电脑桌面
添加小米粒文库到电脑桌面
安装后可以在桌面快捷访问

上海普通高等学校春季招生统一考试+暨上海普通高中学业水平考试数VIP免费

上海普通高等学校春季招生统一考试+暨上海普通高中学业水平考试数_第1页
1/4
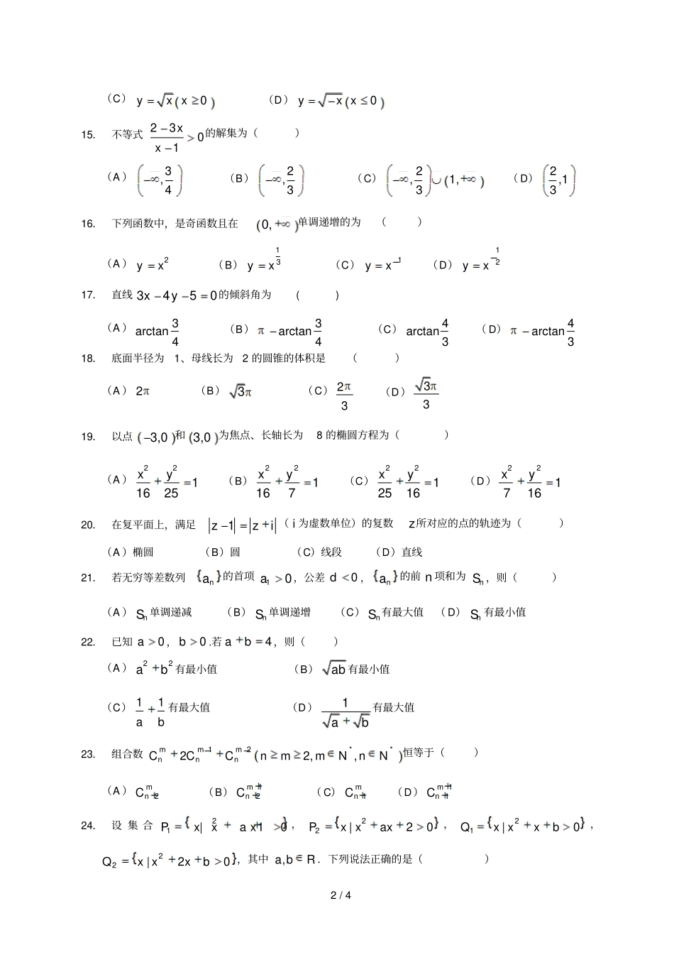
上海普通高等学校春季招生统一考试+暨上海普通高中学业水平考试数_第2页
2/4
上海普通高等学校春季招生统一考试+暨上海普通高中学业水平考试数_第3页
3/4
1/42015年上海市普通高等学校春季招生统一考试(暨上海市普通高中学业水平考试)数学试卷一、填空题(满分36分)1.设全集{1,2,3}U.若{1,2}A,则UAe_______________.2.计算:1_________ii(i为虚数单位).3.函数sin(2)4yx的最小正周期为_____________.4.计算:223lim_______2nnnn.5.以点(2,6)为圆心、1为半径的圆的标准方程为___________________________.6.已知向量(1,3),(,1)abmrr.若abrr,则m________________.7.函数224,0,2yxxx的值域是_________________.8.若线性方程组的增广矩阵为0201ab、解为21xy,则ab_____________.9.方程lg(21)lg1xx的解为_______________.10.在921xx的二项展开式中,常数项的值为_____________________.11.用数字1、2、3、4、5组成无重复数字的三位数,其中奇数的个数为_____________(结果用数值表示).12.已知点(1,0)A,直线:1lx,两个动圆均过A且与l相切,其圆心分别为1C、2C.若动点M满足22122CMCCCAuuuuruuuuruuur,则M的轨迹方程为________________________.二、选择题(满分36分)13.若0ab,则下列不等式恒成立的是()(A)11ab(B)ab(C)22ab(D)33ab14.函数21yxx的反函数为()(A)1yxx(B)1yxx2/4(C)0yxx(D)0yxx15.不等式2301xx的解集为()(A)3,4(B)2,3(C)2,1,3(D)2,1316.下列函数中,是奇函数且在0,单调递增的为()(A)2yx(B)13yx(C)1yx(D)12yx17.直线3450xy的倾斜角为()(A)3arctan4(B)3arctan4(C)4arctan3(D)4arctan318.底面半径为1、母线长为2的圆锥的体积是()(A)2(B)3(C)23(D)3319.以点3,0和3,0为焦点、长轴长为8的椭圆方程为()(A)2211625xy(B)221167xy(C)2212516xy(D)221716xy20.在复平面上,满足1zzi(i为虚数单位)的复数z所对应的点的轨迹为()(A)椭圆(B)圆(C)线段(D)直线21.若无穷等差数列na的首项10a,公差0d,na的前n项和为nS,则()(A)nS单调递减(B)nS单调递增(C)nS有最大值(D)nS有最小值22.已知0a,0b.若4ab,则()(A)22ab有最小值(B)ab有最小值(C)11ab有最大值(D)1ab有最大值23.组合数12**22,,mmmnnnCCCnmmNnN恒等于()(A)2mnC(B)12mnC(C)1mnC(D)11mnC24.设集合21|10Pxxax,22|20Pxxax,21|0Qxxxb,22|20Qxxxb,其中,abR.下列说法正确的是()3/4(A)对任意a,1P是2P的子集;对任意b,1Q不是2Q的子集(B)对任意a,1P是2P的子集;存在b,使得1Q是2Q的子集(C)存在a,使得1P不是2P的子集;对任意b,1Q不是2Q的子集(D)存在a,使得1P不是2P的子集;存在b,使得1Q是2Q的子集三、解答题(满分48分)25.(本题满分8分)如图,在正四棱柱1111ABCDABCD中,1AB,1DB和平面ABCD所成角的大小为32arctan4,求该四棱柱的表面积.26.(本题满分8分)已知a是实数,函数24()xaxfxx是奇函数,求()fx在0,上的最小值及渠道最小是时x的值.27.(本题满分8分)某船在海平面A处测得灯塔B在北偏东30方向,与A相距6.0海里.船由A向正北方向航行8.1海里达到C处,这时灯塔B与船相距多少海里(精确到0.1海里)?B在船的什么方向(精确到1)?28.(本题满分12分)本题共有2个小题,第1小题满分6分,第2小题满分6分)已知点1F、2F依次为双曲线2222:10,0xyCabab的左、右焦点,126FF,10,Bb,20,Bb.(1)若5a,以(3,4)dur为方向向量的直线l经过1B,求2F到l的距离;(2)若在双曲线C上存在点P,使得122PBPBuuuruuur,求b的取值范围.29.(本题满分12分)本题共有2个小题,第1小题满分4分,第2小题满分8分.已知函数2()22,xfxxR.C1B1D1CDABA14/4(1)解不等式:()2fx;(2)数列na满足*()nafnnN,nS为na的前n项和.对4n,12nnSka恒成立,求实数k的取值范围.

1、当您付费下载文档后,您只拥有了使用权限,并不意味着购买了版权,文档只能用于自身使用,不得用于其他商业用途(如 [转卖]进行直接盈利或[编辑后售卖]进行间接盈利)。
2、本站所有内容均由合作方或网友上传,本站不对文档的完整性、权威性及其观点立场正确性做任何保证或承诺!文档内容仅供研究参考,付费前请自行鉴别。
3、如文档内容存在违规,或者侵犯商业秘密、侵犯著作权等,请点击“违规举报”。

碎片内容

上海普通高等学校春季招生统一考试+暨上海普通高中学业水平考试数

文库当当响+ 关注
实名认证
内容提供者

该用户很懒,什么也没介绍

确认删除?
VIP
微信客服
  • 扫码咨询
会员Q群
  • 会员专属群点击这里加入QQ群
客服邮箱
回到顶部