电脑桌面
添加小米粒文库到电脑桌面
安装后可以在桌面快捷访问

高中数学 第二章 参数方程 2.4 一些常见曲线的参数方程练习(含解析)新人教B版选修4-4-新人教B版高二选修4-4数学试题VIP免费

高中数学 第二章 参数方程 2.4 一些常见曲线的参数方程练习(含解析)新人教B版选修4-4-新人教B版高二选修4-4数学试题_第1页
1/4
高中数学 第二章 参数方程 2.4 一些常见曲线的参数方程练习(含解析)新人教B版选修4-4-新人教B版高二选修4-4数学试题_第2页
2/4
高中数学 第二章 参数方程 2.4 一些常见曲线的参数方程练习(含解析)新人教B版选修4-4-新人教B版高二选修4-4数学试题_第3页
3/4
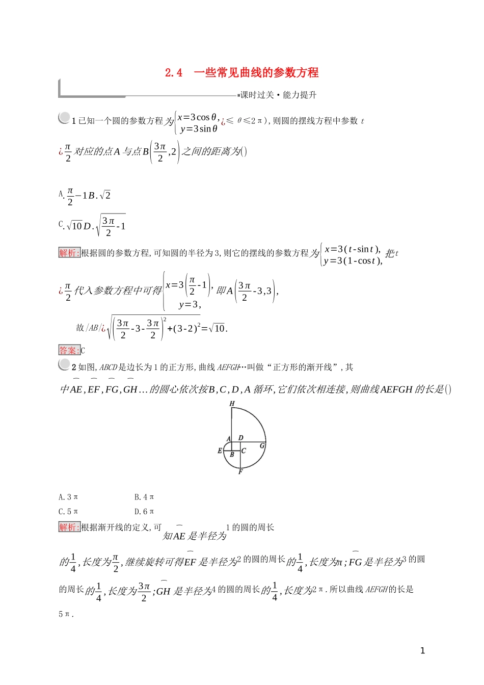
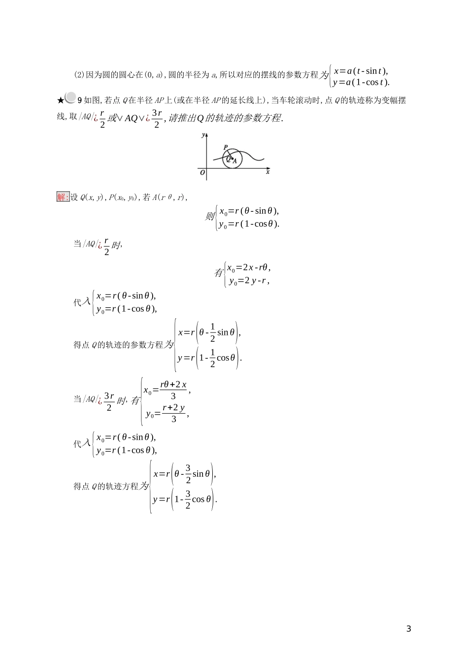
2.4一些常见曲线的参数方程课时过关·能力提升1已知一个圆的参数方程为{x=3cosθ,y=3sinθ¿≤θ≤2π),则圆的摆线方程中参数t¿π2对应的点A与点B(3π2,2)之间的距离为()A.π2−1B.√2C.√10D.√3π2-1解析:根据圆的参数方程,可知圆的半径为3,则它的摆线的参数方程为{x=3(t-sint),y=3(1-cost),把t¿π2代入参数方程中可得{x=3(π2-1),y=3,即A(3π2-3,3),故|AB|¿√(3π2-3-3π2)2+(3-2)2=√10.答案:C2如图,ABCD是边长为1的正方形,曲线AEFGH…叫做“正方形的渐开线”,其中AE⏜,EF⏜,FG⏜,GH⏜…的圆心依次按B,C,D,A循环,它们依次相连接,则曲线AEFGH的长是()A.3πB.4πC.5πD.6π解析:根据渐开线的定义,可知AE⏜是半径为1的圆的周长的14,长度为π2,继续旋转可得EF⏜是半径为2的圆的周长的14,π长度为;FG⏜是半径为3的圆的周长的14,长度为3π2;GH⏜是半径为4的圆的周长的14,长度为2π.所以曲线AEFGH的长是5π.1答案:C3我们知道关于直线y=x对称的两个函数互为反函数,则圆的摆线{x=a(t-sint),y=a(1-cost)关于直线y=x对称的曲线的参数方程为.答案:{x=a(1-cost)y=a(t-sint)4已知一个圆的摆线方程是{x=4t-4sint,y=4-4cost,则该圆的面积为,渐开线方程为.答案:16π{x=4cost+4tsinty=4sint-4tcost5给出直径为6的圆,分别写出对应的渐开线的参数方程和摆线的参数方程.解:以圆的圆心为原点,一条半径所在的直线为x轴,建立平面直角坐标系.因为圆的直径为6,所以半径为3,所以圆的渐开线的参数方程是{x=3cost+3tsint,y=3sint-3tcost.以圆周上的某一定点为原点,以过该定点的切线为x轴,建立平面直角坐标系,则摆线的参数方程为{x=3t-3sint,y=3-3cost.6有一标准的渐开线齿轮,齿轮的齿廓线的基圆直径为22mm,求齿廓线所在的渐开线的参数方程.分析直接利用圆的渐开线参数方程的形式代入即可.解:因为基圆的直径为22mm,所以基圆的半径为11mm,因此齿廓线所在的渐开线的参数方程为{x=11(cost+tsint),y=11(sint-tcost).7已知圆C的参数方程是{x=1+6cosα,y=-2+6sinα¿≤α≤2π),直线l的普通方程是x-y-6√2=0.(1)如果把圆心平移到原点O,请问平移后圆和直线有什么位置关系?(2)写出平移后圆的渐开线方程.解:(1)圆C平移后圆心为O(0,0),它到直线x-y-6√2=0的距离为d¿6√2√2=6,恰好等于圆的半径,所以直线和圆是相切的.(2)由圆的半径是6,可得渐开线方程是{x=6cost+6tsint,y=6sint-6tcost.★8已知一个参数方程是{x=2+acosα,y=2+asinα,如果把a当成参数,它表示的图形是直线l(设斜率存在),如果把α当成参数,它表示半径为a(a>0)的圆.(1)请写出直线和圆的普通方程;(2)如果把圆心平移到(0,a),求出圆对应的摆线的参数方程.解:(1)如果把a看成参数,可得直线的普通方程为:y-2=tanα(x-2),即y=xtanα-2tanα+2,如果把α看成参数,当a>0时,它表示半径为a的圆,其普通方程为(x-2)2+(y-2)2=a2.2(2)因为圆的圆心在(0,a),圆的半径为a,所以对应的摆线的参数方程为{x=a(t-sint),y=a(1-cost).★9如图,若点Q在半径AP上(或在半径AP的延长线上),当车轮滚动时,点Q的轨迹称为变幅摆线,取|AQ|¿r2或∨AQ∨¿3r2,请推出Q的轨迹的参数方程.解:设Q(x,y),P(x0,y0),若A(rθ,r),则{x0=r(θ-sinθ),y0=r(1-cosθ).当|AQ|¿r2时,有{x0=2x-rθ,y0=2y-r,代入{x0=r(θ-sinθ),y0=r(1-cosθ),得点Q的轨迹的参数方程为{x=r(θ-12sinθ),y=r(1-12cosθ).当|AQ|¿3r2时,有{x0=rθ+2x3,y0=r+2y3,代入{x0=r(θ-sinθ),y0=r(1-cosθ),得点Q的轨迹方程为{x=r(θ-32sinθ),y=r(1-32cosθ).34

1、当您付费下载文档后,您只拥有了使用权限,并不意味着购买了版权,文档只能用于自身使用,不得用于其他商业用途(如 [转卖]进行直接盈利或[编辑后售卖]进行间接盈利)。
2、本站所有内容均由合作方或网友上传,本站不对文档的完整性、权威性及其观点立场正确性做任何保证或承诺!文档内容仅供研究参考,付费前请自行鉴别。
3、如文档内容存在违规,或者侵犯商业秘密、侵犯著作权等,请点击“违规举报”。

碎片内容

高中数学 第二章 参数方程 2.4 一些常见曲线的参数方程练习(含解析)新人教B版选修4-4-新人教B版高二选修4-4数学试题

您可能关注的文档

雨丝书吧+ 关注
实名认证
内容提供者

乐于和他人分享知识,从事历史教学,热爱教育,高度负责。

相关文档

确认删除?
VIP
微信客服
  • 扫码咨询
会员Q群
  • 会员专属群点击这里加入QQ群
客服邮箱
回到顶部