电脑桌面
添加小米粒文库到电脑桌面
安装后可以在桌面快捷访问

八年级数学全章复习华东师大版知识精讲VIP免费

八年级数学全章复习华东师大版知识精讲_第1页
1/11
八年级数学全章复习华东师大版知识精讲_第2页
2/11
八年级数学全章复习华东师大版知识精讲_第3页
3/11
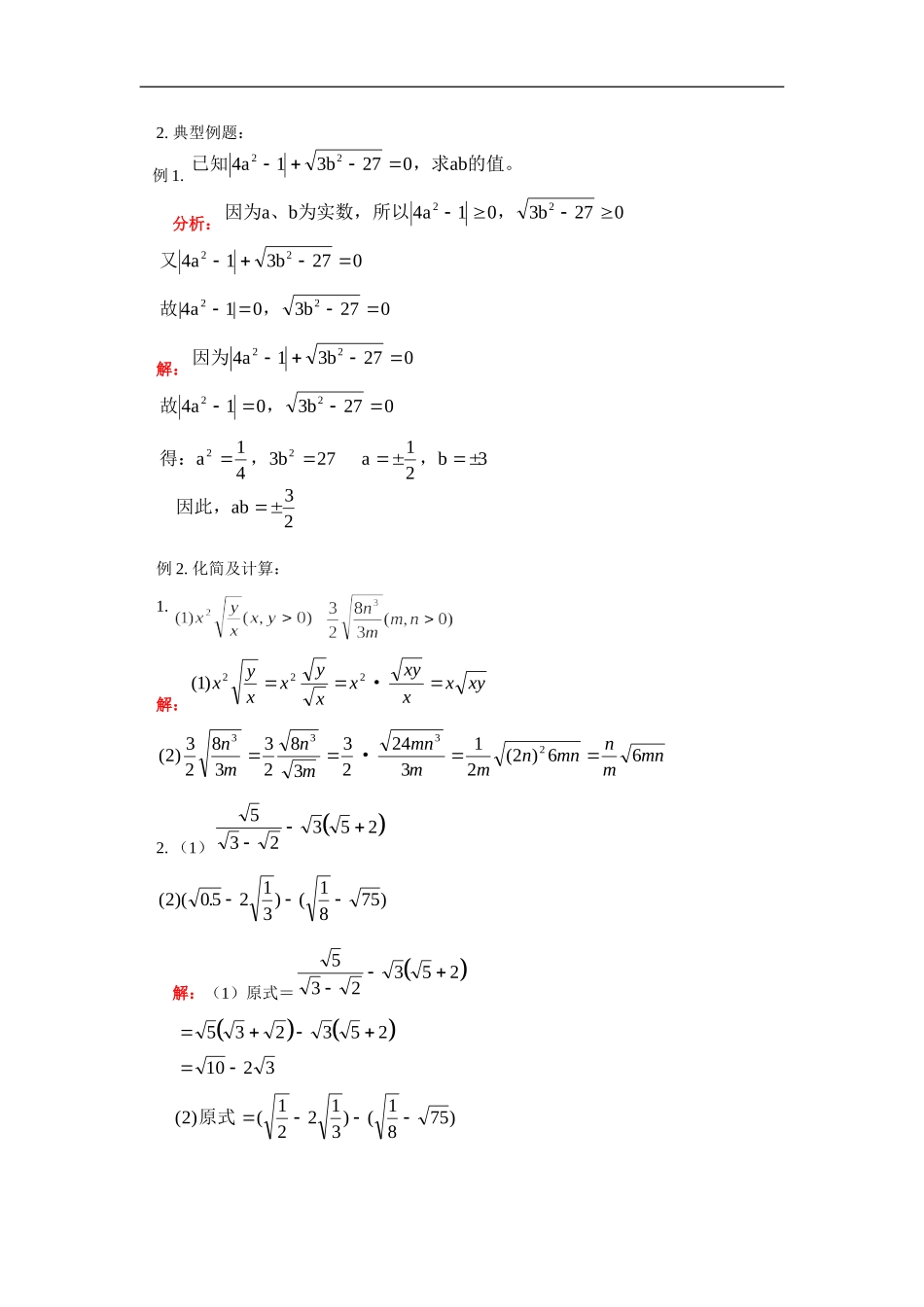
初二数学全章复习华东师大版【同步教育信息】一.本周教学内容:全章复习[教学目标]1.了解数的平方根、算术平方根、立方根的定义,能够利用其概念进行计算。2.了解最简二次根式、同类二次根式的概念。3.掌握二次根式的性质并能用其对二次根式进行变形。4.掌握二次根式乘除和加减的运算方法。[重点、难点]1.学习重点:(1)二次根式的化简。(2)如何将分母中的根号去掉。2.学习难点:(1)二次根式的变形。(2)如何找到有理化因式。[教学过程](一)平方根与立方根1.知识要点:(1)平方根与算术平方根的联系与区别:①正数a的平方根有两个,它们互为相反数,记为。而它的算术平方根只有一个,记为。②0的平方根与算术平方根均为0。③负数没有平方根与算术平方根。(2)算术平方根具有双重非负性:①被开方数是非负数,aa0;②算术平方根是非负数,aa0(3)平方根与立方根的区别:①正数有两个平方根,并且只有一个立方根。②负数没有平方根,但有立方根。③中a的取值是非负数,中a的取值是一切实数。2.典型例题:例1.如果某个数的平方根是a+3及2a-15,那么这个数等于()A.49B.441C.7或21D.49或441解: 某数的平方根是a+3及2a-15,∴a+3与2a-15互为相反数,即(a+3)+(2a-15)=0∴a=4,a+3=7,2a-15=-7 (±7)2=49∴这个数是49,故选A.例2.求下式中的x4(3x+1)2=1解: (±)2=∴3x+1=±当3x+1=时,x=-当3x+1=-时,x=-∴x=-或-(二)二次根式1.知识要点:()与的区别:122aa①中必须,而中是任意数。aaaa220②所得结果不同,,而。aaaa22(2)ababab·,()00可以正、逆向使用,正向表示先求算术平方根再求积,逆向表示先求积再求算术平方根。(3)abab()ab00,可以正向逆向使用,正向表示先求算术平方根再求商,逆向表示先求商,再求算术平方根。(4)最简二次根式:①被开方数的因数是整数或整式;②被开方数中不会有开得尽方的因数或因式,这样的二次根式叫最简二次根式。(5)分母有理化:将分母中的根号去掉方法:()()()aaxyxyxy2和(6)在混合运算中,按四则运算的顺序进行。(7)关于最简二次根式:①被开方数的因数是整数或整式。②被开方数中不含有开得尽方的因数或因式。这样的二次根式叫最简二次根式。(8)关于同类二次根式:几个二次根式化成最简二次根式以后,如果被开方数相同,这个二次根式叫同类二次根式。(9)二次根式的加减法实质就是合并同类二次根式。2.典型例题:例1.已知,求的值。41327022abab分析:因为、为实数,所以,abab410327022又41327022ab故,||410327022ab解:因为41327022ab故,410327022ab得:,ab2214327ab123,因此,ab32例2.化简及计算:1.解:()1222xyxxyxxxyxxxy·()()23283328332243122663332nmnmmnmmnmnnmmn·2.(1)532352()(.)()2052131875解:(1)原式=5323525323521023()()()2122131875原式2223314253()()22142233531424133例3.已知,求的值。xxxx311222分析:此题直接将x的值代入计算较为麻烦,应先将二次根式化简,再代入进行计算。解:xxxxxxx222221211又,故xxx31110xxxx1131311313313333332··例4.化简:aabaabbaab244222()解:aabaabba24422aababaaababaaababaaababa2222122222····又,故ababab222故原式a例5.化简:Sxxxxxx222214469解:Sxxxxxx222214469xxxxxx123123222由于时,,时,,时,xxxxxx101202303故应分四种情况讨论:当时,xSxxxx31234当时,311232xSxxxx当时,121233xSxxxx...

1、当您付费下载文档后,您只拥有了使用权限,并不意味着购买了版权,文档只能用于自身使用,不得用于其他商业用途(如 [转卖]进行直接盈利或[编辑后售卖]进行间接盈利)。
2、本站所有内容均由合作方或网友上传,本站不对文档的完整性、权威性及其观点立场正确性做任何保证或承诺!文档内容仅供研究参考,付费前请自行鉴别。
3、如文档内容存在违规,或者侵犯商业秘密、侵犯著作权等,请点击“违规举报”。

碎片内容

八年级数学全章复习华东师大版知识精讲

文章天下+ 关注
实名认证
内容提供者

各种文档应有尽有

相关文档

确认删除?
VIP
微信客服
  • 扫码咨询
会员Q群
  • 会员专属群点击这里加入QQ群
客服邮箱
回到顶部