电脑桌面
添加小米粒文库到电脑桌面
安装后可以在桌面快捷访问

湖北省荆州市公安县高二数学下学期期中试题 文-人教版高二全册数学试题VIP免费

湖北省荆州市公安县高二数学下学期期中试题 文-人教版高二全册数学试题_第1页
1/11
湖北省荆州市公安县高二数学下学期期中试题 文-人教版高二全册数学试题_第2页
2/11
湖北省荆州市公安县高二数学下学期期中试题 文-人教版高二全册数学试题_第3页
3/11
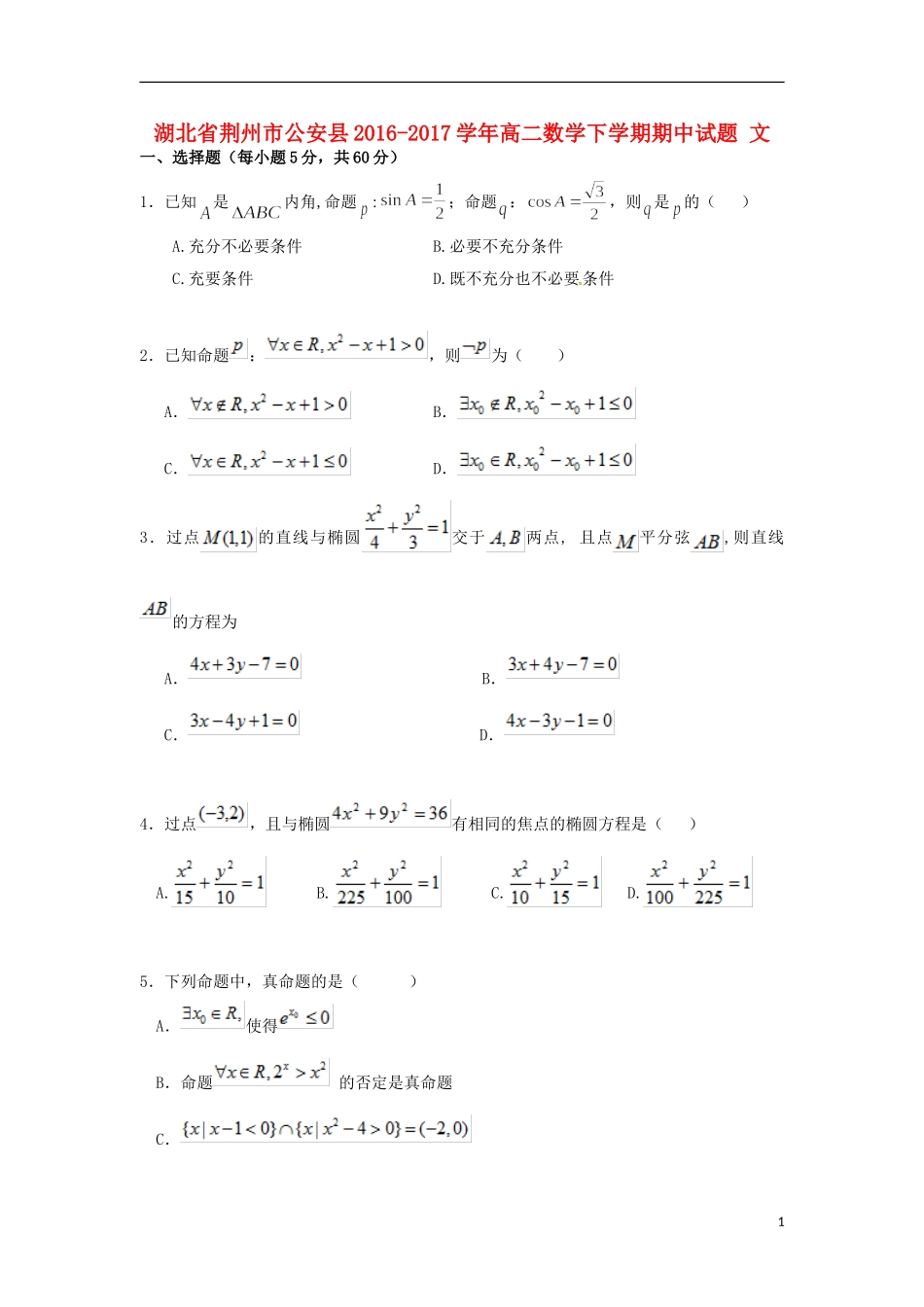
湖北省荆州市公安县2016-2017学年高二数学下学期期中试题文一、选择题(每小题5分,共60分)1.已知是内角,命题:;命题:,则是的()A.充分不必要条件B.必要不充分条件C.充要条件D.既不充分也不必要条件2.已知命题:,则为()A.B.C.D.3.过点的直线与椭圆交于两点,且点平分弦,则直线的方程为A.B.C.D.4.过点,且与椭圆有相同的焦点的椭圆方程是()A.B.C.D.5.下列命题中,真命题的是()A.使得B.命题的否定是真命题C.1D.的充分不必要条件是6.已知点,的焦点是,是上的动点,为使取得最小值,则点坐标为()A.B.C.D.7.下列命题中是假命题的是()A.方程表示一个点B.若,则方程表示焦点在轴上的椭圆C.已知点、,若,则动点的轨迹是双曲线的一支D.以过抛物线焦点的弦为直径的圆与抛物线准线的位置关系是相切8.以双曲线的一个焦点为圆心,离心率为半径的圆的方程可以是()A.B.C.D.9.已知双曲线的一条渐近线截圆所得弦长为,则该双曲线的离心率为()A.B.C.D.10.曲线在处的切线方程是()2A、B、C、D、11.曲线在点处的切线方程为A.B.C.D.12.如右图所示,圆和直角的两边相切,直线从处开始,绕点匀速旋转(到处为止)时,所扫过的圆内阴影部分的面积是的函数,它的图象大致为二、填空题(每小题5分,共计20分)13.函数的导数是14.已知P为抛物线x2=4y上的动点,点P在x轴上的射影为M,点A的坐标是(2,0),则|PA|+|PM|的最小值为.15.若方程所表示的曲线为C,给出下列四个命题:①若C为椭圆,则;②若C为双曲线,则或;③曲线C不可能是圆;3④若,曲线C为椭圆,且焦点坐标为;⑤若,曲线C为双曲线,且虚半轴长为.其中真命题的序号为____________.(把所有正确命题的序号都填在横线上)16.人造地球卫星的运行轨道是以地心为一个焦点的椭圆.设地球半径为,卫星近地点、远地点离地面的距离分别为,则卫星轨道的离心率.(请用表示)三、解答题(第17题10分,其余每题12分,合计70分)17.在F1赛车中,赛车位移与比赛时间t存在函数关系s=10t+5t2(s的单位为m,t的单位为s).求:(1)t=20s,Δt=0.1s时的;(2)t=20s时的瞬时速度.18.已知命题,;命题关于的方程有两个相异实数根.(1)若为真命题,求实数的取值范围;(2)若为真命题,为假命题,求实数的取值范围.419.已知函数;(Ⅰ)若,求过点的切线方程;(Ⅱ)若,求的值.20.已知抛物线C的标准方程是(Ⅰ)求它的焦点坐标和准线方程;(Ⅱ)直线过已知抛物线C的焦点且倾斜角为45°,且与抛物线的交点为A、B,求线段AB的长度.21.已知椭圆的两个焦点分别为,,短轴的两个端点分别为,.(1)若为等边三角形,求椭圆的方程;(2)若椭圆的短轴长为2,过点的直线与椭圆相交于、两点,且,求直线的方程.522.已知抛物线的顶点在原点,焦点在坐标轴上,点为抛物线上一点.(1)求的方程;(2)若点在抛物线上,过作抛物线的两弦与,若,求证:直线过定点.参考答案文科期中ADBAB,ACDBC,DD17.(1)21.05m,210.5m/s(2)210m/s【解析】(1)Δs=s(20+Δt)-s(20)=10(20+0.1)+5(20+0.1)2-10×20-5×202=21.05m.==210.5m/s.(2)由导数的定义,知在t=20s的瞬时速度为v(t)====5Δt+10t+10.当Δt→0,t=20s时,v=10×20+10=210m/s.答:t=20s,Δt=0.1s时的Δs为21.05m,为210.5m/s,即在t=20s时瞬时速度为210m/s.18.(1)(2)试题解析:令,则在[0,2]上是增函数,6故当时,最小值为,故若为真,则.……2分即时,方程有两相异实数根,∴;……4分(1)若为真,则实数满足故,即实数的取值范围为……8分(2)若为真命题,为假命题,则一真一假,若真假,则实数满足即;若假真,则实数满足即.综上所述,实数的取值范围为.……1219.(1);(2)0.【解析】本试题主要是考查了三角函数中导数几何意义的运用,以及导数的运算。解:(Ⅰ)因为7………………………………6分(Ⅱ).………………………………12分20.(Ⅰ)焦点为F(,0),准线方程:(Ⅱ)12试题解析:(1)抛物线的标准方程是,焦点在x轴上,开口向右,,∴焦点为F(,0),准线方程:,……………………4分(2) 直线过...

1、当您付费下载文档后,您只拥有了使用权限,并不意味着购买了版权,文档只能用于自身使用,不得用于其他商业用途(如 [转卖]进行直接盈利或[编辑后售卖]进行间接盈利)。
2、本站所有内容均由合作方或网友上传,本站不对文档的完整性、权威性及其观点立场正确性做任何保证或承诺!文档内容仅供研究参考,付费前请自行鉴别。
3、如文档内容存在违规,或者侵犯商业秘密、侵犯著作权等,请点击“违规举报”。

碎片内容

湖北省荆州市公安县高二数学下学期期中试题 文-人教版高二全册数学试题

您可能关注的文档

慧源书店+ 关注
实名认证
内容提供者

从事历史教学,热爱教育,高度负责。

相关文档

确认删除?
VIP
微信客服
  • 扫码咨询
会员Q群
  • 会员专属群点击这里加入QQ群
客服邮箱
回到顶部