电脑桌面
添加小米粒文库到电脑桌面
安装后可以在桌面快捷访问

三角函数常用积分表VIP免费

三角函数常用积分表_第1页
1/7
三角函数常用积分表_第2页
2/7
三角函数常用积分表_第3页
3/7
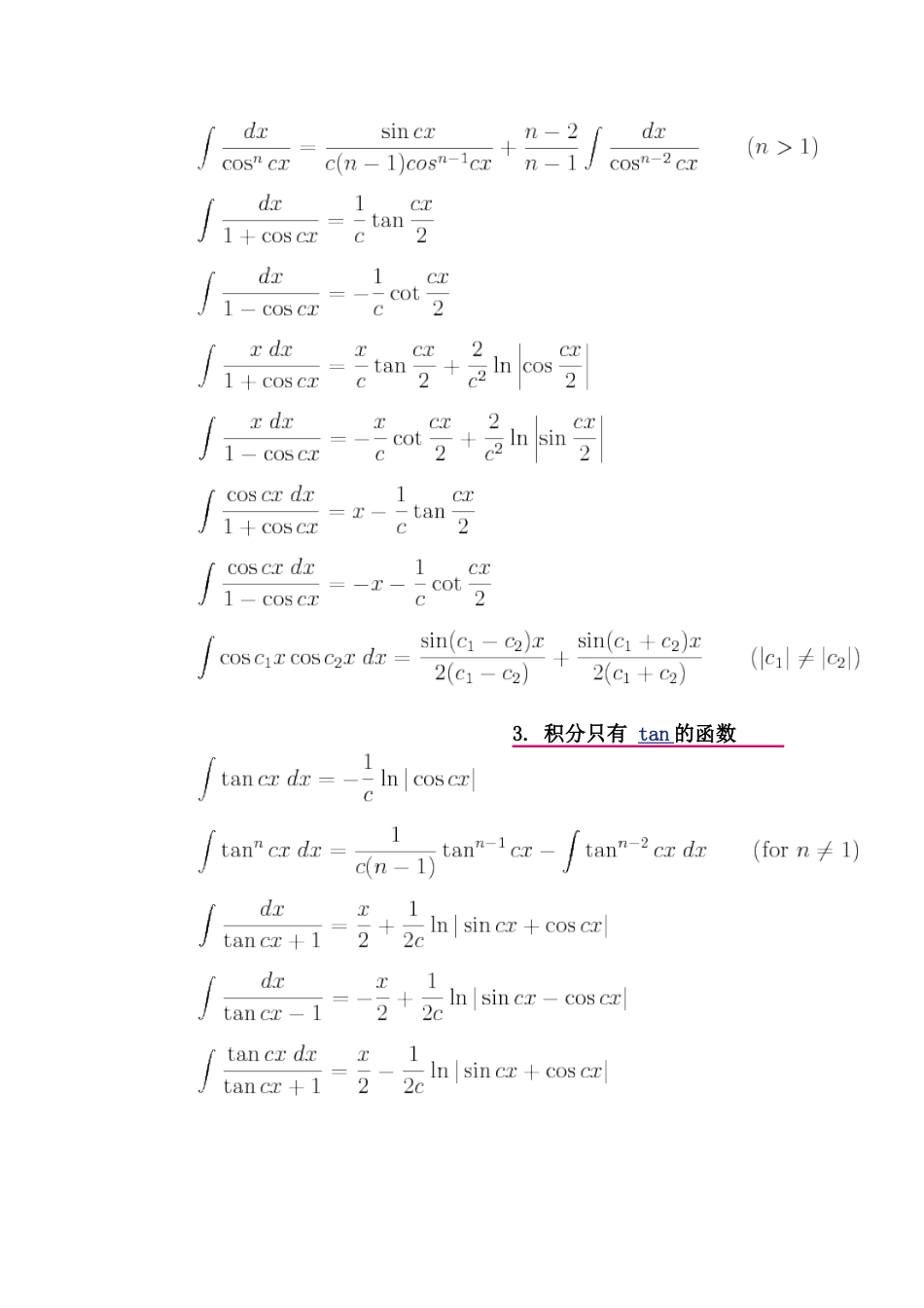
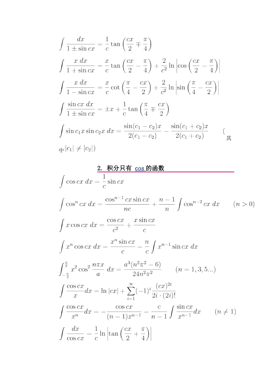
1.积分只有sin的函数其中其中(其中是Coversine函数)其中其中其中其中2.积分只有cos的函数3.积分只有tan的函数4.积分只有sec的函数5.积分只有csc的函数6.积分只有cot的函数7.积分只有sin和cos的函数also:also:also:also:also:8.积分只有sin和tan的函数9.积分只有cos和tan的函数10.积分只有sin和cot的函数11.积分只有cos和cot的函数12.积分只有tan和cot的函数

1、当您付费下载文档后,您只拥有了使用权限,并不意味着购买了版权,文档只能用于自身使用,不得用于其他商业用途(如 [转卖]进行直接盈利或[编辑后售卖]进行间接盈利)。
2、本站所有内容均由合作方或网友上传,本站不对文档的完整性、权威性及其观点立场正确性做任何保证或承诺!文档内容仅供研究参考,付费前请自行鉴别。
3、如文档内容存在违规,或者侵犯商业秘密、侵犯著作权等,请点击“违规举报”。

碎片内容

三角函数常用积分表

您可能关注的文档

黄金书屋+ 关注
实名认证
内容提供者

爱好英语教学和互联网行业,热爱教育事业,兢兢业业

确认删除?
VIP
微信客服
  • 扫码咨询
会员Q群
  • 会员专属群点击这里加入QQ群
客服邮箱
回到顶部