电脑桌面
添加小米粒文库到电脑桌面
安装后可以在桌面快捷访问

安徽省安庆市高一数学上学期期末教学质量监测试卷VIP免费

安徽省安庆市高一数学上学期期末教学质量监测试卷_第1页
1/14
安徽省安庆市高一数学上学期期末教学质量监测试卷_第2页
2/14
安徽省安庆市高一数学上学期期末教学质量监测试卷_第3页
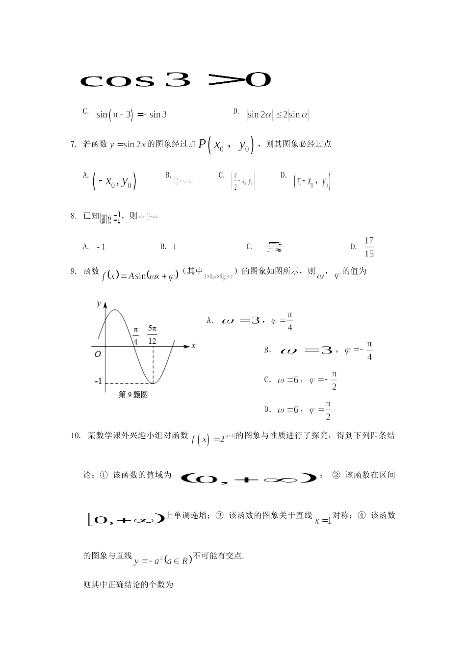
3/14
安庆市2019—2020学年度第一学期期末教学质量调研监测高一数学试题(考试时间:120分钟,满分:150分)第Ⅰ卷(选择题)一、选择题:本大题共12小题,每小题5分,共60分.在每小题给出的四个选项中,只有一项是符合题目要求的。1.已知全集,集合,集合,则A.B.C.D.2.计算:A.1B.C.D.3.已知幂函数在区间上是单调递增函数,则的值为A.B.C.D.4.在△中,已知,则此三角形一定为A.锐角三角形B.直角三角形C.等腰三角形D.钝角三角形5.若实数,满足,则下列不等关系成立的是A.B.C.>D.6.下列关系式一定正确的是A.B.C.D.7.若函数的图象经过点,则其图象必经过点A.B.C.D.8.已知,则A.B.1C.D.9.函数(其中)的图象如图所示,则,的值为A.,B.,C.,D.,10.某数学课外兴趣小组对函数的图象与性质进行了探究,得到下列四条结论:①该函数的值域为;②该函数在区间上单调递增;③该函数的图象关于直线对称;④该函数的图象与直线不可能有交点.则其中正确结论的个数为A.1B.2C.3D.411.函数在区间上的图象为A.B.C.D.12.已知函数是定义在上的函数,.若对任意的,且有,则不等式的解集为A.B.C.D.第Ⅱ卷(非选择题)二、填空题:本大题共4小题,每小题5分,共20分,将答案填写在答题卷中的相应区域,答案写在试题卷上无效。13.函数的定义域为______________.14.计算:.15.已知函数,则________.16.若为不等边△的最小内角,则的值域为____________.三、解答题(本大题共6小题,共70分.解答应写出文字说明、证明过程或演算步骤)17.(本题满分10分)已知集合,集合.(Ⅰ)当时,求;(Ⅱ)若,求实数的取值范围.18.(本题满分12分)已知角的顶点在坐标原点,始边与轴非负半轴重合,终边经过点.(Ⅰ)求的值;(Ⅱ)求的值.19.(本题满分12分)已知函数图象两条相邻对称轴间的距离为.(Ⅰ)求函数在上的单调递增区间;(Ⅱ)将函数的图象向左平移个单位后得到函数的图象,求函数图象的对称中心坐标.20.(本题满分12分)已知函数,其中,且.(Ⅰ)若函数的图象过点,且函数只有一个零点,求函数的解析式;(Ⅱ)在(Ⅰ)的条件下,若,函数在区间上单调递增,求实数的取值范围.21.(本题满分12分)某科研团队对某一生物生长规律进行研究,发现其生长蔓延的速度越来越快.开始在某水域投放一定面积的该生物,经过2个月其覆盖面积为18平方米,经过3个月其覆盖面积达到27平方米.该生物覆盖面积(单位:平方米)与经过时间个月的关系有两个函数模型与可供选择.(Ⅰ)试判断哪个函数模型更合适,并求出该模型的函数解析式;(Ⅱ)问约经过几个月,该水域中此生物的面积是当初投放的1000倍?(参考数据:)22.(本题满分12分)已知函数.(Ⅰ)当时,恒成立,求实数的取值范围;(Ⅱ)是否同时存在实数和正整数,使得函数在上恰有2019个零点?若存在,请求出所有符合条件的和的值;若不存在,请说明理由.安庆市2019—2020学年度第一学期期末教学质量调研监测高一数学参考答案第Ⅰ卷一、选择题(本大题共12小题,每小题5分,共60分.在每小题给出的四个选项中,只有一项是符合题目要求的,请把正确答案的代号填在题后的括号内)1.C解析:由条件知,则,选C.2.B解析:.故选B.3.A解析:由题意知,解得或,又在区间上是单调递增函数得,故选A.4.C解析:由已知得,于是,即,所以,故此三角形是等腰三角形,选C.5.D解析:由得,但不知的符号,于是无法判断的大小,A错误;同理排除B,C.因为在上单调递增,所以可得,故选D.6.D解析:2弧度的角是第二象限角,所以,排除A;3弧度的角是第二象限角,所以,排除B;,排除C;,D成立.故选D.7.C解析:由已知得,则,A错误;,B错误;,C正确;,D错误.故选C.8.A解析:由已知得,故选A.9.A解析:由函数图象知,,,所以,又点在图象上,知,解得,符合,故选A.10.B解析:函数的值域为,①错误;函数在区间上单调递减,在上单调递增,②错误;函数的图象关于直线对称,③正确;因,所以函数的图象与直线不可能有交点,④正确.正确结论的个数为2,故选B.11.B解析:令2019sinlog22xxxfx(3,00,3x),2019sinlog22xxxfxfx,所以...

1、当您付费下载文档后,您只拥有了使用权限,并不意味着购买了版权,文档只能用于自身使用,不得用于其他商业用途(如 [转卖]进行直接盈利或[编辑后售卖]进行间接盈利)。
2、本站所有内容均由合作方或网友上传,本站不对文档的完整性、权威性及其观点立场正确性做任何保证或承诺!文档内容仅供研究参考,付费前请自行鉴别。
3、如文档内容存在违规,或者侵犯商业秘密、侵犯著作权等,请点击“违规举报”。

碎片内容

安徽省安庆市高一数学上学期期末教学质量监测试卷

确认删除?
VIP
微信客服
  • 扫码咨询
会员Q群
  • 会员专属群点击这里加入QQ群
客服邮箱
回到顶部