,方程无解.∴的值为.5.拟定从甲地到乙地通话分钟的电话费由(元)决定,其中,是大于或等于的最小正整数(如),则从甲地到乙地通话时间为分钟的电话费为.5.4.24提示:.6.已知符号函数则不等式的解集是.6.提示:当,,则;当,,此时不等式的解集为;当,则,则。故不等式的解集为.7.函数对于任意实数满足条件,若,则.7.提示:由题意知,令,则,,而,故,则.8.若二次函数的图象与x轴交于,且函数的最大值为,则这个二次函数的表达式是________.8.提示:由题意可知函数的对称轴为,设函数的解析式为,当时,,代入可求得,故函数的解析式为.9.函数满足,则.9.-1提示:,,解之得.10.若=,当x∈时,=1-,则当x∈[1,3]时,=.10.-+4x-3解析:当x∈时,x+2∈[1,3],由于=,∴==1-=-+4(+2)-3,把式中+2换成,得,当x∈[1,3]时,=-+4-3.二.。解答题(本大题共3小题)13.已知,,若,求的值.13.解:∵,,∴.又∵,∴∴,解得.14.已知定义在上的连续函数,在上为正比例函数,在上为二次函数,并且当时,,,求的解析式.14.解:由题意,当时,可设.∵,∴,解得,∴.当时,设.∵时,,∴,,∴.故15.设为实数,设函数的最大值为.(Ⅰ)设,求的取值范围,并把表示为的函数;(Ⅱ)求15.解:(Ⅰ),要使有意义,必须且,即,∴,,①∴的取值范围是由①得,∴,(Ⅱ)由题意知为函数,的最大值.注意到直线是抛物线的对称轴,分以下几种情况讨论:①当时,函数,的图像是开口向上的抛物线的一段,由知在上单调递增,∴.②当时,,,∴.③当时,函数,的图像是开口向下的抛物线的一段.若,即,则,若,即,则,若,即,则.∴综上有

1、当您付费下载文档后,您只拥有了使用权限,并不意味着购买了版权,文档只能用于自身使用,不得用于其他商业用途(如 [转卖]进行直接盈利或[编辑后售卖]进行间接盈利)。
2、本站所有内容均由合作方或网友上传,本站不对文档的完整性、权威性及其观点立场正确性做任何保证或承诺!文档内容仅供研究参考,付费前请自行鉴别。
3、如文档内容存在违规,或者侵犯商业秘密、侵犯著作权等,请点击“违规举报”。

碎片内容

函数的概念及其表示方法测试题

您可能关注的文档

状元书阁+ 关注
实名认证
内容提供者

爱好英语教学和互联网行业,热爱教育事业,兢兢业业

相关文档

确认删除?
VIP
微信客服
  • 扫码咨询
会员Q群
  • 会员专属群点击这里加入QQ群
客服邮箱
回到顶部