电脑桌面
添加小米粒文库到电脑桌面
安装后可以在桌面快捷访问

专题2.3+平面向量中范围、最值等综合问题-玩转压轴题突破140分之高三数学选填题高端精品VIP免费

专题2.3+平面向量中范围、最值等综合问题-玩转压轴题突破140分之高三数学选填题高端精品_第1页
1/23
专题2.3+平面向量中范围、最值等综合问题-玩转压轴题突破140分之高三数学选填题高端精品_第2页
2/23
专题2.3+平面向量中范围、最值等综合问题-玩转压轴题突破140分之高三数学选填题高端精品_第3页
3/23
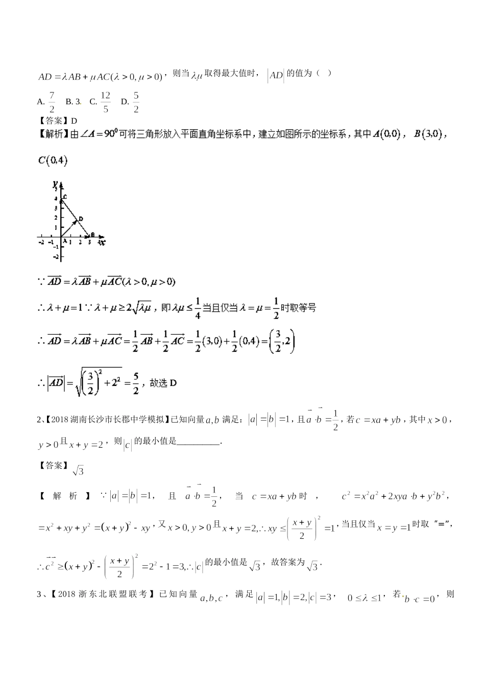
一.方法综述平面向量中的最值与范围问题是一种典型的能力考查题,能有效地考查学生的思维品质和学习潜能,能综合考察学生分析问题和解决问题的能力,体现了高考在知识点交汇处命题的思想,是高考的热点,也是难点,其基本题型是根据已知条件求某个变量的范围、最值,比如向量的模、数量积、向量夹角、系数的范围的等,解决思路是建立目标函数的函数解析式,转化为求函数的最值,同时向量兼顾“数”与“形”的双重身份,所以解决平面向量的范围、最值问题的另外一种思路是数形结合.二.解题策略类型一与向量的模有关的最值问题【例1】【2018河北定州中学模拟】设向量满足,,,则的最大值等于()A.4B.2C.D.1【答案】A【指点迷津】由已知条件得四点共圆是解题关键,从而转化为求外接圆直径处理.【举一反三】1、【2018辽宁沈阳东北育才学模拟】在中,,点是边上的动点,且,,,则当取得最大值时,的值为()A.B.3C.D.【答案】D2、【2018湖南长沙市长郡中学模拟】已知向量满足:,且,若,其中,且,则的最小值是__________.【答案】【解析】,且,当时,,,又且,当且仅当时取“=”,的最小值是,故答案为.3、【2018浙东北联盟联考】已知向量,满足,,若,则的最大值为_________,最小值为__________.【答案】4【解析】设,,即,,由二次函数性质可得,,,最大值为,最小值为,故答案为,.类型二与向量夹角有关的范围问题【例2】已知向量与的夹角为,时取得最小值,当时,夹角的取值范围为________________.【分析】将表示为变量的二次函数,转化为求二次函数的最小值问题,当时,取最小值,由已知条件,得关于夹角的不等式,解不等式得解.【指点迷津】求变量的取值范围、最值,往往要将目标函数用某个变量表示,转化为求函数的最值问题,期间要注意变量之间的关系,进而得解.【举一反三】1、非零向量ba,满足ba2=22ba,2||||ba,则ba与的夹角的最小值是.【答案】【解析】由题意得,,整理得,即,,夹角的最小值为2、已知向量=(-2,-1),=(λ,1),则与的夹角θ为钝角时,λ的取值范围为()A.B.C.且λ≠2D.无法确定【答案】C【解析】 与的夹角θ为钝角,∴=-2λ-1<0,解得λ>,又当λ=2时,满足向量∥,且反向,此时向量的夹角为180°,不是钝角,故λ的取值范围为λ>,且λ≠2.故选C.类型三与向量投影有关的最值问题【例3】设,,,且,则在上的投影的取值范围()A.B.C.D.【答案】D当时,当故当时,取得最小值为,即当时,,即综上所述故答案选【指点迷津】由已知求得及,代入投影公式,对分类后利用二次函数求最值,在分类讨论时需要讨论完整,不要漏掉哪种情况,讨论完可以检查下是否把整个实数全部取完。【举一反三】1、已知的外接圆的圆心为,半径为2,且,则向量在向量方向上的投影为()A.3B.C.-3D.【答案】B本题选择B选项.2、【2018福建省闽侯第六中学模拟】设,且,则在上的投影的取值范围()A.B.C.D.【答案】D法2:不妨设为坐标原点,,,则,也就是.而在上的投影为.令,如果,则,所以也就是,所以;当时,;当时,,所以也就是,所以.综上,的取值范围为.类型四与平面向量数量积有关的最值问题【例4】【2018广州华南师范大学附中模拟】如图,半径为1的扇形AOB中,23AOB,P是弧AB上的一点,且满足OPOB,,MN分别是线段,OAOB上的动点,则PMPN�的最大值为()A.22B.32C.1D.2【答案】C【指点迷津】平面向量数量积的求法有:①定义法;②坐标法;③转化法;其中坐标法是同学们最容易忽视的解题方法,要倍加注视,若有垂直或者容易出现垂直的背景可建立平面直角坐标系,利用坐标法求解.【举一反三】1、【2018福建莆田市第二十四中学模拟】已知正方形的边长为,点是边上的动点,则的最大值为()A.B.C.D.【答案】A2、【2018浙江镇海中学模拟】在平面内,,动点,满足,,则的最大值是A.3B.4C.8D.16【答案】D【解析】由,得.所以是等边三角形,设的边长为,则,得.以BC为x轴,以BC的中垂线为y轴建立坐标系,则,由,得点P满足:.则为PC的中点,设,则,满足:,整理得:,即点M在以为圆心,1为半径的圆上,则的最大值是...

1、当您付费下载文档后,您只拥有了使用权限,并不意味着购买了版权,文档只能用于自身使用,不得用于其他商业用途(如 [转卖]进行直接盈利或[编辑后售卖]进行间接盈利)。
2、本站所有内容均由合作方或网友上传,本站不对文档的完整性、权威性及其观点立场正确性做任何保证或承诺!文档内容仅供研究参考,付费前请自行鉴别。
3、如文档内容存在违规,或者侵犯商业秘密、侵犯著作权等,请点击“违规举报”。

碎片内容

专题2.3+平面向量中范围、最值等综合问题-玩转压轴题突破140分之高三数学选填题高端精品

您可能关注的文档

确认删除?
VIP
微信客服
  • 扫码咨询
会员Q群
  • 会员专属群点击这里加入QQ群
客服邮箱
回到顶部