电脑桌面
添加小米粒文库到电脑桌面
安装后可以在桌面快捷访问

一数学系一数学分析期末考试题VIP免费

一数学系一数学分析期末考试题_第1页
1/9
一数学系一数学分析期末考试题_第2页
2/9
一数学系一数学分析期末考试题_第3页
3/9
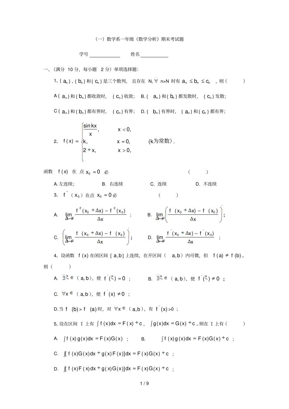
1/9(一)数学系一年级《数学分析》期末考试题学号姓名一、(满分10分,每小题2分)单项选择题:1、{na}、{nb}和{nc}是三个数列,且存在N,n>N时有nanbnc,则()A{na}和{nb}都收敛时,{nc}收敛;B.{na}和{nb}都发散时,{nc}发散;C{na}和{nb}都有界时,{nc}有界;D.{nb}有界时,{na}和{nc}都有界;2、)(xf,0,2.(,0,0,,sinxxkxkxxkx为常数)函数)(xf在点00x必()A.左连续;B.右连续C.连续D.不连续3、''f(0x)在点00x必()A.xxfxxfx)()(lim02020;B.'000)()(limxxfxxfx;C.'000)()(limxxfxxfx;D.xxfxxfx)()(lim0'0'0;4、设函数)(xf在闭区间[ba,]上连续,在开区间(ba,)内可微,但)(af)(bf。则()A.(ba,),使0)('f;B.(ba,),使0)('f;C.x(ba,),使0)('xf;D.当)(bf>)(af时,对x(ba,),有)('xf>0;5、设在区间Ⅰ上有cxFdxxf)()(,cxGdxxg)()(。则在Ⅰ上有()A.)()()()(xGxFdxxgxf;B.cxGxFdxxgxf)()()()(;C.cxGxFdxxFxgdxxGxf)()()]()()()([;D.cxGxFdxxGxgdxxFxf)()()]()()()([;2/9二、(满分15分,每小题3分)填空题:1121323limxxxx=;2)sgn(cos)(xxf。)(xf在区间[,]上的全部间断点为;3)(xf=x2sin,)6()11(f;4函数)(xf在R内可导,且在(1,)内递增,在(,1)内递减,)()(xxefxF,)(xF的单调递减区间为;5dxxfxfxf)(1)()(2';三、(满分36分,每小题6分)计算题:1、xxx220sin11lim;2、把函数2xxeeshx展开成具Peano型余项的Maclaurin公式;3、dxearctgexx11;4、xexf)(2,计算积分dxxxf)(;5、dxxxx2332;6、斜边为定长c的直角三角形绕其直角边旋转,求所得旋转体的最大体积;四、(满分7分)验证题:由有“N”定义验证数列极限3225332lim220nnnh;五、(满分32分,每小题8分)证明题:1设函数)(xf和)(xg都在区间Ⅰ上一致连续,证明函数)()(xgxf在区间Ⅰ上一致连续;2设函数)(xf在点0x可导且0)(0'xf,试证明:y~0)(xxxdf,其中)()(00xfxxfy;3设函数)(xf在点a具有连续的二阶导数,试证明:3/9)()(2)()(lim''20afhafhafhafh;4试证明:0x2.(二)一年级《数学分析》考试题一、(满分10分,每小题2分)判断题:1、无界数列必发散;()2、若对>0,函数f在[ba,]上连续,则f在开区间(ba,)内连续;()3、初等函数在有定义的点是可导的;()4、f,若函数在点0x可导,在点0x不可导,则函数f在点0x必不可导;()5、设函数f在闭区间[ba,]上连续,在开区间(ba,)内可导,但)()(bfxf,则对),(bax,有0)('xf;()二、(满分20分,每小题4分)填空题:1、102862)12()12()2(limnnnn=;2、曲线xxyln的所有切线中,与直线022yx垂直的切线是;3、)1ln(2xxy,dxdy;4、函数)(xf二阶可导,)(xfey,则22dxyd;5、把函数2)(xexf展开成具Peano型余项的Maclaurin公式,)(xf;三、(满分30分,每小题6分)计算题:1、xexxxxx3lim)1(2)1ln(4lim220;2、求,3)(,0)(0'0xfxfxxxfx)2(lim00;3、xxxxxxysincoscossin,求dy;4、xxysin2,求)80(y;4/95、210)lim(limxxxx;四、(满分40分,每小题8分)证明题:1、设函数)(xf在区间Ⅰ上满足Lipschitz条件:L>0,21,xxⅠ,有)()(21xfxf21xxL,证明f在区间Ⅰ上一致连续;2、证明函数1)(xxf在点1x不可导;3、设函数)(xf在R内连续且)(limxfx,试证明)(xf在R有最小值;4、设0

1、当您付费下载文档后,您只拥有了使用权限,并不意味着购买了版权,文档只能用于自身使用,不得用于其他商业用途(如 [转卖]进行直接盈利或[编辑后售卖]进行间接盈利)。
2、本站所有内容均由合作方或网友上传,本站不对文档的完整性、权威性及其观点立场正确性做任何保证或承诺!文档内容仅供研究参考,付费前请自行鉴别。
3、如文档内容存在违规,或者侵犯商业秘密、侵犯著作权等,请点击“违规举报”。

碎片内容

一数学系一数学分析期末考试题

文库响当当+ 关注
实名认证
内容提供者

该用户很懒,什么也没介绍

确认删除?
微信客服
  • 扫码咨询
会员Q群
  • 会员专属群点击这里加入QQ群